chevron_left
chevron_right
Todo
Apuntes
Ejercicios
Exámenes
Prácticas
Test
Trabajos
chevron_left
chevron_right

He publicado nuevos practicas de 1º Métodos Matemáticos I: Test-Practica-4.pdf

4 páginas

He publicado nuevos practicas de 1º Métodos Matemáticos I: Test-Practica-4.pdf

4 páginas

He publicado nuevos practicas de 1º Métodos Matemáticos I: Test-Practica-3.pdf

5 páginas

He publicado nuevos practicas de 1º Métodos Matemáticos I: Test-Practica-2.pdf

7 páginas

He publicado nuevos practicas de 1º Métodos Matemáticos I: Test-Practica-1.pdf

5 páginas

He publicado nuevos test de 1º Métodos Matemáticos I: Test-Variable-Compleja.pdf

5 páginas

Teoría y fórmulas de las transformadas

5 páginas

TODO lo necesario para integrar complejos

4 páginas

Fórmulas NECESARIAS para representar y calcular con complejos.

2 páginas

Fórmulas más importantes de EDOs y Laplace

2 páginas

He publicado nuevos examenes de 1º Métodos Matemáticos I: Examen-2025-EDO.pdf

2 páginas

He publicado nuevos examenes de 1º Métodos Matemáticos I: Examenes-Resueltos-Metodos.pdf

8 páginas

He publicado nuevos ejercicios de 1º Métodos Matemáticos I: Ejercicios-EDO-y-Laplace.pdf

10 páginas

He publicado nuevos apuntes de 1º Métodos Matemáticos I: RESUMEN-TRANSFORMADA-LAPLACE-MMAT1.pdf

Miniatura no disponible
2 páginas

He publicado nuevos apuntes de 1º Métodos Matemáticos I: RESUMEN-EDOS-MMAT1.pdf

Miniatura no disponible
2 páginas

He publicado nuevos apuntes de 1º Métodos Matemáticos I: Apuntes-Transformada-Laplace.pdf

12 páginas

He publicado nuevos apuntes de 1º Métodos Matemáticos I: Apuntes-EDO.pdf

18 páginas

Parcial de variable compleja, examen tipo A

10 páginas

Parcial de variable compleja, examen tipo B

10 páginas

He publicado nuevos ejercicios de 1º Métodos Matemáticos I: Ejercicios-MM-Parciales-resueltos.pdf

10 páginas

He publicado nuevos apuntes de 1º Métodos Matemáticos I: Complejos-RESUMENES-TODO.pdf

10 páginas

He publicado nuevos practicas de 1º Métodos Matemáticos I: P3MetodosMatematicos.pdf

2 páginas

He publicado nuevos examenes de 1º Métodos Matemáticos I: 2º Parcial - Variable Compleja (2024).pdf

1 página

He publicado nuevos apuntes de 1º Métodos Matemáticos I: Tema-3.pdf

4 páginas

He publicado nuevos practicas de 1º Métodos Matemáticos I: P2MetodosMatematicos.pdf

5 páginas

He publicado nuevos practicas de 1º Métodos Matemáticos I: P5 (Derivación e Integración Compleja).pdf

19 páginas

He publicado nuevos practicas de 1º Métodos Matemáticos I: P4 (Plots Complejos).pdf

31 páginas

He publicado nuevos practicas de 1º Métodos Matemáticos I: P3 (Variable Compleja).pdf

18 páginas

He publicado nuevos practicas de 1º Métodos Matemáticos I: P1 (Conceptos Básicos).pdf

14 páginas

He publicado nuevos apuntes de 1º Métodos Matemáticos I: EXAMEN-Practica-2-CODIGOS.pdf

7 páginas

He publicado nuevos apuntes de 1º Métodos Matemáticos I: EXAMEN-Practica-2.pdf

4 páginas

He publicado nuevos apuntes de 1º Métodos Matemáticos I: Tema-2.pdf

5 páginas

He publicado nuevos practicas de 1º Métodos Matemáticos I: P1MetodosMatematicos.pdf

