Métodos Matemáticos I
He publicado nuevos examenes de 2º Métodos Matemáticos I: Ordinario-20252026-Enero-Metodos-Matematicos-I.pdf
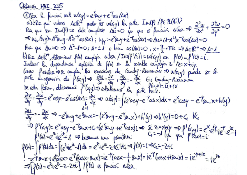
IMPORTANTE: Hay una errata en el último problema. Olvidé coger la parte imaginaria del resultado que escribí, o sea el resultado sin la i. La respuesta final siempre debe ser un valor real [pi(1-1/e)]. Son solo los 3 últimos problemas del ordinario del 23
examenes
-
Exámenes otros años
He publicado nuevos examenes de 2º Métodos Matemáticos I: Exámenes otros años
examenes
-
Ejercicios exámenes años anteriores resueltos
Ejercicios resueltos de exámenes de otros años
examenes
-
Parciales resueltos
He publicado nuevos examenes de 2º Métodos Matemáticos I: Parciales resueltos
He publicado nuevos apuntes de 2º Métodos Matemáticos I: Guia-Estudio-MMI.pdf
He publicado nuevos examenes de 2º Métodos Matemáticos I: Extraordinario-2025-resuelto.pdf
apuntes
-
Apuntes 2025-2026
He publicado nuevos apuntes de 2º Métodos Matemáticos I: Apuntes 2025-2026
apuntes
-
Resumen de toda la asignatura
Teoría definiciones y demostraciones relevantes
He publicado nuevos apuntes de 2º Métodos Matemáticos I: Chuletario-integrales.pdf
He publicado nuevos examenes de 2º Métodos Matemáticos I: PruebaCorta2MetodosMatematicosI2025GrupoB.pdf
ejercicios
-
Relaciones resueltas 2025-2026
He publicado nuevos ejercicios de 2º Métodos Matemáticos I: Relaciones resueltas 2025-2026
He publicado nuevos apuntes de 2º Métodos Matemáticos I: Tema-2-Funciones-de-variable-compleja.pdf
He publicado nuevos apuntes de 2º Métodos Matemáticos I: Tema-1-Conceptos-clave.pdf
He publicado nuevos apuntes de 2º Métodos Matemáticos I: T1-PlanoComplejo.pdf
He publicado nuevos apuntes de 2º Métodos Matemáticos I: T3-TeoremaCauchy.pdf
He publicado nuevos apuntes de 2º Métodos Matemáticos I: T2-FuncionesComplejas.pdf
ejercicios
-
Todas las relaciones
He publicado nuevos ejercicios de 2º Métodos Matemáticos I: Todas las relaciones
apuntes
-
Resúmenes tema 3
He publicado nuevos apuntes de 2º Métodos Matemáticos I: Resúmenes tema 3
apuntes
-
Resúmenes tema 2
He publicado nuevos apuntes de 2º Métodos Matemáticos I: Resúmenes tema 2
He publicado nuevos examenes de 2º Métodos Matemáticos I: Primer-ParcialNoviembreMetodos-Matematicos-I.pdf
He publicado nuevos ejercicios de 2º Métodos Matemáticos I: Ejercicios-resueltos.-Tema-3.-Teorema-de-Cauchy-y-aplicaciones.pdf
apuntes
-
Ejercicios resuletos y explicados
Relaciones de ejercicios de toda la asignatura resueltos y explicados.
