Métodos Matemáticos I

chevron_left
chevron_right
Todo
Apuntes
Exámenes
PEC
chevron_left
chevron_right

apuntes

-

Apuntes Métodos Matemáticos I

Apuntes de toda la asignatura, separados por temas, con teoría y algunos ejercicios.

TEMA-0.-Los-numeros-complejos.pdf
TEMA-1.-Conceptos-generales-de-ecuaciones-diferenciales-ordinarias.pdf
TEMA-2.-Ecuaciones-diferenciales-ordinarias-de-primer-orden.-La-ecuacion-lineal.pdf
TEMA-3.-Ecuaciones-diferenciales-ordinarias-de-orden-superior.pdf
TEMA-4.-Soluciones-de-ecuaciones-diferenciales-lineales-mediante-series.pdf
TEMA-5.-Sistemas-lineales-de-ecuaciones-diferenciales.pdf

pec

-

PEC curso 24-25

He publicado nuevos pec de 1º Métodos Matemáticos I: PEC curso 24-25

MMIPEC2.pdf
MMIPEC161fe4fc6fbede870bde1ba3aee44588b.pdf

apuntes

-

Apuntes ecuaciones diferenciales

He publicado nuevos apuntes de 1º Métodos Matemáticos I: Apuntes ecuaciones diferenciales

Sistemas-De-Ecuaciones-Diferenciales.pdf
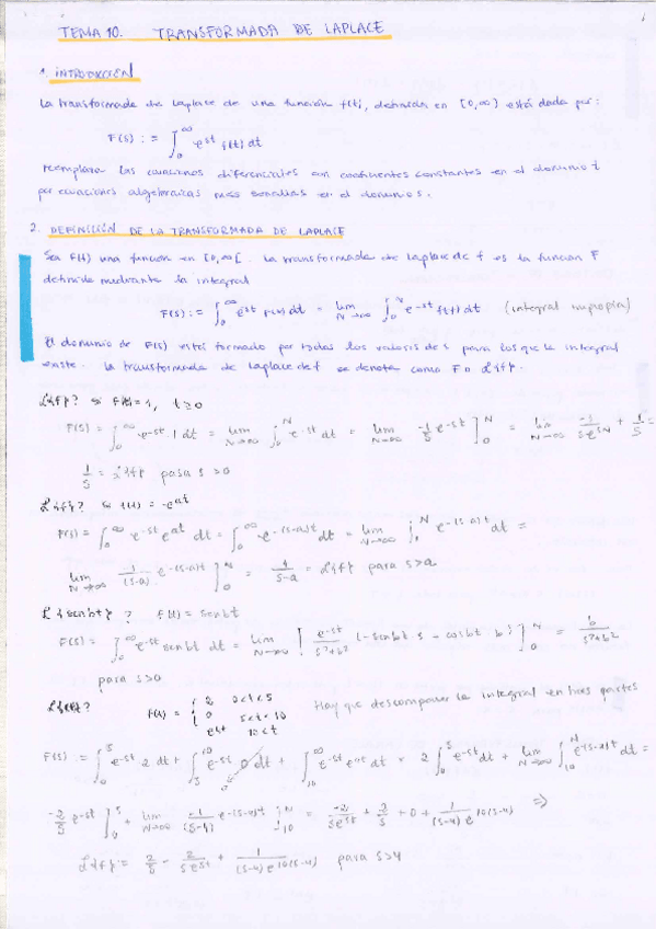
Transformada-De-Laplace.pdf
Conceptos-E.D.pdf
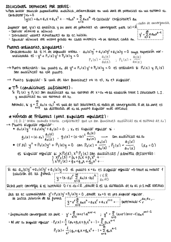
Soluciones-Definidas-Por-Series.pdf
E.D.O.S.pdf
Resumen-Ecuaciones-Diferenciales.pdf

Este resumen está diseñado para que puedas doblarlo y quede en formato A5, con fórmulas en ambos lados

1 página

Mis apuntes sobre "Ecuación lineal diferencial" en Métodos Matemáticos 1 de la UNED. Están basados en el libro Ecuaciones diferenciales ordinarias de Vicente Bargueño.

