Métodos Matemáticos II
ejercicios
-
Ejercicios propuestos resueltos a entregar
He publicado nuevos ejercicios de 2º Métodos Matemáticos II: Ejercicios propuestos resueltos a entregar
ejercicios
-
Relaciones resueltas completas
Relaciones resueltas con aclaraciones y fórmulas
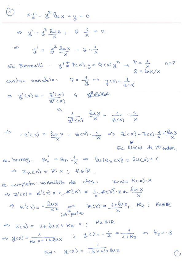
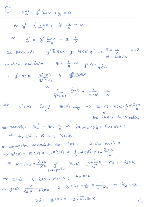
Resumen de cómo resolver ecuaciones diferenciales de primer grado con ejemplos.
INICIO DE CURSO MÉTODOS MATEMÁTICOS II ACADEMIA UNIVERSITARIA FORMACIÓN MANUEL POZO Clases modalidad online y presencial. Todas tus CLASES GRABADAS PARA QUE PUEDAS VISUALIZARLAS HASTA EL DÍA DEL EXAMEN Resolución de todos tus ejercicios y exámenes de convocatorias anteriores. Profesores especialidados y temario propio. Acceso a PLATAFORMA VIRTUAL CON CONTENIDO EXCLUSIVO ¡Solicita tu clase de prueba en grupo sin compromiso!

He publicado nuevos examenes de 2º Métodos Matemáticos II: ordinario-2023.pdf
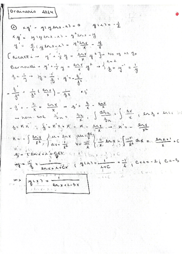
He publicado nuevos examenes de 2º Métodos Matemáticos II: ordinario-2024.pdf
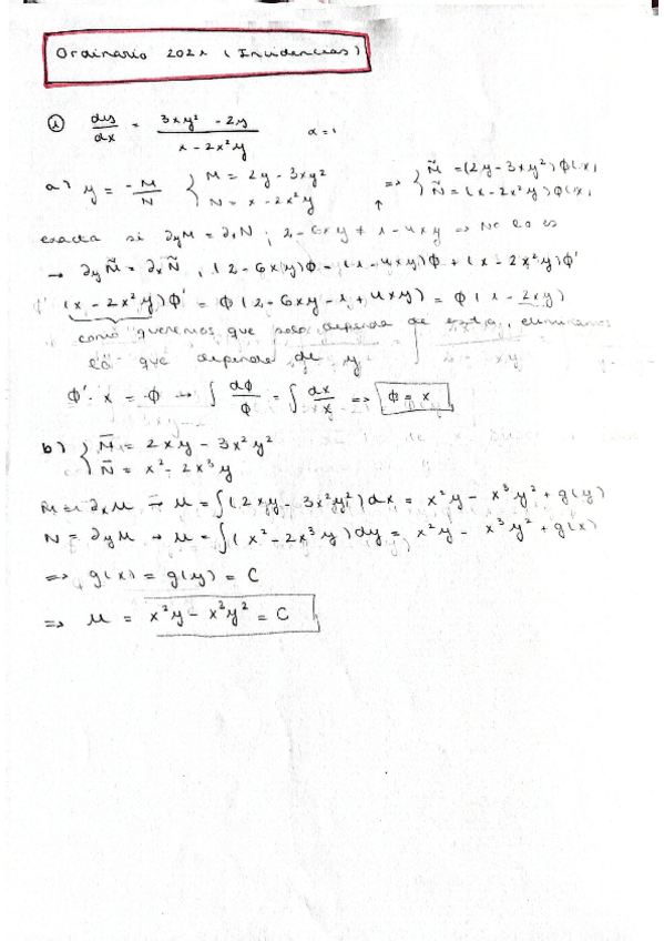
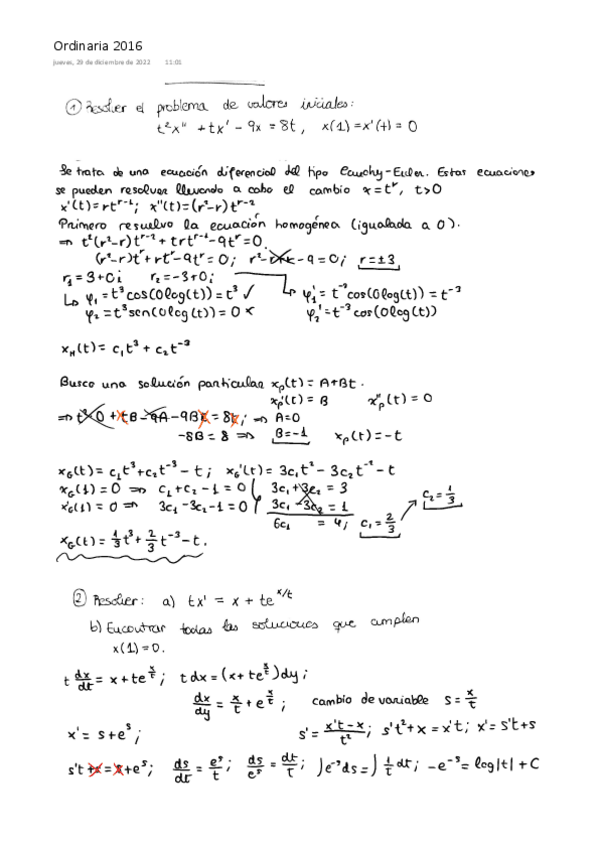
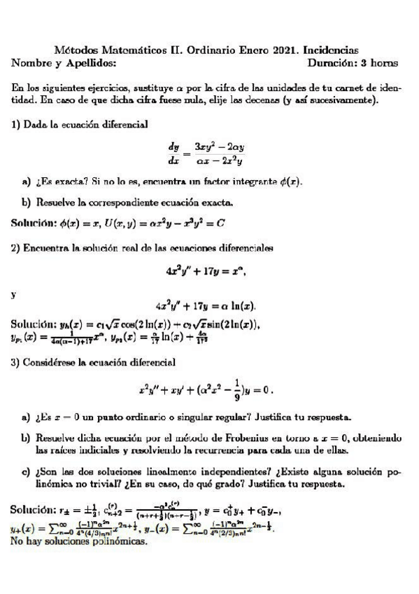
He publicado nuevos examenes de 2º Métodos Matemáticos II: Ordinario-2021.pdf
