Métodos Matemáticos de la Ingeniería
apuntes
-
TEMAS RESUMIDOS METODOS
He publicado nuevos apuntes de 1º Métodos Matemáticos de la Ingeniería: TEMAS RESUMIDOS METODOS
examenes
-
EXAMENES ANTERIORES
He publicado nuevos examenes de 1º Métodos Matemáticos de la Ingeniería: EXAMENES ANTERIORES
He publicado nuevos ejercicios de 1º Métodos Matemáticos de la Ingeniería: EJERCICIOS-Y-PROBLEMAS-RESUELTOS-Con-Anotaciones-Metodos-Matematicos.pdf
He publicado nuevos examenes de 1º Métodos Matemáticos de la Ingeniería: EXAMEN-PARCIAL-2024-RESUELTO-Completo-Metodos-Matematicos-UGR.pdf
He publicado nuevos examenes de 1º Métodos Matemáticos de la Ingeniería: RESOLUCION-ORDINARIA-Y-EXTRAORDINARIA-2023-Enunciado-2024-Metodos-Matematicos.pdf
INICIO DE CURSO MÉTODOS MATEMÁTICOS DE LA INGENIERÍA Resumen de cada tema. Resolución de ejercicios y exámenes de convocatorias anteriores. Clases grabadas hasta el día del examen. Profesor a tu disposición en cualquier momento para dudas. INFÓRMATE SIN COMPROMISO Y DA UNA CLASE DE PRUEBA EN GRUPO.

He publicado nuevos apuntes de 1º Métodos Matemáticos de la Ingeniería: APUNTES-COMPLETOS-METODOS-MATEMATICOS.pdf
apuntes
-
Métodos
He publicado nuevos apuntes de 1º Métodos Matemáticos de la Ingeniería: Métodos
He publicado nuevos apuntes de 1º Métodos Matemáticos de la Ingeniería: EXAMEN-ORDINARIA-METODOS-2025.pdf
He publicado nuevos examenes de 1º Métodos Matemáticos de la Ingeniería: Ordinaria-2025.pdf
He publicado nuevos examenes de 1º Métodos Matemáticos de la Ingeniería: examen-junio-23-24.pdf
He publicado nuevos examenes de 1º Métodos Matemáticos de la Ingeniería: parcial-METMAT-24-25.pdf
He publicado nuevos apuntes de 1º Métodos Matemáticos de la Ingeniería: EJERCICIOS-METODOS.pdf
He publicado nuevos apuntes de 1º Métodos Matemáticos de la Ingeniería: extraordinaria-2023.pdf
apuntes
-
APUNTES MÉTODOS COMPLETOS
He publicado nuevos apuntes de 1º Métodos Matemáticos de la Ingeniería: APUNTES MÉTODOS COMPLETOS
He publicado nuevos apuntes de 1º Métodos Matemáticos de la Ingeniería: apuntes-y-ejercicios.pdf
He publicado nuevos examenes de 1º Métodos Matemáticos de la Ingeniería: EXAMEN-RESUELTO.pdf
INTENSIVO CURSO MÉTODOS MATEMÁTICOS
ACADEMIA UNIVERSITARIA INTENSIVO MÉTODOS MATEMÁTICOS INGENIERÍA QUÍMICA Resolución paso a paso de todos tus ejercicios y exámenes de años anteriores. TODAS TUS CLASES GRABADAS Y EN PDF PARA VISUALIZARLAS HASTA EL DÍA DEL EXAMEN. Clases online y presenciales. Horario de mañana y tarde.