2 páginas

He publicado nuevos apuntes de 1º Métodos Matemáticos I: Tema 1 - Métodos matemáticos I.pdf

7 páginas

He publicado nuevos apuntes de 1º Métodos Matemáticos I: Tema-1-Metodos-Matematicos-I.pdf

6 páginas

SON LAS DIAPOS DE CLASE CON APUNTES (EJERCICIOS RESUELTOS, ANOTACIONES IMPORTANTES, DEMOS, ETC)

16 páginas

SON LAS DIAPOS DE CLASE CON APUNTES (EJERCICIOS RESUELTOS, ANOTACIONES IMPORTANTES, DEMOS, ETC)

28 páginas

SON LAS DIAPOS DE CLASE CON APUNTES (EJERCICIOS RESUELTOS, ANOTACIONES IMPORTANTES, DEMOS, ETC)

33 páginas

SON LAS DIAPOS DE CLASE CON APUNTES (EJERCICIOS RESUELTOS, ANOTACIONES IMPORTANTES, DEMOS, ETC)

53 páginas

He publicado nuevos apuntes de 1º Métodos Matemáticos I: M.M.1-teoria-parte-1.docx

word

He publicado nuevos apuntes de 1º Métodos Matemáticos I: Transformada-de-Laplace.pdf

5 páginas

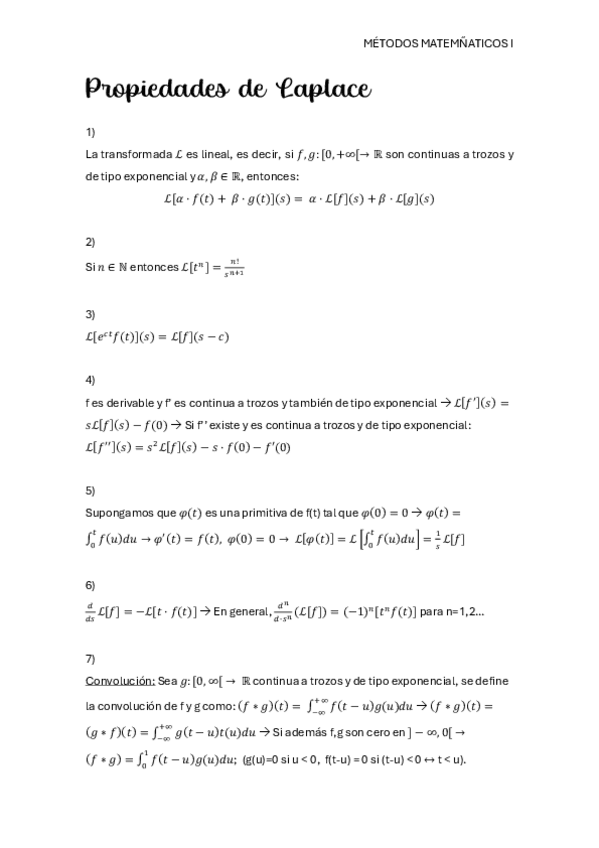
He publicado nuevos apuntes de 1º Métodos Matemáticos I: Propiedades-de-Laplace.pdf

2 páginas

He publicado nuevos apuntes de 1º Métodos Matemáticos I: Ecuaciones-diferenciales-ordinarias.pdf