He publicado nuevos examenes de 2º Métodos Matemáticos II: ordinario-2019.pdf
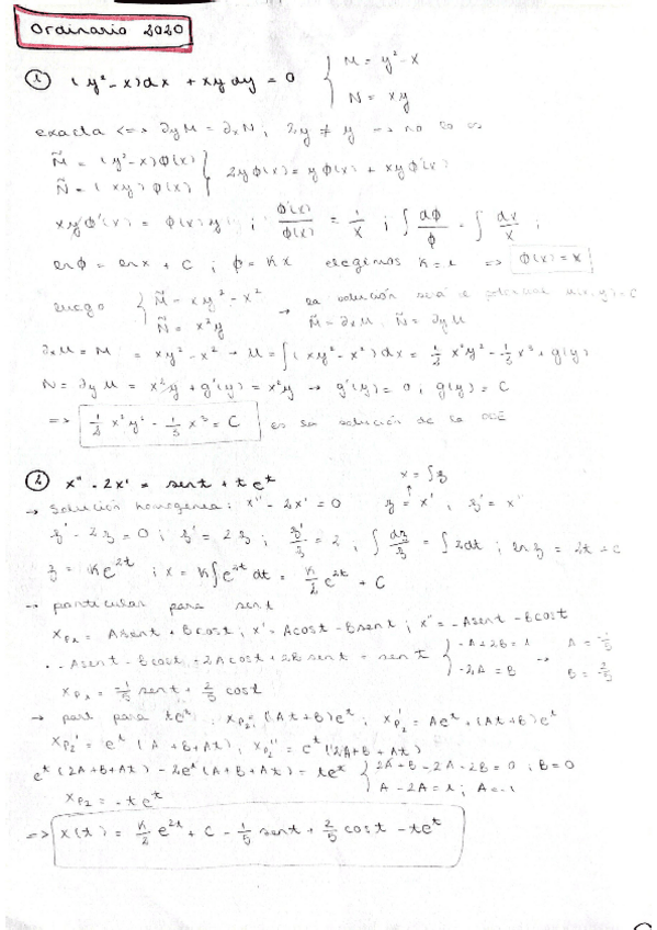
He publicado nuevos examenes de 2º Métodos Matemáticos II: ordinario-2020.pdf
He publicado nuevos examenes de 2º Métodos Matemáticos II: ordinaria-2022.pdf
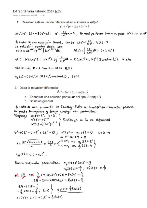
He publicado nuevos examenes de 2º Métodos Matemáticos II: ordinario-2017.pdf
He publicado nuevos examenes de 2º Métodos Matemáticos II: incidencias-2021.pdf
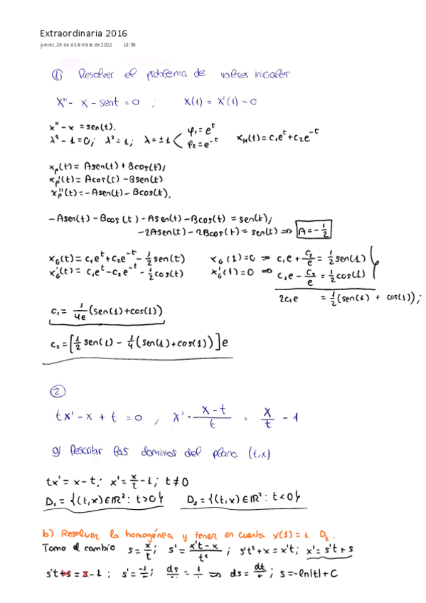
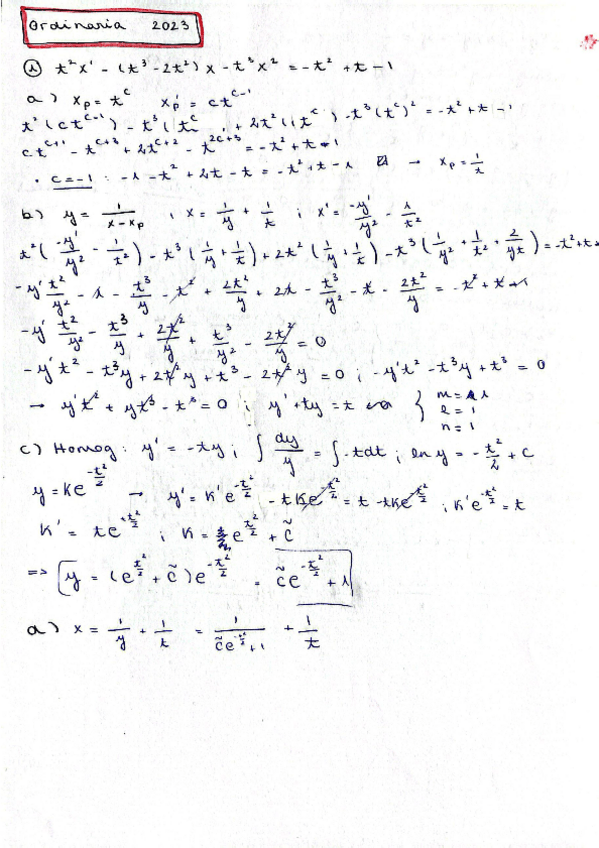
He publicado nuevos examenes de 2º Métodos Matemáticos II: extraordinario-2023.pdf
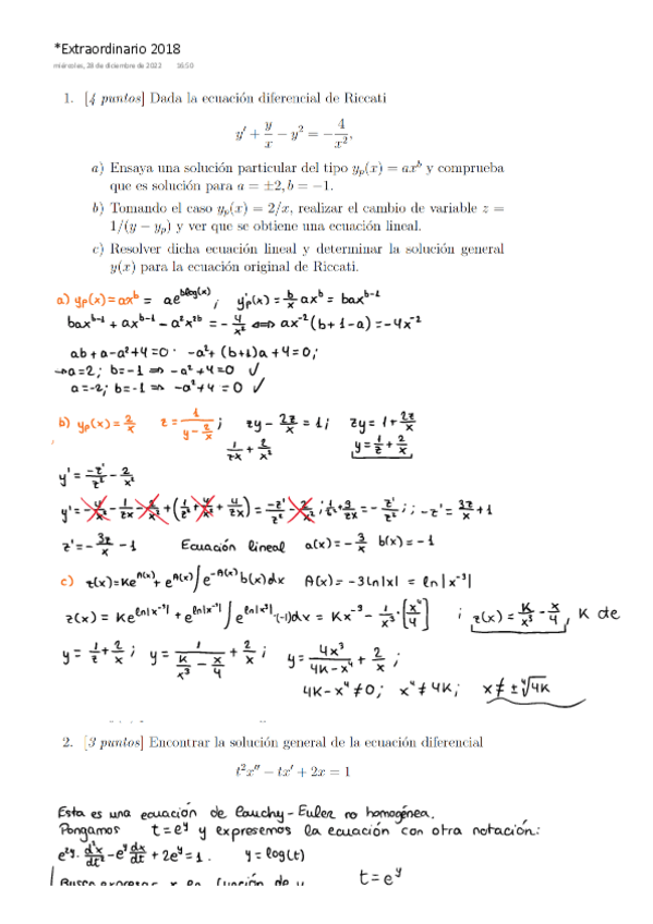
He publicado nuevos examenes de 2º Métodos Matemáticos II: extraordinario-2018.pdf
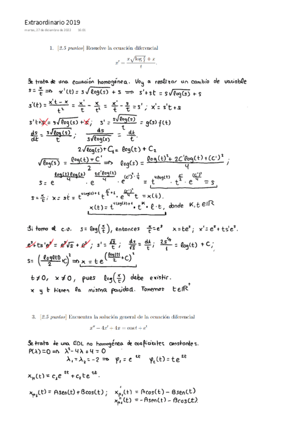
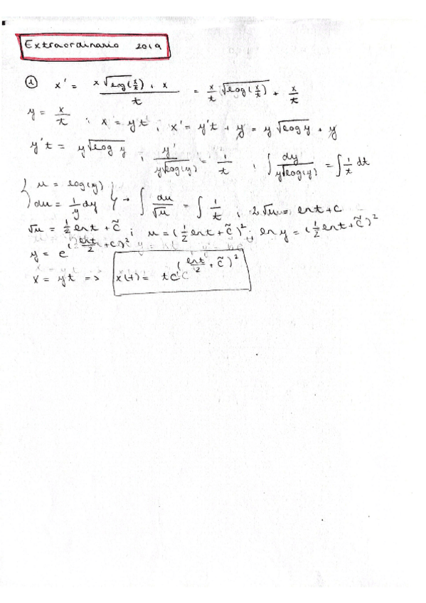
He publicado nuevos examenes de 2º Métodos Matemáticos II: extraordinario-2019.pdf
He publicado nuevos examenes de 2º Métodos Matemáticos II: extraordinaria-2024.pdf
He publicado nuevos ejercicios de 2º Métodos Matemáticos II: exs-Chapter-5.-Hypergeometric-function.pdf
He publicado nuevos ejercicios de 2º Métodos Matemáticos II: exs-Chapter-3.-Power-Series.pdf
