Metodos Estadisticos para la Computacion

chevron_left
chevron_right
Todo
Apuntes
Ejercicios
Exámenes
Otros
Prácticas
publication
Test
Trabajos
chevron_left
chevron_right

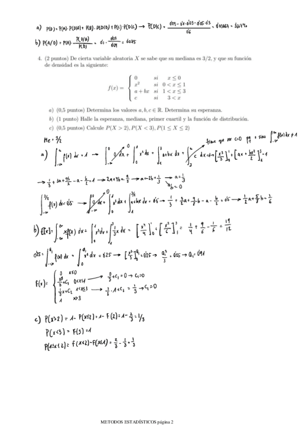
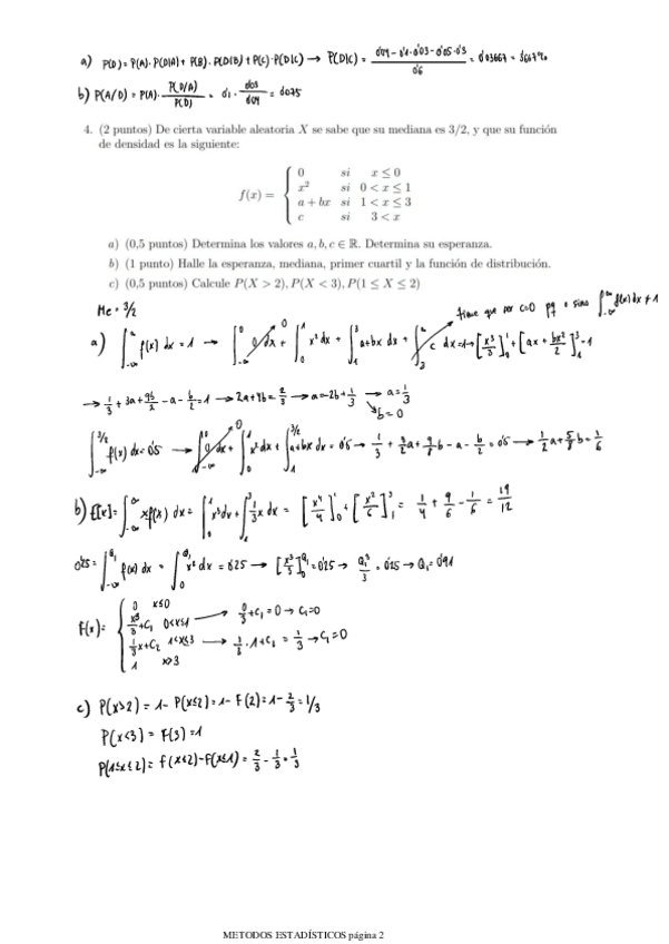
Aqui esta el examen final de enero de 2026, CORREGIDO

8 páginas

trabajos

-

Proyecto de R con enunciado y solucion

Proyecto de R con un 9 de nota, no pregunten como solo disfruten.

Proyecto-R-Resultado.pdf
Enunciado-proyectoMEC26.pdf

Ejercicios que dijo Santiago que caían en el examen. Las tablas no las tengo de todos los ejercicios pero da igual porque luego en el examen te las cambian. PD: si te toca Santiago, trabaja menos que un koala.

17 páginas

He publicado nuevos apuntes de 1º Metodos Estadisticos para la Computacion: Enero-2026.pdf

2 páginas

He publicado nuevos examenes de 1º Metodos Estadisticos para la Computacion: Ejercicios-examenes-estadistica-tema-6.pdf

10 páginas

He publicado nuevos examenes de 1º Metodos Estadisticos para la Computacion: Recopilacion-ejercicios-de-probabilidad-de-examenes-23-25.pdf

11 páginas

He publicado nuevos examenes de 1º Metodos Estadisticos para la Computacion: Recopilacion-ejercicios-examenes-2021-2022-probabilidad.pdf

