Metodos Matematicos Iii

chevron_left
chevron_right
Todo
Apuntes
Ejercicios
Exámenes
Otros
publication
Test
Trabajos
chevron_left
chevron_right

examenes

-

EXÁMENES PARA PRACTICAR (SON INVENTADOS, NO DE OTROS AÑOS!!!!)

He publicado nuevos examenes de 3º Metodos Matematicos Iii: EXÁMENES PARA PRACTICAR (SON INVENTADOS, NO DE OTROS AÑOS!!!!)

Examen-3.pdf
Examen-5.pdf
Examen-1.pdf
Examen-2.pdf

He publicado nuevos apuntes de 2º Metodos Matematicos Iii: Boletin-3.2.pdf

3 páginas

He publicado nuevos apuntes de 2º Metodos Matematicos Iii: Boletin-3.1.pdf

2 páginas

Apuntes de clase, con anotaciones

8 páginas

ejercicios

-

Problemas Resueltos

El año 2025-26 fue el primer año de muchos que Fharkad no dio la segunda parte del contenido. Esta carpeta corresponde a los ejercicios de la segunda parte del cuatrimestre.

Tema 4 Problemas-Funciones-de-Green.pdf.pdf
Tema-5-Funciones-de-Green-en-2-dimensiones.pdf
Tema-6.pdf
Tema-7.pdf
Problemas-Temas-4-a-7-Resueltas-a-mano.pdf
Tema 8 Funciones en polares.pdf.pdf

¡Recordad que al examen NO se puede llevar tu propio formulario, sino que el profesor entrega uno realizado por él!

2 páginas

He publicado nuevos apuntes de 3º Metodos Matematicos Iii: MMIII-Elias.pdf

22 páginas

He publicado nuevos apuntes de 2º Metodos Matematicos Iii: Boletin-3.1.pdf

2 páginas

He publicado nuevos apuntes de 2º Metodos Matematicos Iii: Boletin-2.2.pdf

9 páginas

apuntes

-

Apuntes por temas

He publicado nuevos apuntes de 2º Metodos Matematicos Iii: Apuntes por temas

Apuntes-1.pdf
Apuntes-2.pdf
Apuntes-3.pdf
Apuntes-4.pdf
Apuntes-5.pdf
Apuntes-6.pdf

He publicado nuevos examenes de 3º Metodos Matematicos Iii: Corrección clase, Parcial abril 2026; mañanas + tardes.pdf

8 páginas

examenes

-

EXÁMENES ELÍAS (2º CUATRIMESTRE)

He publicado nuevos examenes de 3º Metodos Matematicos Iii: EXÁMENES ELÍAS (2º CUATRIMESTRE)

Parcial-2o-Cuatrimestre-Examen-Metodos-Matematicos-III.pdf
Resolucion-de-Parcial-MM-III-Mananas.pdf
Resolucion-de-Parcial-MM-III-Tardes.pdf

EXAMEN PARCIAL ABRIL (FUNCION DE GREEN Y TRANSFORMADAS DE FOURIER)

Imagen

ejercicios

-

Ejercicios EXTRA Con Solución

He hecho una serie de ejercicios EXTRA a partir de modificaciones de los que nos proporcionó el profesor, para practicar para el examen. Es completamente EXTRA, no hay que entregarlos, ni es necesario hacerlos ni nada por el estilo.

Ejercicios-extra-MM-III.pdf
Ejercicios-resueltos-Primera-Mitad.pdf
Ejercicios-resueltos-Segunda-Mitad.pdf

He publicado nuevos apuntes de 3º Metodos Matematicos Iii: Formulario-MM-III.pdf

2 páginas

He publicado nuevos apuntes de 2º Metodos Matematicos Iii: Resumen-Ecuaciones-Diferenciales.pdf

1 página

He publicado nuevos apuntes de 2º Metodos Matematicos Iii: Conceptos-introductorios.pdf

3 páginas

He publicado nuevos apuntes de 2º Metodos Matematicos Iii: Espacios-normados-y-de-Banach.pdf

2 páginas

todo el bloque de diferenciabilidad

21 páginas

He publicado nuevos apuntes de 2º Metodos Matematicos Iii: Boletin-2.1-MMIII.pdf

5 páginas

He publicado nuevos ejercicios de 2º Metodos Matematicos Iii: tercer-ej.-propuesto.pdf

2 páginas

He publicado nuevos ejercicios de 2º Metodos Matematicos Iii: Segundo-ej.-propuesto.pdf

4 páginas

He publicado nuevos ejercicios de 2º Metodos Matematicos Iii: Primer-ej.-propuesto.pdf

