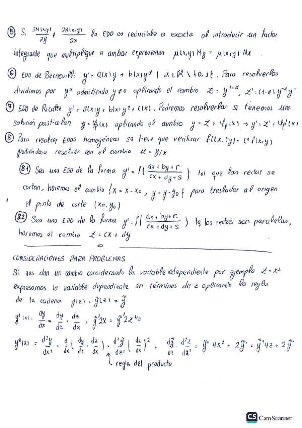
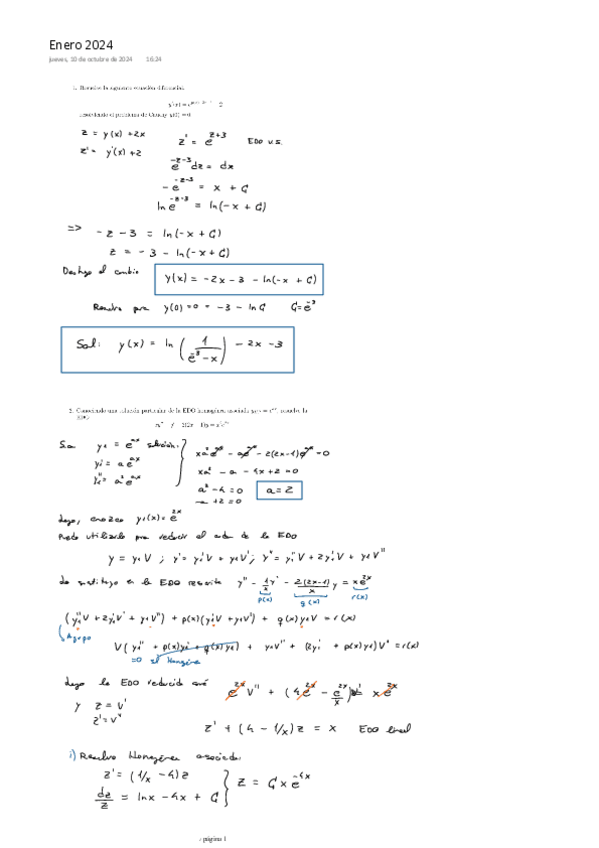
Métodos Matemáticos II

Todo
Apuntes
Ejercicios
Exámenes
publication
chevron_left
chevron_right

He publicado nuevos examenes de 2º Métodos Matemáticos II: examen-3era-convo2425.jpg

Imagen

ejercicios

-

Boletines

He publicado nuevos ejercicios de 2º Métodos Matemáticos II: Boletines

bol6-24-25.pdf
bol5-24-25.pdf
bol4-24-25.pdf
bol3-24-25.pdf
bol2-24-25.pdf
bol1-24-25.pdf

examenes

-

Ejercicios de exámenes

Ejercicios de exámenes tanto del primer como del segundo parcial

Ejercicios-de-examenes-2-parcial-metodos-II.pdf
Ejercicios-de-examenes-1-parcial-metodos-II.pdf

apuntes

-

apuntes

He publicado nuevos apuntes de 2º Métodos Matemáticos II: apuntes

EDOs-de-primer-orden.pdf

He publicado nuevos apuntes de 2º Métodos Matemáticos II: TEMA-2-METODOS-MATEMATICOS-II.pdf

8 páginas

He publicado nuevos apuntes de 2º Métodos Matemáticos II: TEMA-1-METODOS-MATEMATICOS-II.pdf

4 páginas

He publicado nuevos apuntes de 2º Métodos Matemáticos II: REPASO-VARIABLE-COMPLEJA.pdf

4 páginas

apuntes

-

RESÚMENES DE TEORÍA CON EJEMPLOS

He publicado nuevos apuntes de 2º Métodos Matemáticos II: RESÚMENES DE TEORÍA CON EJEMPLOS

Tema-7-Transformadas-y-distribuciones.pdf
Tema-5-Sistemas-de-EDOs.pdf
Tema-2-EDOs-de-Primer-Orden.pdf
Tema-3-EDOs-de-Segundo-Orden.pdf
Tema-4-EDOs-series.pdf

examenes

-

EXÁMENES RESUELTOS

He publicado nuevos examenes de 2º Métodos Matemáticos II: EXÁMENES RESUELTOS

Examenes-resueltos-EDOs-Primer-Orden.pdf
Examenes-resueltos-EDOs-Segundo-Orden.pdf
Examenes-resueltos-EDOs-Series.pdf

ejercicios

-

BOLETINES DE PROBLEMAS RESUELTOS

He publicado nuevos ejercicios de 2º Métodos Matemáticos II: BOLETINES DE PROBLEMAS RESUELTOS

