Métodos Estadísticos en la Ingeniería

chevron_left
chevron_right
Todo
Apuntes
Ejercicios
Exámenes
chevron_left
chevron_right

Examen de Junio 2025

2 páginas

Primer Parcial

1 página

Examen de Mayo 2025

2 páginas

Tipo examen exacto de la segunda parte de la asignatura

1 página

Ejercicios iguales a los del examen

7 páginas

apuntes

-

Apuntes módulo 1 estadística

TEMA 1,2,3

parte-1.jpeg
parte-2.jpeg
parte-3.jpeg
parte-4.jpeg
parte-5.jpeg
parte-6.jpeg

Toda la teoría completa y corregida por el profesor y algunos ejercicios hechos, con alguna explicación.

6 páginas

He publicado nuevos examenes de 1º Métodos Estadísticos en la Ingeniería: EXAMEN-MAYO-2024.pdf

1 página

He publicado nuevos examenes de 1º Métodos Estadísticos en la Ingeniería: EXAMENES-JUNIO-Y-JULIO-2023.pdf

4 páginas

He publicado nuevos apuntes de 1º Métodos Estadísticos en la Ingeniería: Tablasestadisticas.pdf

8 páginas

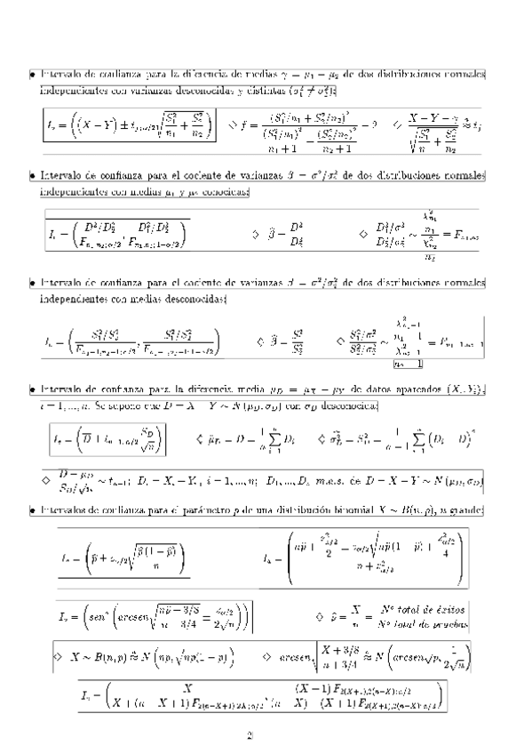
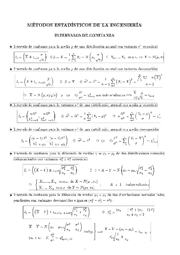
He publicado nuevos apuntes de 1º Métodos Estadísticos en la Ingeniería: IntervalosyContrastes.pdf

6 páginas

He publicado nuevos apuntes de 1º Métodos Estadísticos en la Ingeniería: FormularioPrincipalesdistribucionesdiscretasycontinuas.pdf

1 página

He publicado nuevos examenes de 1º Métodos Estadísticos en la Ingeniería: Julio-2016-EXAMEN-CONVOCATORIA.pdf

3 páginas

He publicado nuevos examenes de 1º Métodos Estadísticos en la Ingeniería: Junio-2016.pdf

2 páginas

He publicado nuevos examenes de 1º Métodos Estadísticos en la Ingeniería: Junio-2015-1.pdf

4 páginas
¡Estás al día!

¡Estás al día!

Has visto todos los archivos