9 páginas

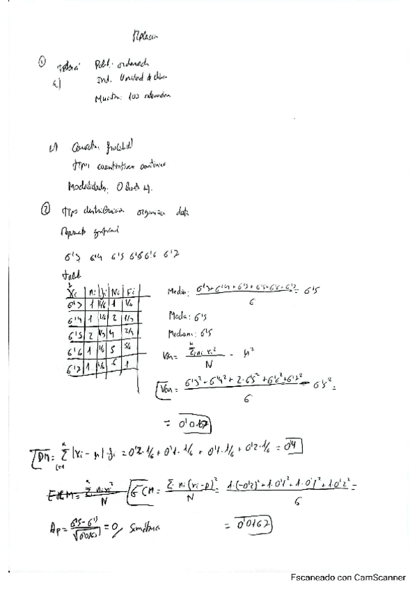
Fallo en el ejercicio 5 de Junio de 2023 calculando la varianza de x, en la parte donde se calcula la esperanza de x, hago la integral de la función, en lugar de la integral de x por la función, de dicho modo, la esperanza de x será 3.3402, no 1 como me sale, por tanto, la varianza de x será 2.4684

He publicado nuevos apuntes de 1º Metodos Estadisticos para la Computacion: Resumen-de-Tema-4.pdf

9 páginas

He publicado nuevos examenes de 1º Metodos Estadisticos para la Computacion: Examen-final-Enero-2025.pdf

5 páginas

He publicado nuevos examenes de 1º Metodos Estadisticos para la Computacion: Examen-final-junio-2024.pdf

6 páginas

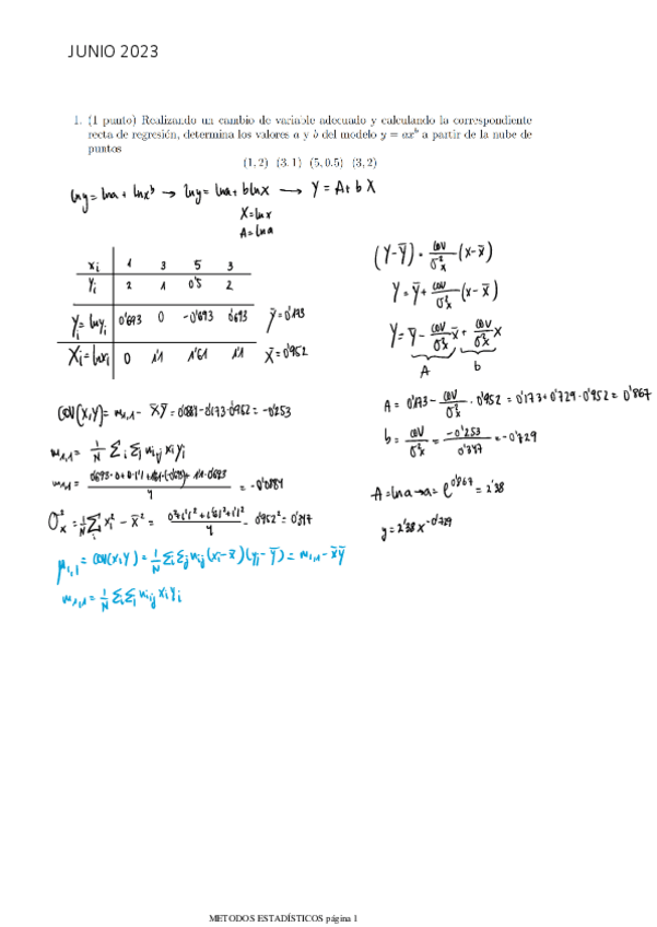
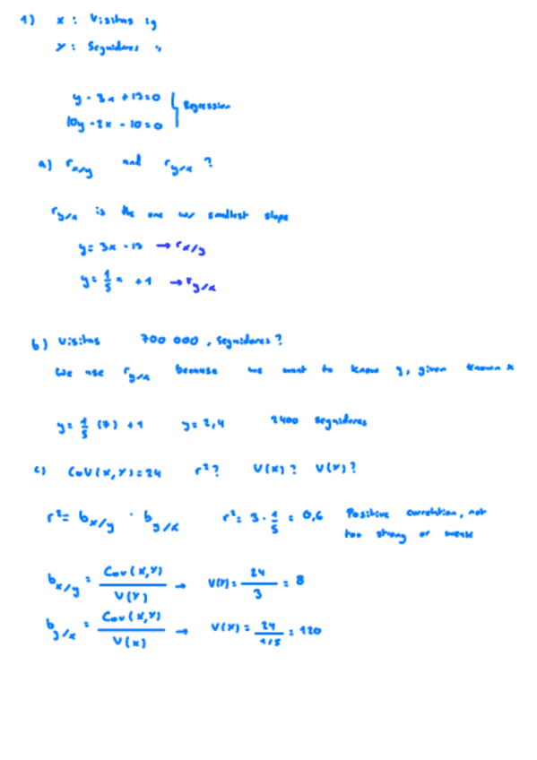
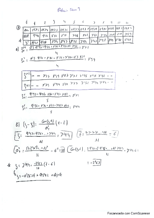
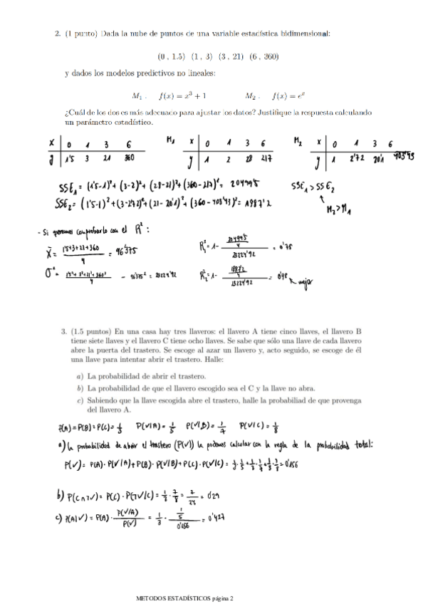
He publicado nuevos examenes de 1º Metodos Estadisticos para la Computacion: Examen-Final-Junio-2023.pdf