3 páginas

He publicado nuevos apuntes de 2º Metodos Matematicos Iii: T1Generalidades-EDPs.pdf

4 páginas

He publicado nuevos ejercicios de 2º Metodos Matematicos Iii: Boletin-1.pdf

4 páginas

ejercicios

-

Relaciones resueltas

Los problemas resueltos excepto los más teóricos (demostraciones)

MM3Relacion1.pdf
MM3Relacion4.pdf
MM3Relacion2.pdf
MM3Relacion5.pdf
MM3Relacion3.pdf

Resumen de casi toda la asignatura

30 páginas

Tema 6 esquematizado con lo más importante para los ejercicios

1 página

Tipos de ejercicios descritos y como resolverlos

2 páginas

Relación del tema 6 resuelta + Tipos de ejercicios del tema

5 páginas

Relación del tema 3 resuelta + Tipos de ejercicios del tema

10 páginas

Relación del tema 4 resuelta + Tipos de ejercicios del tema

4 páginas

Relación del tema 2 resuelta + Tipos de ejercicios del tema

12 páginas

Relación del tema 1 resuelta + Tipos de ejercicios del tema

13 páginas

Relación resuelta del tema 0

9 páginas

He publicado nuevos examenes de 2º Metodos Matematicos Iii: Examen-resuelto-segundo-parcial.pdf

1 página

He publicado nuevos examenes de 2º Metodos Matematicos Iii: EXAMEN-12-01-2024.jpeg

Imagen

He publicado nuevos apuntes de 3º Metodos Matematicos Iii: TABLA-TRANSFORMADAS-DE-FOURIER.pdf

2 páginas

He publicado nuevos examenes de 3º Metodos Matematicos Iii: EXAMEN-ORDINARIO-METODOS-MATEMATICOS-III-2025-26.pdf

1 página

He publicado nuevos examenes de 3º Metodos Matematicos Iii: Compilacion-de-examenes.pdf

44 páginas

ejercicios

-

Boletines

He publicado nuevos ejercicios de 2º Metodos Matematicos Iii: Boletines

Boletin-2-mm3.pdf
Boletin-1-mm3.pdf

ejercicios

-

Entregas

He publicado nuevos ejercicios de 2º Metodos Matematicos Iii: Entregas

Entrega-1.pdf
Entrega-2.pdf
Entrega-3.pdf
Entrega-4.pdf
Entrega-5.pdf

apuntes

-

Teoría de MMIII

Apuntes de clase

MMIII.-Tema-1-Ecuaciones-en-derivadas-parciales.-Generalidades-y-clasificacion..pdf
Teoria-mmiii-hasta-tema-2-espacio-L2.pdf

He publicado nuevos apuntes de 2º Metodos Matematicos Iii: Sesion-Adan.pdf

3 páginas

He publicado nuevos apuntes de 2º Metodos Matematicos Iii: Sesion-5.pdf

7 páginas

He publicado nuevos apuntes de 2º Metodos Matematicos Iii: Sesion-3.pdf

3 páginas

He publicado nuevos apuntes de 2º Metodos Matematicos Iii: Sesion-1-y-2.pdf

4 páginas

Resumen del Tema 1 y 2 para examen

12 páginas

He publicado nuevos apuntes de 2º Metodos Matematicos Iii: Tema-2.-Analisis-de-Fourier-y-Espacios-de-Hilbert.pdf

11 páginas

ejercicios

-

Entregas Metodos III

He publicado nuevos ejercicios de 2º Metodos Matematicos Iii: Entregas Metodos III

Entrega-1.pdf
Entrega-2.pdf
Entrega-3.pdf
Entrega-4.pdf
Entrega-5.pdf
Entrega-6.pdf

apuntes

-

Boletines y ejercicios

He publicado nuevos apuntes de 2º Metodos Matematicos Iii: Boletines y ejercicios

Convergencias.pdf
Introduccion-historica.pdf
Mas-Fourier.pdf
Primera-parte-boletin-2.pdf
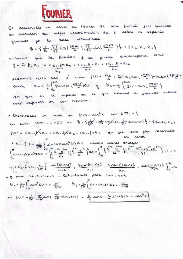
Series-de-Fourier.pdf

He publicado nuevos ejercicios de 2º Metodos Matematicos Iii: Ejercicios-resuletos-relaciones-1-a-5.pdf

61 páginas

He publicado nuevos examenes de 2º Metodos Matematicos Iii: Examenes-resueltos-MMIII.pdf

8 páginas

He publicado nuevos apuntes de 2º Metodos Matematicos Iii: Apuntes-MMIII.pdf

32 páginas

He publicado nuevos ejercicios de 2º Metodos Matematicos Iii: Boletin-1.-Ejercicios-paso-a-paso.pdf