examenes
-
EJERCICIOS DE EXAMENES
He publicado nuevos examenes de 1º Métodos Matemáticos de la Ingeniería: EJERCICIOS DE EXAMENES
He publicado nuevos ejercicios de 1º Métodos Matemáticos de la Ingeniería: RELACIONES-EJERCICIOS-RESUELTAS.pdf
He publicado nuevos examenes de 1º Métodos Matemáticos de la Ingeniería: EXAMENES-metodos.pdf
He publicado nuevos apuntes de 1º Métodos Matemáticos de la Ingeniería: APUNTES-COMPLETOS-METODOS-MATEMATICOS.pdf
apuntes
-
TEORIA CLASE Completa
He publicado nuevos apuntes de 1º Métodos Matemáticos de la Ingeniería: TEORIA CLASE Completa
apuntes
-
Teoría
He publicado nuevos apuntes de 1º Métodos Matemáticos de la Ingeniería: Teoría
He publicado nuevos apuntes de 1º Métodos Matemáticos de la Ingeniería: Resumen-METMAT.pdf
ACADEMIA INICIO CURSO MÉTODOS MATEMÁTICOS
INICIO DE CURSOS MÉTODOS MATEMÁTICOS PARA INGENIERÍA QUÍMICA Resolución de todos tus ejercicios y exámenes de años anteriores. Clases online y presenciales. Horario de mañana y tarde. Prueba con nosotros una clase en grupo.
apuntes
-
ejercicios resueltos de todo
He publicado nuevos apuntes de 1º Métodos Matemáticos de la Ingeniería: ejercicios resueltos de todo
apuntes
-
Apuntes muy buenos Metodos COMPLETOS
He publicado nuevos apuntes de 1º Métodos Matemáticos de la Ingeniería: Apuntes muy buenos Metodos COMPLETOS
examenes
-
EXÁMENES RESUELTOS 21-22
He publicado nuevos examenes de 1º Métodos Matemáticos de la Ingeniería: EXÁMENES RESUELTOS 21-22
apuntes
-
Examen final resuelto 2022
He publicado nuevos apuntes de 1º Métodos Matemáticos de la Ingeniería: Examen final resuelto 2022
He publicado nuevos apuntes de 1º Métodos Matemáticos de la Ingeniería: Resumen-Asignatura.pdf