4 páginas

Mis apuntes sobre "Soluciones de ecuaciones diferenciales lineales mediante series" en Métodos Matemáticos 1 de la UNED. Están basados en el libro Ecuaciones diferenciales ordinarias de Vicente Bargueño.

3 páginas

Mis apuntes sobre "Ecuaciones diferencialesde orden superior" en Métodos Matemáticos 1 de la UNED. Están basados en el libro Ecuaciones diferenciales ordinarias de Vicente Bargueño.

2 páginas

Mis apuntes sobre "Sistemas de ecuaciones diferenciales" en Métodos Matemáticos 1 de la UNED. Están basados en el libro Ecuaciones diferenciales ordinarias de Vicente Bargueño.

3 páginas

Mis apuntes sobre "Diagramas de fase" en Métodos Matemáticos 1 de la UNED. Están basados en el libro Ecuaciones diferenciales ordinarias de Vicente Bargueño.

3 páginas

Mis apuntes sobre "Funciones con valores vectoriales" en Métodos Matemáticos 1 de la UNED. Están basados en el libro Ecuaciones diferenciales ordinarias de Vicente Bargueño.

3 páginas

He publicado nuevos pec de 1º Métodos Matemáticos I: PEC-2425-Solucion-Nota-10.pdf

15 páginas

Método de resolución de ecuaciones exactas (Matefácil)

1 página

He publicado nuevos apuntes de 1º Métodos Matemáticos I: Tema-0.pdf

6 páginas

He publicado nuevos pec de 1º Métodos Matemáticos I: PEC-1-23/24-nota-9,1.pdf

7 páginas

He publicado nuevos pec de 1º Métodos Matemáticos I: PEC-2-23/24-nota-8,1.pdf

7 páginas

He publicado nuevos examenes de 1º Métodos Matemáticos I: Prob.-1-MM1-2023-2024-1a-sem.pdf

1 página

He publicado nuevos apuntes de 1º Métodos Matemáticos I: Resolver-ecuaciones-diferenciales-Espectacular.pdf

16 páginas

He publicado nuevos apuntes de 1º Métodos Matemáticos I: Tipos-de-diagramas-de-fase.pdf

1 página

He publicado nuevos examenes de 1º Métodos Matemáticos I: MMI2023solucionesjunio1.pdf

10 páginas

He publicado nuevos examenes de 1º Métodos Matemáticos I: MMI2023solucionesjunio2.pdf

9 páginas

He publicado nuevos pec de 1º Métodos Matemáticos I: MMI2023PEC1soluciones.pdf

13 páginas

He publicado nuevos pec de 1º Métodos Matemáticos I: MMI2023PEC2soluciones.pdf

15 páginas

examenes

-

Exámenes 2022

He publicado nuevos examenes de 1º Métodos Matemáticos I: Exámenes 2022

E610410880C22J1.pdf
E610410880E22J2.pdf

He publicado nuevos pec de 1º Métodos Matemáticos I: PEC01-21Solucion.pdf

16 páginas

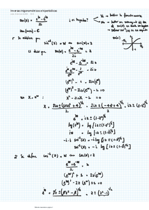
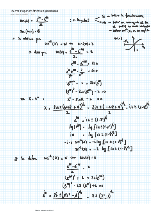
He publicado nuevos apuntes de 1º Métodos Matemáticos I: Inversas-trigonometricas-e-hiperbolicas.pdf

3 páginas

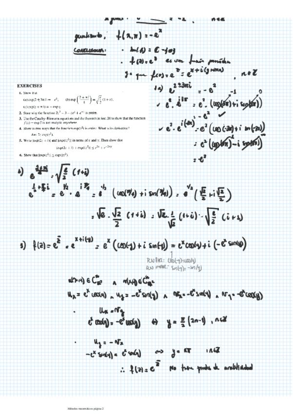
He publicado nuevos apuntes de 1º Métodos Matemáticos I: Exponentes-complejos.pdf