17 páginas

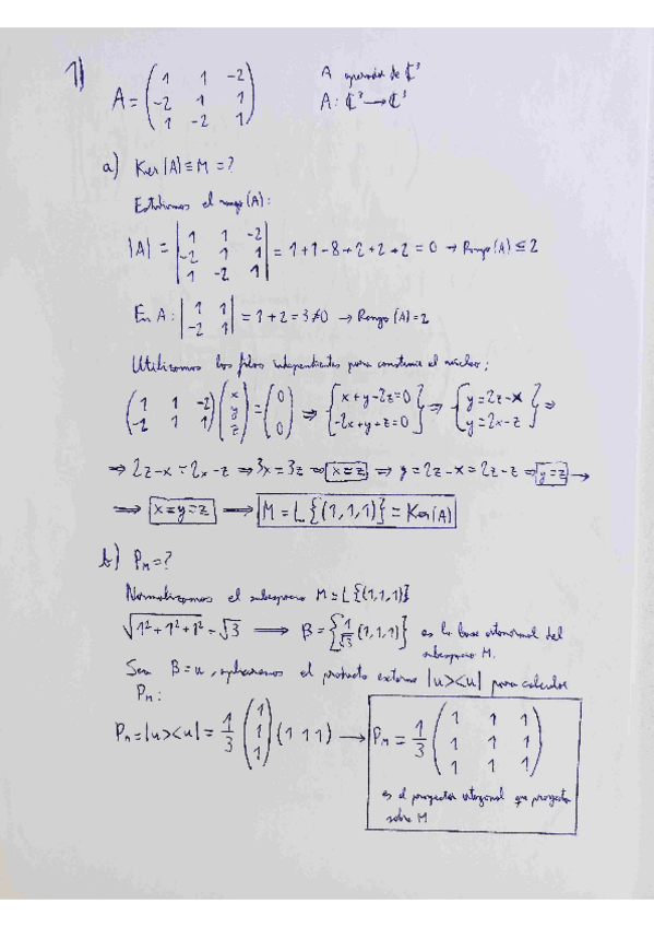
He publicado nuevos ejercicios de 2º Metodos Matematicos Iii: Relacion-5.-Funcionales.pdf

4 páginas

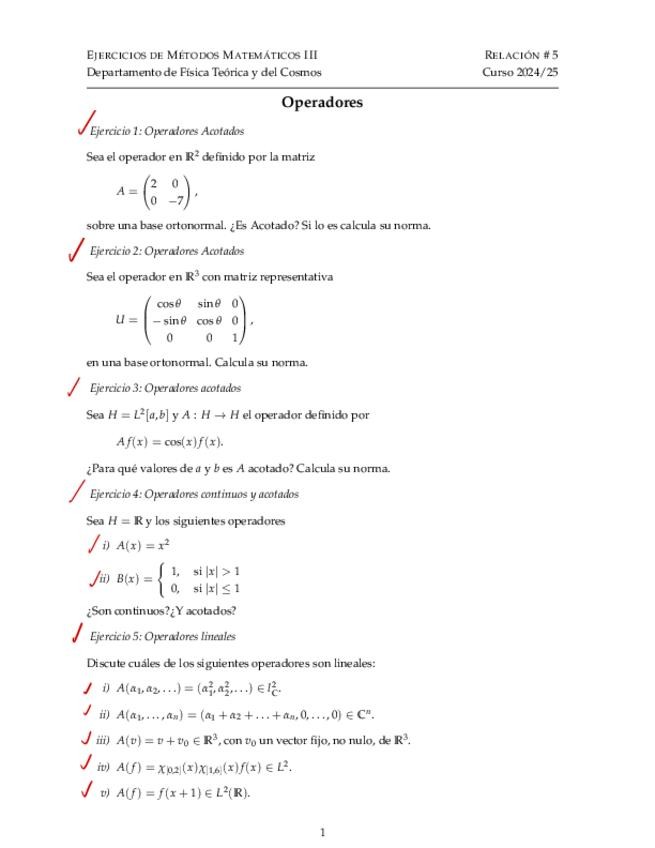
He publicado nuevos ejercicios de 2º Metodos Matematicos Iii: Relacion-4.-Operadores.pdf

11 páginas

He publicado nuevos ejercicios de 2º Metodos Matematicos Iii: Relacion-3.-Funciones.pdf

12 páginas

He publicado nuevos ejercicios de 2º Metodos Matematicos Iii: Relacion-2.-Espacios-de-Hilbert.pdf

16 páginas

He publicado nuevos ejercicios de 2º Metodos Matematicos Iii: Relacion-1.-Espacios-lineales-metricos-y-normados.pdf

5 páginas