6 páginas

He publicado nuevos examenes de 1º Metodos Estadisticos para la Computacion: Examen-final-mayo-2023.pdf

6 páginas

He publicado nuevos examenes de 1º Metodos Estadisticos para la Computacion: Examen-final-septiembre-2022.pdf

5 páginas

He publicado nuevos examenes de 1º Metodos Estadisticos para la Computacion: Examen-Final-Septiembre-2021.pdf

5 páginas

He publicado nuevos examenes de 1º Metodos Estadisticos para la Computacion: Examen-final-junio-2021.pdf

4 páginas

He publicado nuevos examenes de 1º Metodos Estadisticos para la Computacion: Problemas-Examenes-Bloque-1-Estadistica.pdf

14 páginas

He publicado nuevos examenes de 1º Metodos Estadisticos para la Computacion: Recopilacion-Examenes-Finales-de-Estadistica.pdf

16 páginas

Sí andas perdido y no sabes por donde empezar te recomiendo que le eches un ojo a estos apuntes :)

5 páginas

He publicado nuevos apuntes de 1º Metodos Estadisticos para la Computacion: Relacion-6.-Metodos-estadisticos.pdf

15 páginas

He publicado nuevos apuntes de 1º Metodos Estadisticos para la Computacion: Relacion-5.-Metodos-estadisticos.pdf

16 páginas

He publicado nuevos apuntes de 1º Metodos Estadisticos para la Computacion: Relacion-4.-Metodos-estadisticos.pdf

7 páginas

He publicado nuevos apuntes de 1º Metodos Estadisticos para la Computacion: Relacion-3.-Metodos-estadisticos.pdf

10 páginas

He publicado nuevos apuntes de 1º Metodos Estadisticos para la Computacion: Relacion-2.-Metodos-estadisticos.pdf

23 páginas

He publicado nuevos apuntes de 1º Metodos Estadisticos para la Computacion: Relacion-1.-Metodos-estadisticos.pdf