2 páginas

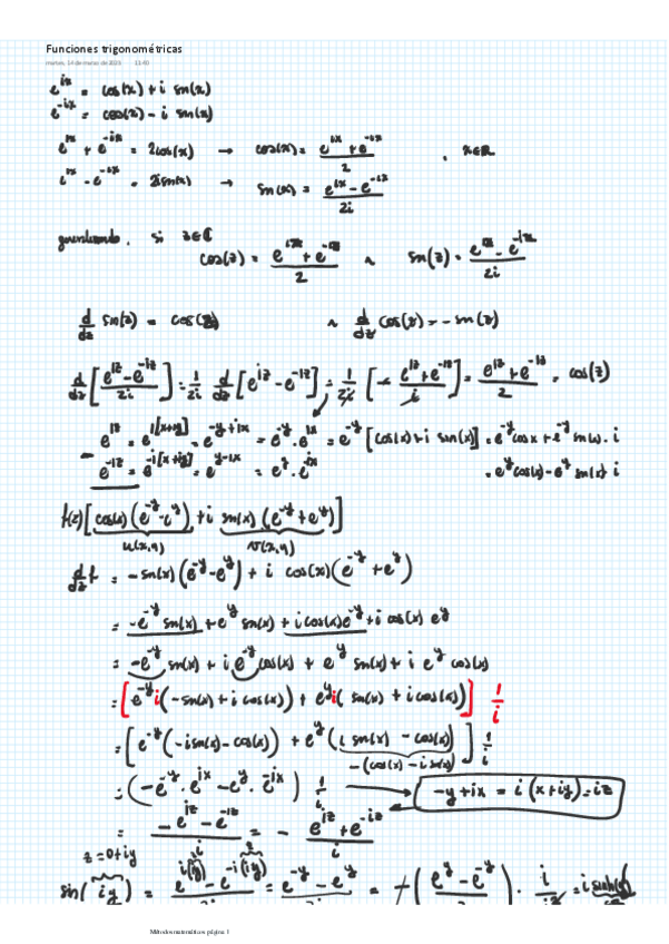
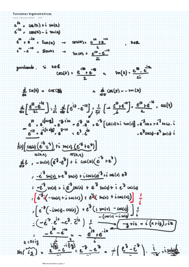
He publicado nuevos apuntes de 1º Métodos Matemáticos I: Funciones-trigonometricas.pdf

3 páginas

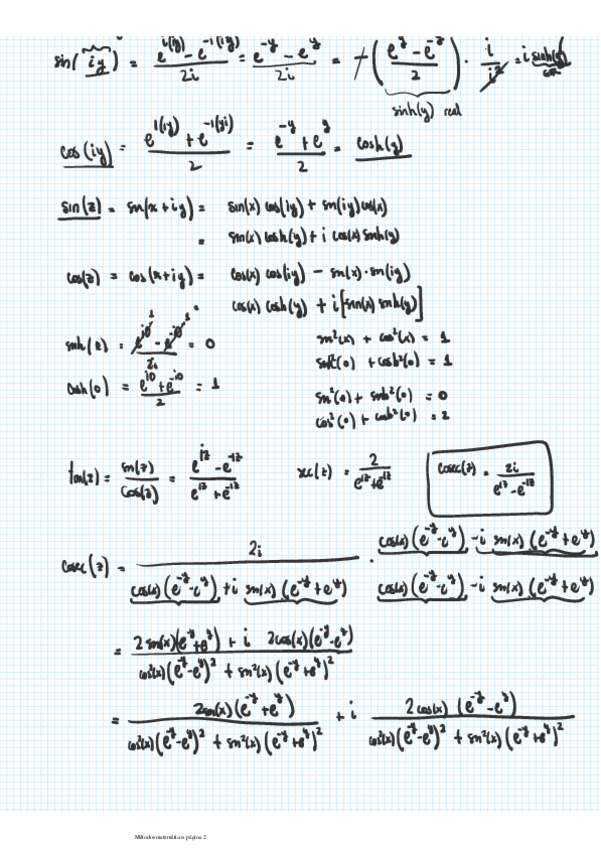
He publicado nuevos apuntes de 1º Métodos Matemáticos I: Funciones-hiperbolicas.pdf