Resumen de la asignatura al completo con aclaraciones y cosas más importantes
He publicado nuevos apuntes de 2º Métodos Matemáticos I: Formulario-integrales-y-recintos-de-integracion.pdf
He publicado nuevos apuntes de 2º Métodos Matemáticos I: Tema-5.-Residuos.pdf
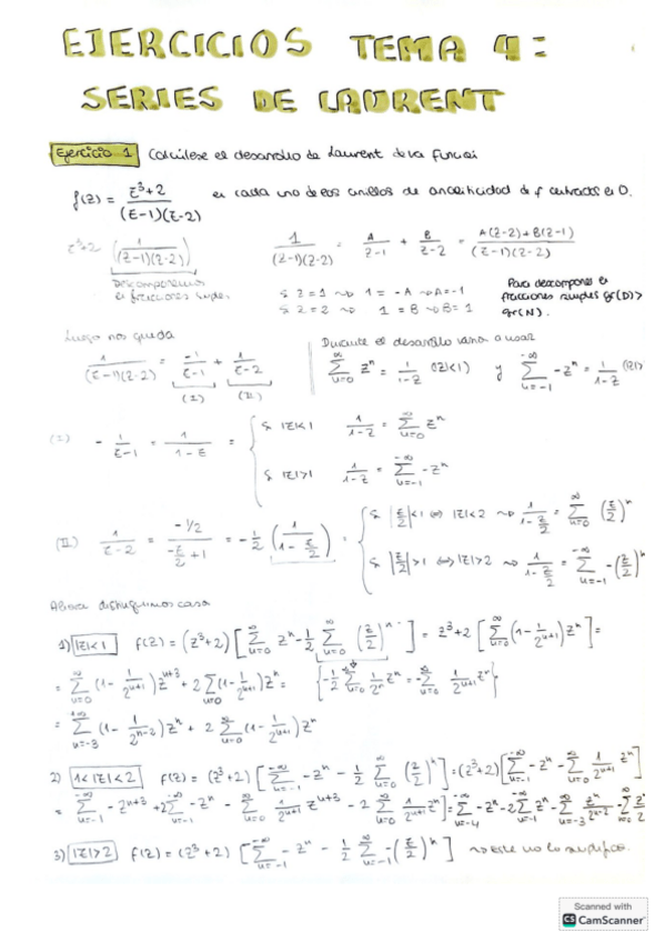
He publicado nuevos apuntes de 2º Métodos Matemáticos I: Tema-4.-Series-de-Laurent.pdf
He publicado nuevos apuntes de 2º Métodos Matemáticos I: Tema-3.-Teorema-Cauchy.pdf
He publicado nuevos apuntes de 2º Métodos Matemáticos I: Tema-2.-Funciones-complejas.pdf
He publicado nuevos apuntes de 2º Métodos Matemáticos I: Tema-1.-El-cuerpo-C.pdf
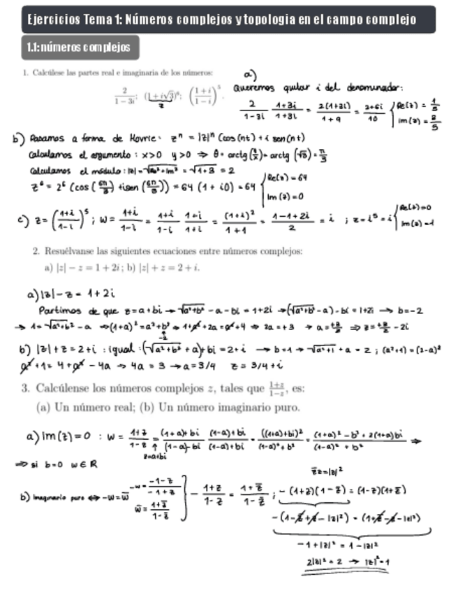
He publicado nuevos apuntes de 2º Métodos Matemáticos I: Tema-1.-Numeros-Complejos-Y-Topologia-En-El-Campo-Complejo.pdf
INICIO DE CURSO MÉTODOS MATEMÁTICOS I ACADEMIA UNIVERSITARIA FORMACIÓN MANUEL POZO Clases modalidad online y presencial. Todas tus CLASES GRABADAS PARA QUE PUEDAS VISUALIZARLAS HASTA EL DÍA DEL EXAMEN Resolución de todos tus ejercicios y exámenes de convocatorias anteriores. Profesores especialidados y temario propio. Acceso a PLATAFORMA VIRTUAL CON CONTENIDO EXCLUSIVO ¡Solicita tu clase de prueba en grupo sin compromiso!