18 páginas
Anónimo

@Anónimo

He publicado nuevos apuntes de 1º Metodos Estadisticos para la Computacion: FORMULARIO-MEC.pdf

2 páginas
Anónimo

@Anónimo

He publicado nuevos examenes de 1º Metodos Estadisticos para la Computacion: Ejercicio-tipo-examen.pdf

4 páginas

apuntes

-

Tarea 6, 4 y 5

He publicado nuevos apuntes de 1º Metodos Estadisticos para la Computacion: Tarea 6, 4 y 5

tarea4.1corregida.pdf
tarea5.1corregida.pdf
tarea5.3corregida.pdf
tarea5.4corregida.pdf
tarea6.1corregida.pdf
tarea6.2corregida.pdf

examenes

-

Tarea 2

He publicado nuevos examenes de 1º Metodos Estadisticos para la Computacion: Tarea 2

TAREA-2.1-RV.pdf
TAREA-2.2.pdf
TAREA-2.3.pdf
CamScanner-03-20-2023-19.06.pdf
CamScanner-03-21-2023-18.49.pdf
CamScanner-03-21-2023-19.32.pdf

He publicado nuevos examenes de 1º Metodos Estadisticos para la Computacion: examenT2-22-23.pdf

8 páginas
Anónimo

@Anónimo

(he sacado un 10 en la asignatura con estos apuntes)

56 páginas

He publicado nuevos examenes de 1º Metodos Estadisticos para la Computacion: Resolucion-Detallada-Tipo-Test-2-Bloque.pdf

8 páginas

Sí no sabes nada de R o quieres repasar este es tú pdf!!!!

2 páginas

si quieres aprobar ya sabess!!!!

3 páginas

ejercicios

-

RELACION TEMA 4 RESUELTA

He publicado nuevos ejercicios de 1º Metodos Estadisticos para la Computacion: RELACION TEMA 4 RESUELTA

Relacion-4-resuelta.pdf

He publicado nuevos apuntes de 1º Metodos Estadisticos para la Computacion: Tema-6.-Metodos-estadisticos.pdf

11 páginas

He publicado nuevos apuntes de 1º Metodos Estadisticos para la Computacion: Tema-5.-Metodos-estadisticos.pdf

25 páginas

He publicado nuevos apuntes de 1º Metodos Estadisticos para la Computacion: Tema-4.-Metodos-estadisticos.pdf

11 páginas

Relacion 4 Tema 4

4 páginas

He publicado nuevos apuntes de 1º Metodos Estadisticos para la Computacion: Resumen-y-formulas-tema-4.pdf

2 páginas

He publicado nuevos apuntes de 1º Metodos Estadisticos para la Computacion: Tema-3.-Metodos-estadisticos.pdf

9 páginas

He publicado nuevos apuntes de 1º Metodos Estadisticos para la Computacion: Tema-2.-Metodos-Estadisticos.pdf

27 páginas

examenes

-

Exámenes estadística resueltos

He publicado nuevos examenes de 1º Metodos Estadisticos para la Computacion: Exámenes estadística resueltos

Examen-Junio-2022.pdf
Examen-Junio-2023.pdf
Examen-Junio-2024.pdf
Examen-mayo-2023.pdf
Examen-Septiembre-2022.pdf

He publicado nuevos apuntes de 1º Metodos Estadisticos para la Computacion: RESUMEN-FORMULARIO-TODOSLOSTEMAS-QueDebesSaber.pdf

Miniatura no disponible
3 páginas

He publicado nuevos apuntes de 1º Metodos Estadisticos para la Computacion: Tema-1.-Metodos-estadisticos-para-la-computacion.pdf

17 páginas
Anónimo

@Anónimo

He publicado nuevos trabajos de 1º Metodos Estadisticos para la Computacion: Trabajo-R-Completo-y-explicado.pdf

44 páginas

examenes

-

Examenes finales y formulario

He publicado nuevos examenes de 1º Metodos Estadisticos para la Computacion: Examenes finales y formulario