He publicado nuevos apuntes de 1º Métodos Matemáticos de la Ingeniería: Resumen-primer-parcial.pdf
He publicado nuevos apuntes de 1º Métodos Matemáticos de la Ingeniería: Parcial-resuelto.pdf
He publicado nuevos apuntes de 1º Métodos Matemáticos de la Ingeniería: APUNTES-TEMARIO-COMPLETO.pdf
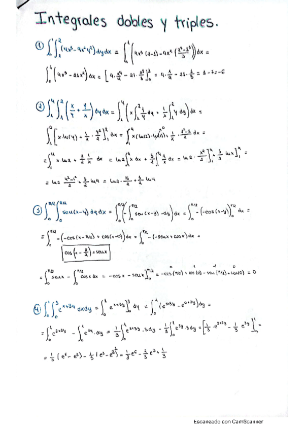
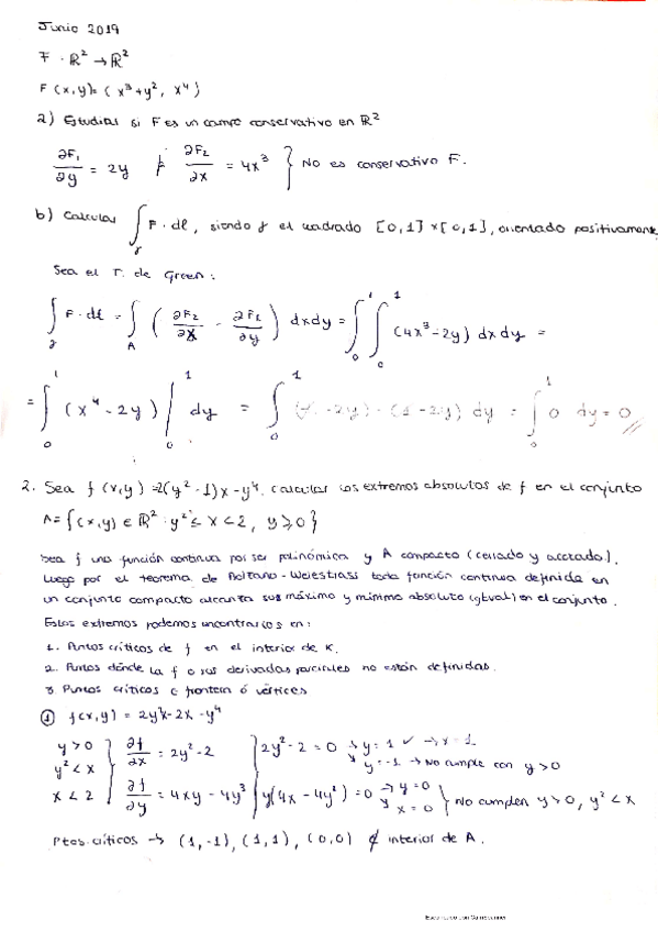
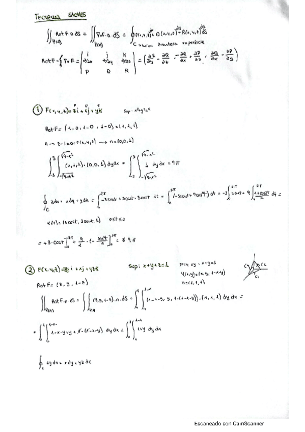
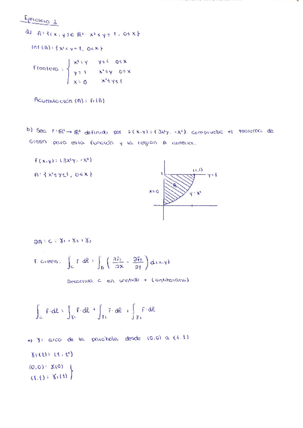
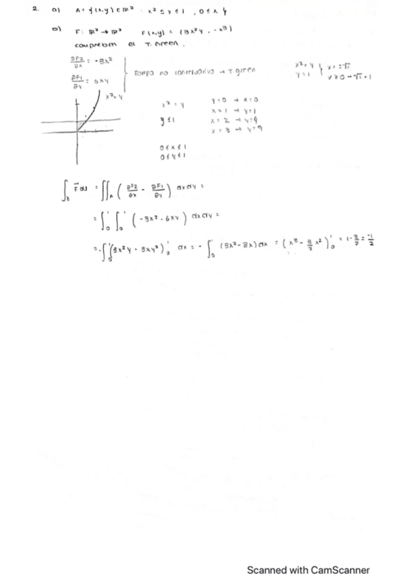
He publicado nuevos ejercicios de 1º Métodos Matemáticos de la Ingeniería: Teorema-de-Green.pdf
He publicado nuevos apuntes de 1º Métodos Matemáticos de la Ingeniería
He publicado nuevos apuntes de 1º Métodos Matemáticos de la Ingeniería: CamScanner-06-13-2022-21.pdf
He publicado nuevos apuntes de 1º Métodos Matemáticos de la Ingeniería: CamScanner-06-13-2022-21.pdf
He publicado nuevos apuntes de 1º Métodos Matemáticos de la Ingeniería: CamScanner-06-13-2022-21.pdf
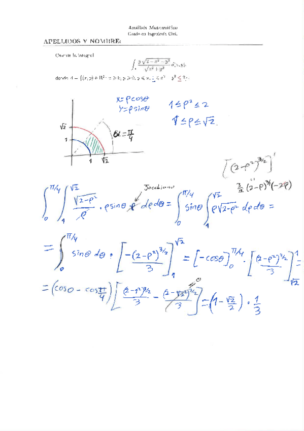
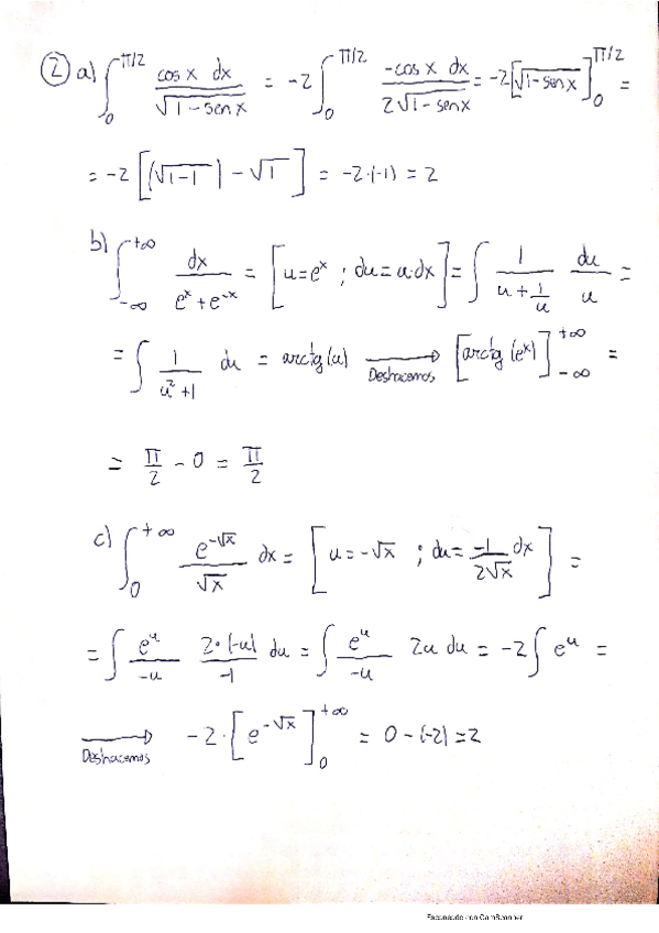
He publicado nuevos apuntes de 1º Métodos Matemáticos de la Ingeniería: Integrales-trucos-elipse-circulo-etc.pdf
He publicado nuevos apuntes de 1º Métodos Matemáticos de la Ingeniería: Apuntes-metodos-matematicos-.pdf
He publicado nuevos examenes de 1º Métodos Matemáticos de la Ingeniería: 22-12001.pdf
ejercicios
-
Ejercicios
He publicado nuevos ejercicios de 1º Métodos Matemáticos de la Ingeniería: Ejercicios
apuntes
-
Apuntes de la asignatura
He publicado nuevos apuntes de 1º Métodos Matemáticos de la Ingeniería: Apuntes de la asignatura
apuntes
-
Ejercicios