He publicado nuevos examenes de 2º Métodos Matemáticos I: Ordinario-2025-resuelto.pdf
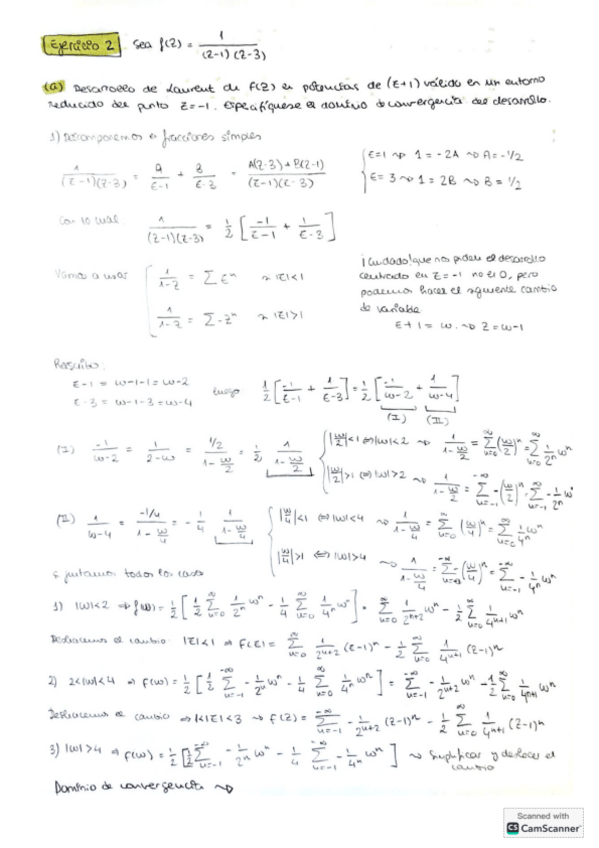
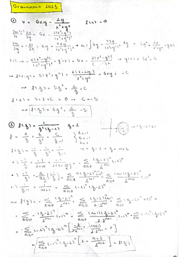
He publicado nuevos examenes de 2º Métodos Matemáticos I: Ordinario-2023-resuelto.pdf
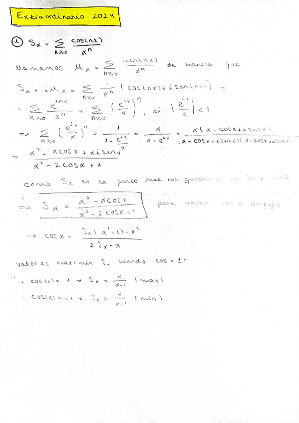
He publicado nuevos examenes de 2º Métodos Matemáticos I: Ordinario-2024-resuelto.pdf
He publicado nuevos examenes de 2º Métodos Matemáticos I: Ordinario-2021-resuelto.pdf
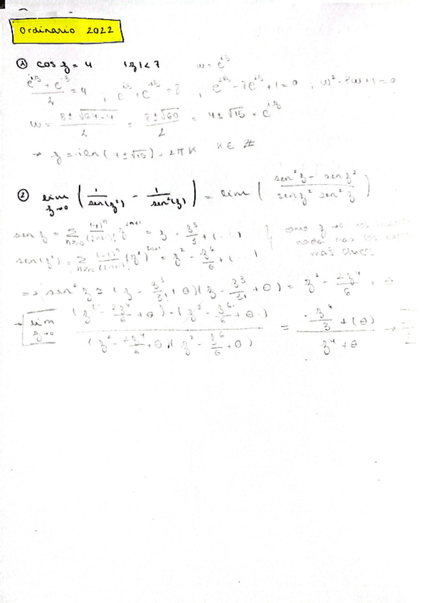
He publicado nuevos examenes de 2º Métodos Matemáticos I: Ordinario-2022-resuelto.pdf
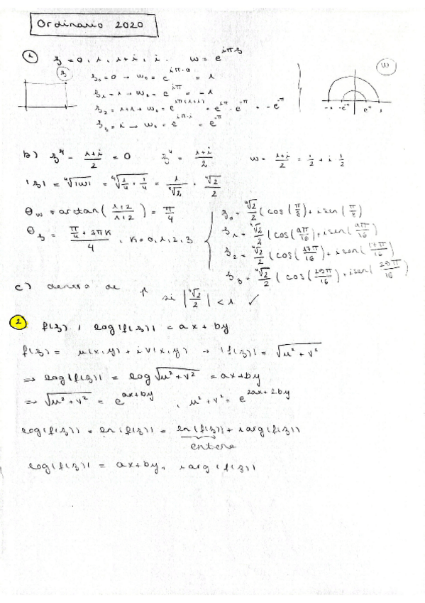
He publicado nuevos examenes de 2º Métodos Matemáticos I: Ordinario-2020-resuelto.pdf
He publicado nuevos examenes de 2º Métodos Matemáticos I: Extraordinario-2024-resuelto.pdf
He publicado nuevos examenes de 2º Métodos Matemáticos I: Ordinario-2019-resuelto.pdf
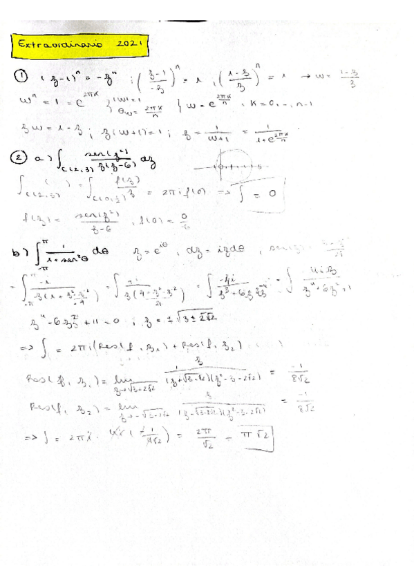
He publicado nuevos apuntes de 2º Métodos Matemáticos I: Extraordinario-2021-resuelto.pdf
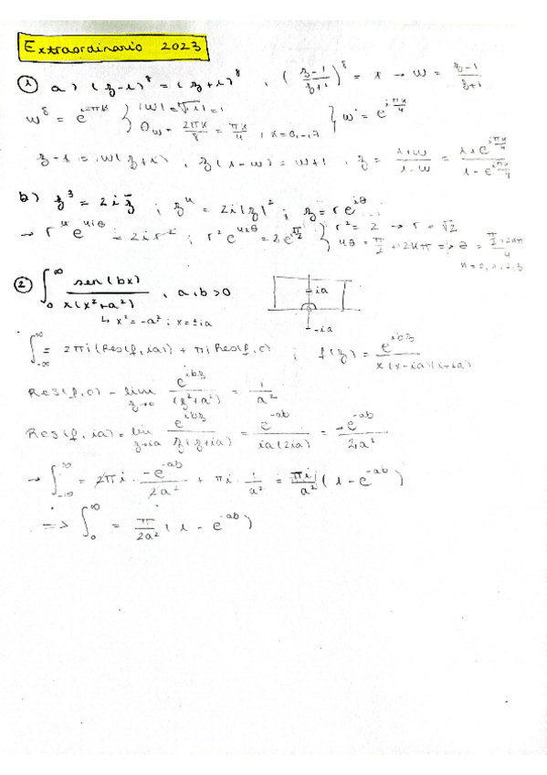
He publicado nuevos examenes de 2º Métodos Matemáticos I: Extraordinario-2023-resuelto.pdf
ejercicios
-
Ejercicios resueltos temas 1 al 6
He publicado nuevos ejercicios de 2º Métodos Matemáticos I: Ejercicios resueltos temas 1 al 6
