Métodos Matemáticos I

Todo
Apuntes
Ejercicios
Exámenes
chevron_left
chevron_right

He publicado nuevos apuntes de 1º Métodos Matemáticos I: TEMA-4-RESUMEN-MEDIO-FOLIO.pdf

3 páginas

He publicado nuevos apuntes de 1º Métodos Matemáticos I: TEMA-5-RESUMEN-MEDIO-FOLIO.pdf

3 páginas

He publicado nuevos apuntes de 1º Métodos Matemáticos I: TEMA-2-RESUMEN-MEDIO-FOLIO.pdf

4 páginas

He publicado nuevos apuntes de 1º Métodos Matemáticos I: TEMA-1-RESUMEN-MEDIO-FOLIO.pdf

3 páginas

apuntes

-

APUNTES Y EJERCICIOS RESUELTOS EN CLASE

He publicado nuevos apuntes de 1º Métodos Matemáticos I: APUNTES Y EJERCICIOS RESUELTOS EN CLASE

Esperanza.-Distribuciones.pdf
Introduccion-a-la-probabilidad.-Combinatoria.-Probabilidad-condicionada.pdf
Tema-1-Numeros-complejos.pdf
Tema-2-Funciones-analiticas.pdf
Tema-3-Funciones-elementales.pdf
Tema-4-Integracion-compleja.pdf

apuntes

-

Apuntes Estadistica

He publicado nuevos apuntes de 1º Métodos Matemáticos I: Apuntes Estadistica

Tema-1-Calculo-Manual-de-Probabilidades.pdf
Tema-2-Variables-Aleatorias.pdf
Tema-3-Esperanza-y-Varianza.pdf

apuntes

-

Apuntes Numeros Complejos

He publicado nuevos apuntes de 1º Métodos Matemáticos I: Apuntes Numeros Complejos

Tema-1-Numeros-Complejos.pdf
Tema-2-Funciones-Complejas.pdf
Tema-3-Funciones-Elementales-y-Funciones-Multivaluadas.pdf
Tema-4-Integracion-Compleja.pdf
Tema-5-Series-Complejas.pdf

He publicado nuevos apuntes de 1º Métodos Matemáticos I: RESUMEN-NUMEROS-COMPLEJOS-PARA-EXAMEN.pdf

4 páginas

Prueba de todo el bloque de probabilidad

1 página
Anónimo

@Anónimo

apuntes

-

APUNTES DE PROBABILIDAD

He publicado nuevos apuntes de 1º Métodos Matemáticos I: APUNTES DE PROBABILIDAD

TEMA-1.PROBABILIDAD.pdf
TEMA-2.VARIABLES-ALEATORIAS.pdf
TEMA-3.ESPERANZA.pdf
TEMA-4.DISTRIBUCIONES-ESPECIALES.pdf

He publicado nuevos apuntes de 1º Métodos Matemáticos I: Resumen-tema-5240528220053.pdf

1 página

He publicado nuevos apuntes de 1º Métodos Matemáticos I: Resumen-tema-4complejos.pdf

1 página

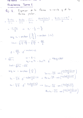
He publicado nuevos ejercicios de 1º Métodos Matemáticos I: Ejercicios-tema-4complejos.pdf

4 páginas

He publicado nuevos apuntes de 1º Métodos Matemáticos I: Resumen-tema-3complejos.pdf

1 página

He publicado nuevos ejercicios de 1º Métodos Matemáticos I: Ejercicios-tema-3complejos.pdf

4 páginas

He publicado nuevos ejercicios de 1º Métodos Matemáticos I: Ejercicios-tema-2.pdf

3 páginas

He publicado nuevos apuntes de 1º Métodos Matemáticos I: Resumen-tema-2.pdf

2 páginas

He publicado nuevos apuntes de 1º Métodos Matemáticos I: Resumen-tema-1-numeros-complejos.pdf

2 páginas

He publicado nuevos ejercicios de 1º Métodos Matemáticos I: Ejercicios-tema-1-complejos.pdf

3 páginas

He publicado nuevos ejercicios de 1º Métodos Matemáticos I: Ejercicios-tema-4-probabilidad.pdf

2 páginas

He publicado nuevos apuntes de 1º Métodos Matemáticos I: Resumen-tema-4-probabilidad.pdf

2 páginas

He publicado nuevos ejercicios de 1º Métodos Matemáticos I: Ejercicios-esperanza.pdf

2 páginas

He publicado nuevos apuntes de 1º Métodos Matemáticos I: Resumen-tema-3-probabilidad.pdf

2 páginas

He publicado nuevos ejercicios de 1º Métodos Matemáticos I: Ejercicios-tema-2-probabilidad.pdf