Boletin-Tema-2-EDOs-Primer-Orden.pdf
Boletin-Tema-3-EDOs-Segundo-Orden.pdf
Boletin-Tema-4-EDOs-Series.pdf
Boletin-Tema-5-Sistemas-de-EDOs.pdf
Boletin-Tema-6-Espacios-de-Hilbert-Series-de-Fourier.pdf
Boletin-Tema-7-Transformadas-y-distribuciones.pdf

apuntes

-

APUNTES Y EJERCICIOS RESUELTOS EN CLASE

He publicado nuevos apuntes de 2º Métodos Matemáticos II: APUNTES Y EJERCICIOS RESUELTOS EN CLASE

Tema-1-Introduccion-y-definiciones-previas.pdf
Tema-2-EDOs-Primer-Orden-parte-1.pdf
Tema-2-EDOs-Primer-Orden-parte-2.pdf
Tema-3-EDOs-Segundo-Orden.pdf
Tema-4-EDOs-Series.pdf
Tema-5-Sistemas-de-EDOs.pdf

He publicado nuevos examenes de 2º Métodos Matemáticos II: Segundo-Parcial-2025.pdf

1 página

examenes

-

Repaso EXAMEN 1º Cuatri EDO y FROBENIUS

Resumen perfecto para convocatoria del primer cuatri de MMII

EDO.1o-Orden.pdf
EDO.2o-Orden.pdf
Frobenius.pdf

apuntes

-

Apuntes transformadas y distribuciones

Dividido en dos porque si no puede que no te deje descargártelo con la versión gratuita

Apuntes-Transformadas-y-Distribuciones-parte-1.pdf
Apuntes-Transformadas-y-Distribuciones-parte-2.pdf

apuntes

-

Apuntes tema Hilbert

Dividido en dos partes porque si no con la versión gratis no te deja descargártelo

Apuntes-Hilbert-parte-1.pdf
Apuntes-Hilbert-parte-2.pdf

He publicado nuevos apuntes de 2º Métodos Matemáticos II: Resumen-tema-7.pdf

4 páginas

He publicado nuevos apuntes de 2º Métodos Matemáticos II: Resolucion-de-sistemas-de-EDOs.pdf

2 páginas

He publicado nuevos ejercicios de 2º Métodos Matemáticos II: Ejercicios-sistemas-de-EDOs.pdf

5 páginas

buenas, me podríais recomendar bibliografía para estudiar el segundo cuatri de métodos matemáticos II( series de fourier, transformada de fourier y laplace....).

buenas, me podríais recomendar bibliografía para estudiar el segundo cuatri de métodos matemáticos II( series de fourier, transformada de fourier y laplace....)

Ejercicios transformadas EDP resueltos con comentarios

7 páginas

Boletín V MMII Transformadas

10 páginas

apuntes

-

Apuntes de clase temas 1, 2, 3 y 4

Los apuntes del tema 1 y 2 están divididos en 2 documentos porque sino wuolah los consideraba demasiado grandes y solo se podían ver con la versión premium

Apuntes-tema-4.pdf
Apuntes-tema-1-parte-1.pdf
Apuntes-tema-2-completo-puede-que-no-te-deje-abrirlo.pdf
Apuntes-tema-21.pdf
Apuntes-tema-22.pdf
Apuntes-tema-1-completo-puede-que-no-te-deje-abrirlo.pdf

He publicado nuevos apuntes de 2º Métodos Matemáticos II: Tipos-de-EDOs-de-primer-orden-y-como-resolverlas-Tema-1.pdf

2 páginas

He publicado nuevos apuntes de 2º Métodos Matemáticos II: Tipos-de-EDOs-de-orden-superior-y-como-resolverlas-Tema-2.pdf

3 páginas

He publicado nuevos ejercicios de 2º Métodos Matemáticos II: Boletin-tema-2.pdf

12 páginas

He publicado nuevos ejercicios de 2º Métodos Matemáticos II: Boletin-tema-1.pdf

11 páginas

He publicado nuevos apuntes de 2º Métodos Matemáticos II: Como-resolver-EDOs-en-series-de-potencias-Tema-3.pdf

2 páginas

He publicado nuevos examenes de 2º Métodos Matemáticos II: Primer parcial-enero-2025.pdf

1 página

He publicado nuevos apuntes de 2º Métodos Matemáticos II: Ejercicios-metodos-matematicos.pdf

111 páginas

He publicado nuevos examenes de 2º Métodos Matemáticos II: Primer-Subparcial-28-11-2013.pdf

3 páginas

He publicado nuevos examenes de 2º Métodos Matemáticos II: Parcial-Enero-23-24.pdf

5 páginas

He publicado nuevos examenes de 2º Métodos Matemáticos II: 2a-Convocatoria-23-24.pdf