He publicado nuevos examenes de 2º Métodos Matemáticos I: Examen-Extraordinario-2025.jpeg
He publicado nuevos examenes de 2º Métodos Matemáticos I: examen-extraordinario-2025.pdf
Son los enunciados del examen de febrero reescrito a Latex
He publicado nuevos examenes de 2º Métodos Matemáticos I: Ordinario-resuelto-2025.pdf
He publicado nuevos examenes de 2º Métodos Matemáticos I: Ordinario-2025.pdf
ejercicios
-
Relaciones Ejercicios Resueltos Métodos Matemáticos I
He publicado nuevos ejercicios de 2º Métodos Matemáticos I: Relaciones Ejercicios Resueltos Métodos Matemáticos I
He publicado nuevos apuntes de 2º Métodos Matemáticos I: Relacion-tema-2-MMI.pdf
He publicado nuevos apuntes de 2º Métodos Matemáticos I: Tema-4-Series-de-Laurent-teoria-con-e.pdf
He publicado nuevos ejercicios de 2º Métodos Matemáticos I: Relacion-4-series-de-Laurent-y-singular.pdf
He publicado nuevos apuntes de 2º Métodos Matemáticos I: Tema-5-tma-de-los-residuos-teoria-con.pdf
He publicado nuevos ejercicios de 2º Métodos Matemáticos I: Ejercicios-Tema-2-funciones-de-variabl.pdf
He publicado nuevos apuntes de 2º Métodos Matemáticos I: Relacion-tema-1-MMI.pdf
He publicado nuevos apuntes de 2º Métodos Matemáticos I: Apuntes-completos.pdf