He publicado nuevos ejercicios de 2º Métodos Matemáticos II: exs-Chapter-4.-Gamma-and-Beta-function.pdf
He publicado nuevos ejercicios de 2º Métodos Matemáticos II: exs-Chapter-2.-Higher-order-ODES.pdf
He publicado nuevos ejercicios de 2º Métodos Matemáticos II: Exs-Chapter-1.-Ordinary-Differential-Eq.pdf
He publicado nuevos apuntes de 2º Métodos Matemáticos II: Chapter-4.-Gamma-and-Beta-function.pdf
He publicado nuevos apuntes de 2º Métodos Matemáticos II: Chapter-5.-Hypergeometric-function.pdf
He publicado nuevos apuntes de 2º Métodos Matemáticos II: Chapter-2.-Higher-order-ODES.pdf
He publicado nuevos apuntes de 2º Métodos Matemáticos II: Chapter-3.-Powe-Series.pdf
He publicado nuevos apuntes de 2º Métodos Matemáticos II: Chapter-1.-Ordinary-Diff.-Eq..pdf
Son los enunciados del examen de febrero reescritos a Latex
He publicado nuevos apuntes de 2º Métodos Matemáticos II: Resumen-temario-para-la-ordinariaMM2-corregido.pdf
He publicado nuevos apuntes de 2º Métodos Matemáticos II: Tema-1-resumen-formulario-ordinary-dif.pdf
He publicado nuevos apuntes de 2º Métodos Matemáticos II: Tema-3-resumen-formulario-odes-by-powe.pdf
He publicado nuevos apuntes de 2º Métodos Matemáticos II: Tema-2-resumen-formulario-higher-order.pdf