3 páginas

He publicado nuevos apuntes de 1º Métodos Matemáticos I: Resumen-tema-2-probabilidad.pdf

2 páginas

He publicado nuevos apuntes de 1º Métodos Matemáticos I: Bloque-de-estadistica-resumido.pdf

5 páginas

apuntes

-

RESÚMENES MÉTODOS MATEMÁTICOS

He publicado nuevos apuntes de 1º Métodos Matemáticos I: RESÚMENES MÉTODOS MATEMÁTICOS

Tema-1-Numeros-Complejos.pdf
Tema-2-Funciones-Analiticas.pdf
Tema-3-Funciones-Elementales.pdf
Tema-4-Integracion-Compleja.pdf
Tema-5-Series-y-residuos.pdf

apuntes

-

EJERCICIOS DE NÚMEROS COMPLEJOS HECHOS EN CLASE

He publicado nuevos apuntes de 1º Métodos Matemáticos I: EJERCICIOS DE NÚMEROS COMPLEJOS HECHOS EN CLASE

Ejercicios-Clase-U1-Numeros-Complejos.pdf
Ejercicios-Clase-U2-Funciones-analiticas.pdf
Ejercicios-Clase-U3-Funciones-Elementales.pdf
Ejercicios-Clase-U4-Integracion-Compleja.pdf

He publicado nuevos apuntes de 1º Métodos Matemáticos I: Resumen-TEMA1-MM1.pdf

5 páginas

Apuntes en inglés

9 páginas

apuntes

-

Apuntes completos MMI

He publicado nuevos apuntes de 1º Métodos Matemáticos I: Apuntes completos MMI

Numeros-Complejos.pdf
T2.pdf
T1.pdf
Probabilidad.pdf

apuntes

-

apuntes probabilidad

He publicado nuevos apuntes de 1º Métodos Matemáticos I: apuntes probabilidad

tema-1-probabilidad.pdf
tema-2-probabilidad.pdf
tema-3-probabilidad.pdf
tema-4-probabilidad.pdf

He publicado nuevos apuntes de 1º Métodos Matemáticos I: Chapter4BivariateDistribution.pdf

10 páginas

He publicado nuevos apuntes de 1º Métodos Matemáticos I: Chapter3ContinuousRandomVariable.pdf

12 páginas

He publicado nuevos apuntes de 1º Métodos Matemáticos I: Chapter-2Random-Variable.pdf

10 páginas

He publicado nuevos apuntes de 1º Métodos Matemáticos I: Chapter-1-Probability.pdf

11 páginas

He publicado nuevos apuntes de 1º Métodos Matemáticos I: Chapter-5.pdf

10 páginas

He publicado nuevos apuntes de 1º Métodos Matemáticos I: Chapter-4.pdf

10 páginas

apuntes

-

Ingles_Handouts

He publicado nuevos apuntes de 1º Métodos Matemáticos I: Ingles_Handouts

Chapter-5-Handout.pdf
Chapter-3-handout.pdf
Chapter-2-handout.pdf
Chapter-4-handout.pdf
Chapter-1-handout.pdf

He publicado nuevos apuntes de 1º Métodos Matemáticos I: Tema-3-Complejos.pdf

1 página

He publicado nuevos apuntes de 1º Métodos Matemáticos I: Tema-2-Complejos.pdf

2 páginas

He publicado nuevos apuntes de 1º Métodos Matemáticos I: Tema-1-Complejos.pdf

2 páginas

He publicado nuevos apuntes de 1º Métodos Matemáticos I: ApuntesProbabilidadMetodos.pdf

6 páginas

apuntes

-

Apuntes de todos los temas. Bloque 2

He publicado nuevos apuntes de 1º Métodos Matemáticos I: Apuntes de todos los temas. Bloque 2

Tema3Bloque2.pdf
Tema5Bloque2.pdf
Tema3Parte2Bloque2.pdf
Tema4Bloque2.pdf
Tema2Bloque2.pdf
Tema1Bloque2.pdf

apuntes

-

Apuntes de todos los temas. Bloque 1

He publicado nuevos apuntes de 1º Métodos Matemáticos I: Apuntes de todos los temas. Bloque 1

Tema1Bloque1.pdf
Tema3.pdf
Tema4.pdf
Tema2.pdf

apuntes

-

Material de la asignatura

He publicado nuevos apuntes de 1º Métodos Matemáticos I: Material de la asignatura

Soluciones-1.pdf
Soluciones-Tema-2.pdf
Relacion4.pdf
Problemas-extras-Probabilidad.pdf
14531786.pdf
Soluciones-Tema-3.pdf