2 páginas

He publicado nuevos examenes de 2º Métodos Matemáticos II: Primer-Subparcial-25-11-2014.pdf

2 páginas

Apuntes completos de todo el primer cuatrimestre con ejemplos y algunos problemas resueltos copiados en clase (Temas 0-3)

134 páginas

He publicado nuevos apuntes de 2º Métodos Matemáticos II: TEMA2.CUADRO-PARA-DIFERENCIAR-TIPO-DE-ECUACION.pdf

1 página

EDOS DE ORDEN SUPERIOR

5 páginas

He publicado nuevos examenes de 2º Métodos Matemáticos II: EXAMENES(VARIADO DE EJERCICIOS).pdf

25 páginas

ejercicios

-

Curso 24/25 problemas y apuntes 1ºer cuatri

Apuntes y ejercicios de clase (Algunos problemas están hechos en los apuntes a modo de ejemplo y el resto están debajo de los enunciados en los pdf de los boletines)

Metodos-tema-2.pdf
MM2Tema-0-y-1.pdf
Tema-3-MMII.pdf
Problemas-bloque-1.pdf
Problemas-bloque-3.pdf
Problemas-bloque-2.pdf

He publicado nuevos apuntes de 2º Métodos Matemáticos II: TEMA1.-CUADRO-PARA-DIFERENCIAR-TIPO-DE-ECUACION.pdf

1 página

He publicado nuevos ejercicios de 2º Métodos Matemáticos II: BOLETINESEJERCICIOS-DE-VARIOS-BOLETINES.pdf

57 páginas

Resumen de EDO de todo el primer cuatrimestre, suficiente y necesario para cubrir la parte teórica de la asignatura

10 páginas

2era conv julio 2024 resuelto MMII

7 páginas

Parcial enero 2024 resuelto MMII

4 páginas

1era conv junio 2024 resuelto MMII

7 páginas

Exámenes sin resolver del curso 2023/2024 incluyendo 3ª conv y algunos ejercicios sueltos de otros años

7 páginas

He publicado nuevos apuntes de 2º Métodos Matemáticos II: Resumen-TEMA-2-EDOs-de-orden-superior.pdf

2 páginas

He publicado nuevos apuntes de 2º Métodos Matemáticos II: TEMA-10-Operadores-Lineales.pdf

12 páginas

ejercicios

-

Examenes y Ejercicios Resueltos

Temas 1-10 incluye boletines y examenes de distintos años resueltos

Ejercicios-Boletines-COMPLETO.pdf
Examenes-Resueltos.pdf

apuntes

-

Apuntes primer cuatri con ejemplos

He publicado nuevos apuntes de 2º Métodos Matemáticos II: Apuntes primer cuatri con ejemplos

T4-Soluciones-en-serie-de-potencias.pdf
T3-EDOs-de-orden-superior.pdf
T2-EDOs-de-primer-orden.pdf
T1-Introduccion.pdf

He publicado nuevos apuntes de 2º Métodos Matemáticos II: Resumen-Tema-1.pdf

3 páginas

Resumen de Teoría 2o Cuatri

He subido un resumen de todos los temas que entran en la segunda parte de la asignatura. Lo que tiene es lo esencial a saber para empezar a hacer problemas (no incluye el tema de operadores lineales)

He publicado nuevos apuntes de 2º Métodos Matemáticos II: 2o-Cuatri.pdf

24 páginas

He publicado nuevos apuntes de 2º Métodos Matemáticos II: Recetario-Latex-T4-Series.pdf

3 páginas

He publicado nuevos apuntes de 2º Métodos Matemáticos II: Apuntes-Latex-T6.-Transformadas-integrales.pdf

3 páginas

He publicado nuevos apuntes de 2º Métodos Matemáticos II: Recetario-Latex-T2-EDOs-primer-orden.pdf

2 páginas

He publicado nuevos apuntes de 2º Métodos Matemáticos II: Recetario-Latex-T3-EDOs-de-orden-superior.pdf

5 páginas

ejercicios

-

Problemas resueltos

He publicado nuevos ejercicios de 2º Métodos Matemáticos II: Problemas resueltos

Boletin-1-enunciados.pdf
Problemas-Boletin-1.pdf
Boletin-2-enunciados.pdf
Problemas-boletin-2.pdf
Problemas-boletin-3.pdf
Boletin-3-enunciados.pdf

apuntes

-

Resúmenes-Formularios Edos

He publicado nuevos apuntes de 2º Métodos Matemáticos II: Resúmenes-Formularios Edos

Resumen-Formulario-EDOS-Orden-superior.pdf
Resumen-Edos-1-orden.pdf

He publicado nuevos apuntes de 2º Métodos Matemáticos II: examenFeb20.pdf

1 página