2024-Junio.pdf
2023-Mayo.pdf
2023-Junio.pdf
2022-Junio.pdf
2022-Septiembre.pdf
Formulario.pdf

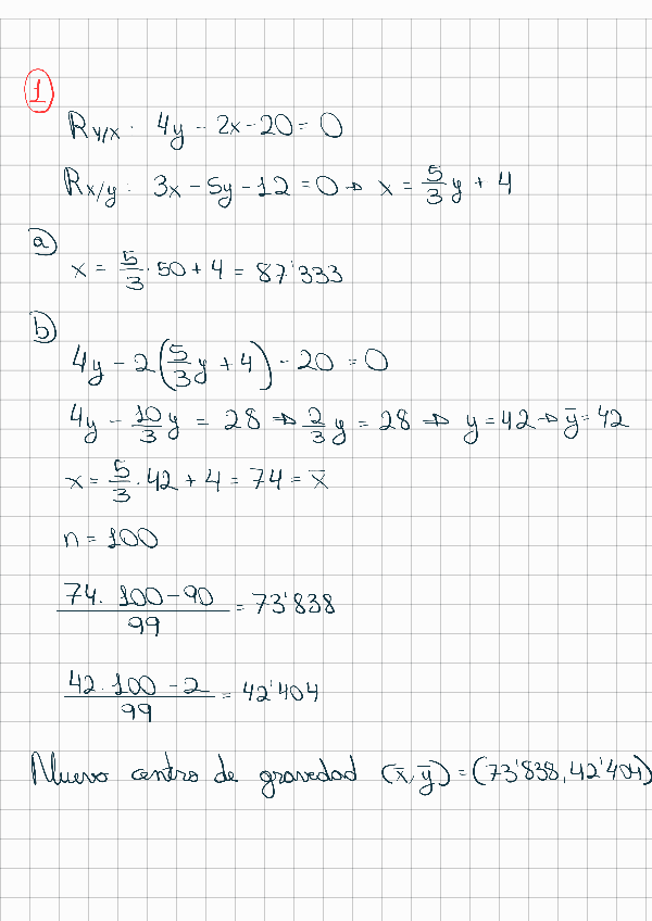
me falta el 3C porque se me ha pasado, en el ejercicio 5, 28+24 = 52, no 51 como he puesto, puede que varie el resto de ejercicios, el planteamiento está bien, la ecuacion del ejercicio 1 está mal al principio, corregida en la solución.

9 páginas

apuntes

-

BLOQUE.2-TEMAS.456-Apuntes

He publicado nuevos apuntes de 1º Metodos Estadisticos para la Computacion: BLOQUE.2-TEMAS.456-Apuntes

T4.-Calculo-de-Probabilidades.pdf
T5a.-Variables-Aleatorias.pdf
T5b.-Distribuciones-de-Probabilidad.pdf
T6.-Inferencia-Estadistica.pdf

apuntes

-

BLOQUE.1-TEMAS.123-Apuntes

He publicado nuevos apuntes de 1º Metodos Estadisticos para la Computacion: BLOQUE.1-TEMAS.123-Apuntes

T1.-Estadistica-Descriptiva.pdf
T2.-Modelizacion-Estadistica.pdf
T3.-Series-Temporales.pdf

examen resuelto con p-value

4 páginas

examen resuelto con p-value

5 páginas

examen resuelto con p-value

5 páginas

examen resuelto con p-value

5 páginas

examen resuelto con p-value

5 páginas

Examen de enero de 2025 recreado a partir de imagenes

3 páginas

He publicado nuevos examenes de 1º Metodos Estadisticos para la Computacion: Septiembre2022Resuelto.pdf

6 páginas

He publicado nuevos apuntes de 1º Metodos Estadisticos para la Computacion: Chapter-2-Notes.pdf

4 páginas

He publicado nuevos apuntes de 1º Metodos Estadisticos para la Computacion: 6-Hypothesis-Testing-Exercises.pdf

1 página

He publicado nuevos apuntes de 1º Metodos Estadisticos para la Computacion: 6-Exercises.pdf

6 páginas