He publicado nuevos ejercicios de 1º Métodos Matemáticos I: EjerciciosVC.pdf

13 páginas

He publicado nuevos apuntes de 1º Métodos Matemáticos I: Apuntes-MM-Variable-compleja.pdf

11 páginas

ejercicios

-

EJERCICIOS RESUELTOS TODOS LOS TEMAS

He publicado nuevos ejercicios de 1º Métodos Matemáticos I: EJERCICIOS RESUELTOS TODOS LOS TEMAS

Relacion-2.pdf
Relacion-3.pdf
Relacion-0.pdf
Relacion-1.pdf
Relacion-4.pdf
Complejo-1.pdf

He publicado nuevos apuntes de 1º Métodos Matemáticos I: Apuntes-teoria-MM.pdf

14 páginas

He publicado nuevos apuntes de 1º Métodos Matemáticos I: Met.mp4

video
Anónimo

@Anónimo

He publicado nuevos apuntes de 1º Métodos Matemáticos I: Tema3Ejercicios-y-teoria.pdf

18 páginas
Anónimo

@Anónimo

apuntes

-

Diapositivas Variables Aleatorias

He publicado nuevos apuntes de 1º Métodos Matemáticos I: Diapositivas Variables Aleatorias

Variable-aleatoria-continua.pdf
Variable-aleatoria-discreta.pdf

apuntes

-

Variable compleja

He publicado nuevos apuntes de 1º Métodos Matemáticos I: Variable compleja

Tema2MetodosMatematicos1.pdf
Tema1MetodosMatematicos1.pdf
EjerciciosTema2.pdf
EjerciciosTema1.pdf
Anónimo

@Anónimo

examenes

-

Examenes

He publicado nuevos examenes de 1º Métodos Matemáticos I: Examenes

MI-Primer-Parcial-Probabilidad-4.pdf
MI-Parcial-1-Probabilidad-30.pdf
MI-Segundo-Parcial-Complejos-7.pdf
MI-Parcial-2-Complejos-8.pdf
MI-Examen-Final-Resuelto-27.pdf
MMI-Parcial-Complejos-2013-14.pdf

He publicado nuevos examenes de 1º Métodos Matemáticos I: examen-complejos-2019-Pagina-11.pdf

1 página

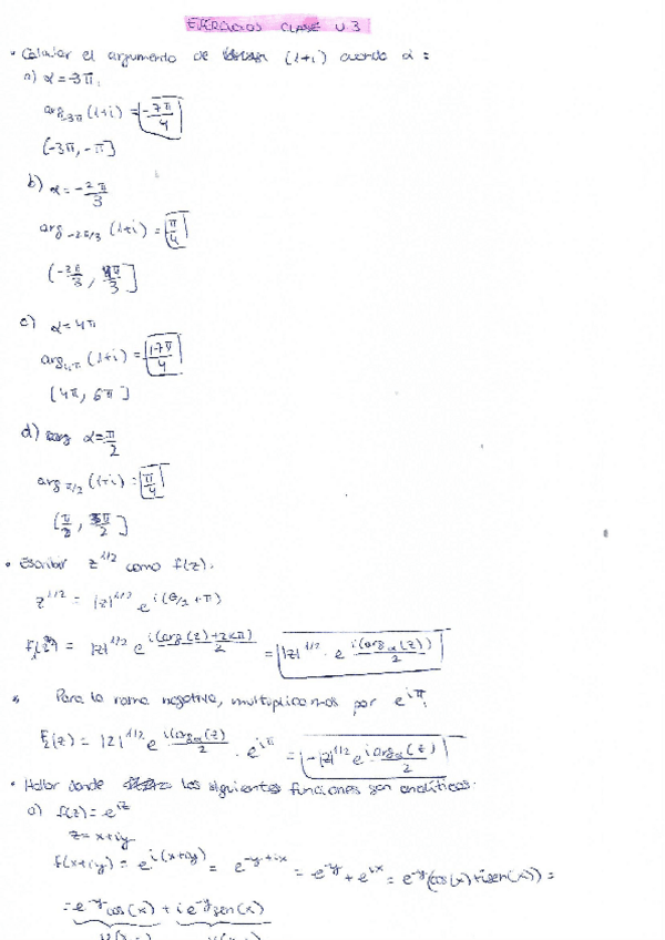
He publicado nuevos ejercicios de 1º Métodos Matemáticos I: ejercicios-en-clase-numeros-complejos.pdf

15 páginas

He publicado nuevos ejercicios de 1º Métodos Matemáticos I: ejercicios-de-clase-estadistica-y-probabilidad.pdf

22 páginas

He publicado nuevos apuntes de 1º Métodos Matemáticos I: apuntes-estadistica-y-probabilidad.pdf

9 páginas

Algunas notas sobre como usar números complejos en MatLab

7 páginas