7 páginas

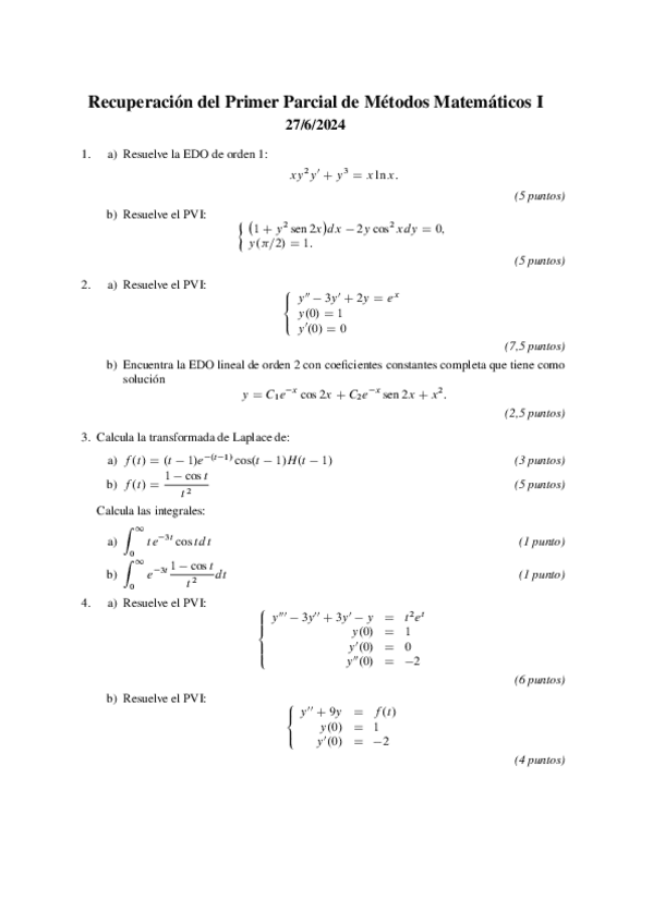
He publicado nuevos examenes de 1º Métodos Matemáticos I: Recuperación EDOs y T. de Laplace.pdf

10 páginas

He publicado nuevos apuntes de 1º Métodos Matemáticos I: FIC-y-Caminos-a-trozos.-Integrales-con-variable-Compleja.pdf

3 páginas

He publicado nuevos apuntes de 1º Métodos Matemáticos I: Apartados-3-y-4-ejer-7Integrales.pdf

3 páginas

He publicado nuevos apuntes de 1º Métodos Matemáticos I: Variable Compleja (TODO).pdf

27 páginas

He publicado nuevos examenes de 1º Métodos Matemáticos I: 1º Parcial - EDOs y Transformada de Laplace (2024).pdf

2 páginas

Resumen pasos resolucion de EDOs de orden 2

3 páginas

He publicado nuevos apuntes de 1º Métodos Matemáticos I: Resumen-EDOS-ORDEN-1-ORDEN-2-Y-BERNOUILLI.pdf

8 páginas

He publicado nuevos apuntes de 1º Métodos Matemáticos I: TRANSFORMACIONES-DE-LAPLACE-formulario.pdf

2 páginas

apuntes

-

Bloque 1 - EDO y Laplace(A ORDENADOR)

He publicado nuevos apuntes de 1º Métodos Matemáticos I: Bloque 1 - EDO y Laplace(A ORDENADOR)

Ecuaciones-Diferenciales-Ordinarias-de-orden-1.pdf
Transformadas-de-Laplace.pdf

He publicado nuevos practicas de 1º Métodos Matemáticos I: P2 (EXAMEN POLIFORMAT).pdf

6 páginas

He publicado nuevos practicas de 1º Métodos Matemáticos I: P2 (EDOs y T. de Laplace).pdf

27 páginas

He publicado nuevos apuntes de 1º Métodos Matemáticos I: metodos1-T1-resumen-EDOs.pdf

1 página

He publicado nuevos apuntes de 1º Métodos Matemáticos I: RESUMEN-RESOLUCION-DE-EDOs.pdf

5 páginas

He publicado nuevos apuntes de 1º Métodos Matemáticos I: Ecuaciones-diferenciales-apuntes-a-ordenador.pdf

8 páginas

He publicado nuevos apuntes de 1º Métodos Matemáticos I: Resumen-EDOS.pdf

2 páginas
Anónimo

@Anónimo

He publicado nuevos apuntes de 1º Métodos Matemáticos I: Ecuaciones-Diferenciales-apuntes.pdf

36 páginas

He publicado nuevos apuntes de 1º Métodos Matemáticos I: resumen-general--problemas-importantes-variable-compleja.pdf

25 páginas