He publicado nuevos ejercicios de 2º Métodos Matemáticos II: Relacion-tema-4-gamma-function.pdf
He publicado nuevos ejercicios de 2º Métodos Matemáticos II: Relacion-5-hipergeometrica-y-Bessel.pdf
He publicado nuevos examenes de 2º Métodos Matemáticos II: Examenes-resueltos.pdf
He publicado nuevos examenes de 2º Métodos Matemáticos II: Examen-ordinario-2025.pdf
apuntes
-
métodos matemáticos ii
He publicado nuevos apuntes de 2º Métodos Matemáticos II: métodos matemáticos ii
He publicado nuevos apuntes de 2º Métodos Matemáticos II: Formulario-Completo-MM2.pdf
He publicado nuevos apuntes de 2º Métodos Matemáticos II: Resumen-Todos-los-temas.pdf
He publicado nuevos apuntes de 2º Métodos Matemáticos II: Chapter-1-First-Order-ODEs.pdf
He publicado nuevos apuntes de 2º Métodos Matemáticos II: Chapters-4-and-5 Special-functions.pdf
He publicado nuevos apuntes de 2º Métodos Matemáticos II: Apuntes-completos-MMII.pdf
ejercicios
-
Relaciones de ejercicios tema 1,3,4,6
He publicado nuevos ejercicios de 2º Métodos Matemáticos II: Relaciones de ejercicios tema 1,3,4,6
He publicado nuevos ejercicios de 2º Métodos Matemáticos II: Ejercicios-tema-1-MMII.pdf
He publicado nuevos apuntes de 2º Métodos Matemáticos II: Resumen-First-Order-ODEs.pdf