2 páginas

He publicado nuevos apuntes de 1º Métodos Matemáticos I: Funciones-armonicas.pdf

5 páginas

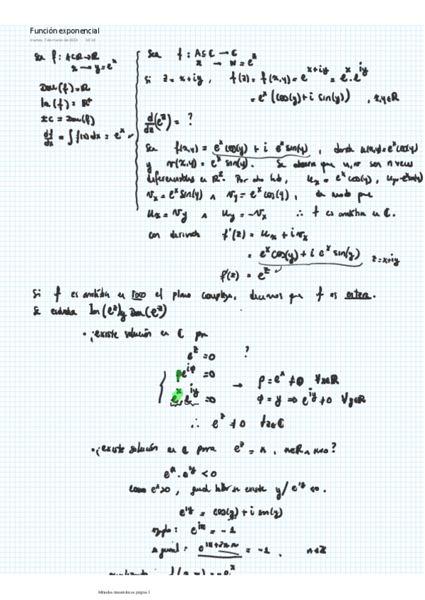
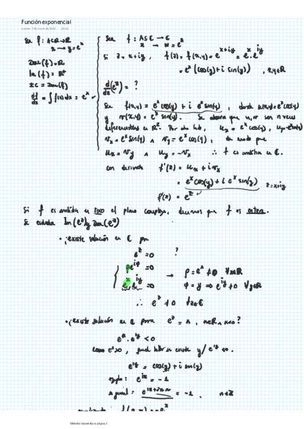
He publicado nuevos apuntes de 1º Métodos Matemáticos I: Funcion-exponencial.pdf

3 páginas

He publicado nuevos apuntes de 1º Métodos Matemáticos I: hekate-academyVC.pdf

54 páginas

He publicado nuevos apuntes de 1º Métodos Matemáticos I: diagrama-de-fases.pdf

8 páginas

He publicado nuevos apuntes de 1º Métodos Matemáticos I: Excelente-Formulario-de-Calculo-y-EDO.pdf

21 páginas

He publicado nuevos apuntes de 1º Métodos Matemáticos I: Apuntes-complejos-y-EDOs.pdf

43 páginas

He publicado nuevos apuntes de 1º Métodos Matemáticos I: Resumen-Temario-Completo.pdf

136 páginas

He publicado nuevos apuntes de 1º Métodos Matemáticos I: RESUMEN-ecuaciones-diferenciales.pdf

23 páginas

He publicado nuevos apuntes de 1º Métodos Matemáticos I: RESUMEN-variable-compleja.pdf

12 páginas

apuntes

-

Apuntes completos complejos y EDOS

He publicado nuevos apuntes de 1º Métodos Matemáticos I: Apuntes completos complejos y EDOS

T5.pdf
T4.pdf
T9.pdf
CAPITULO-2.pdf
T10.pdf
T8.pdf

examenes

-

Exámenes y soluciones desde el 2001

He publicado nuevos examenes de 1º Métodos Matemáticos I: Exámenes y soluciones desde el 2001

Métodos Matemáticos I.pdf
Miniatura no disponible
METMATI-FÍSICA-UNED-2012S2.pdf
METMATI-FÍSICA-UNED-2011J2.pdf
Miniatura no disponible
METMATI-FÍSICA-UNED-2012J2.pdf
Miniatura no disponible
METMATI-FÍSICA-UNED-2012S1.pdf
METMATI-FÍSICA-UNED-2011J1.pdf
¡Estás al día!

¡Estás al día!

Has visto todos los archivos