He publicado nuevos apuntes de 1º Métodos Matemáticos de la Ingeniería: Ejercicios
He publicado nuevos apuntes de 1º Métodos Matemáticos de la Ingeniería: Ordinaria-2020.pdf
examenes
-
Examenes 2020/2021
He publicado nuevos examenes de 1º Métodos Matemáticos de la Ingeniería: Examenes 2020/2021
apuntes
-
RESÚMENES DE TEMARIO
He publicado nuevos apuntes de 1º Métodos Matemáticos de la Ingeniería: RESÚMENES DE TEMARIO
He publicado nuevos ejercicios de 1º Métodos Matemáticos de la Ingeniería: Ejercicios.pdf
He publicado nuevos examenes de 1º Métodos Matemáticos de la Ingeniería: Examen-metodos-septiembre.pdf
He publicado nuevos examenes de 1º Métodos Matemáticos de la Ingeniería: Examen-metodos.pdf
examenes
-
Examenes
He publicado nuevos examenes de 1º Métodos Matemáticos de la Ingeniería: Examenes
apuntes
-
EJERCICIOS RESUELTOS
He publicado nuevos apuntes de 1º Métodos Matemáticos de la Ingeniería: EJERCICIOS RESUELTOS
He publicado nuevos ejercicios de 1º Métodos Matemáticos de la Ingeniería: Ejercicios-resueltos.pdf
apuntes
-
METMAT-Teoría
He publicado nuevos apuntes de 1º Métodos Matemáticos de la Ingeniería: METMAT-Teoría
apuntes
-
Métodos matemáticos
He publicado nuevos apuntes de 1º Métodos Matemáticos de la Ingeniería: Métodos matemáticos
He publicado nuevos apuntes de 1º Métodos Matemáticos de la Ingeniería: final-solucion.pdf
apuntes
-
RESUMENES Y FORMULAS
He publicado nuevos apuntes de 1º Métodos Matemáticos de la Ingeniería: RESUMENES Y FORMULAS
He publicado nuevos apuntes de 1º Métodos Matemáticos de la Ingeniería: final-solucion.pdf
He publicado nuevos apuntes de 1º Métodos Matemáticos de la Ingeniería: SEGUNDO-PARCIAL-METODOS-MATEMATICOS-RESUELTO-2019.pdf