apuntes
-
APUNTES TODOS LOS TEMAS
He publicado nuevos apuntes de 2º Métodos Matemáticos II: APUNTES TODOS LOS TEMAS
He publicado nuevos apuntes de 2º Métodos Matemáticos II: Resumen-todos-los-temas.pdf
He publicado nuevos ejercicios de 2º Métodos Matemáticos II: Ejercicios-derivadas-parciales.pdf
He publicado nuevos examenes de 2º Métodos Matemáticos II: examen-MMII-enero2024-soluciones.pdf
He publicado nuevos apuntes de 2º Métodos Matemáticos II: resumen-examen.pdf
He publicado nuevos ejercicios de 2º Métodos Matemáticos II: Relación 2 - Orden superior y sistemas (explicados).pdf
He publicado nuevos ejercicios de 2º Métodos Matemáticos II: Relación 1 - EDOs 1er orden (explicados).pdf
apuntes
-
RESÚMENES MÉTODOS II
He publicado nuevos apuntes de 2º Métodos Matemáticos II: RESÚMENES MÉTODOS II
examenes
-
Exámenes resueltos (hasta 2015)
He publicado nuevos examenes de 2º Métodos Matemáticos II: Exámenes resueltos (hasta 2015)
He publicado nuevos ejercicios de 2º Métodos Matemáticos II: Relación Gamma (explicados).pdf
He publicado nuevos ejercicios de 2º Métodos Matemáticos II: Relación 3 - Series de potencias (explicados).pdf
He publicado nuevos ejercicios de 2º Métodos Matemáticos II: relresueltat2met2.pdf