Métodos Matemáticos Para la Empresa
Ejercicios resueltos del Tema 5: Teoría de rentas, de Métodos Matemáticos para la Empresa, con problemas representativos del contenido del tema. Incluyen el desarrollo paso a paso y las explicaciones necesarias para entender el procedimiento y preparar el
Ejercicios resueltos del Tema 4: Estudio de algunas operaciones financieras, de Métodos Matemáticos para la Empresa, con problemas representativos del contenido del tema. Incluyen el desarrollo paso a paso y las explicaciones necesarias para entender el p
Ejercicios resueltos del Tema 3: Fundamentos de la matemática financiera, de Métodos Matemáticos para la Empresa, con problemas representativos del contenido del tema. Incluyen el desarrollo paso a paso y las explicaciones necesarias para entender el proc
Ejercicios resueltos del Tema 2: Programación lineal, de Métodos Matemáticos para la Empresa, con problemas representativos del contenido del tema. Incluyen el desarrollo paso a paso y las explicaciones necesarias para entender el procedimiento y preparar
Ejercicios resueltos del Tema 1: La integral de Riemann, de Métodos Matemáticos para la Empresa, con problemas representativos del contenido del tema. Incluyen el desarrollo paso a paso y las explicaciones necesarias para entender el procedimiento y prepa
Ejercicios resueltos completos de Métodos Matemáticos para la Empresa, que abarcan todo el contenido del curso. Incluyen problemas y casos prácticos con su desarrollo paso a paso y explicaciones claras para entenderlos y preparar el examen.
He publicado nuevos ejercicios de 2º Métodos Matemáticos Para la Empresa: ejer-9-y-10-Rentas-matematicas.pdf
Hola a todos 😊 Doy clases particulares de matemáticas, tanto online como presencial. Si necesitáis ayuda con la asignatura, ejercicios o preparación de exámenes, podéis escribirme sin problema al 682 592 493. ¡Gracias!

Modelo examen ordinaria Álgebra lineal
He publicado nuevos apuntes de 1º Métodos Matemáticos Para la Empresa: Modelo-tipo-examen-Algebra-Lineal.pdf
He publicado nuevos examenes de 1º Métodos Matemáticos Para la Empresa: examen-metodos.pdf
He publicado nuevos examenes de 1º Métodos Matemáticos Para la Empresa: examen-metodos-con-soluciones.pdf
He publicado nuevos examenes de 1º Métodos Matemáticos Para la Empresa: examen-final-metodos-matematicos.pdf
He publicado nuevos examenes de 1º Métodos Matemáticos Para la Empresa: examen-final-metodos-matematicos.pdf
He publicado nuevos apuntes de 1º Métodos Matemáticos Para la Empresa: ejercicios-examen-metodos-matematicos.pdf
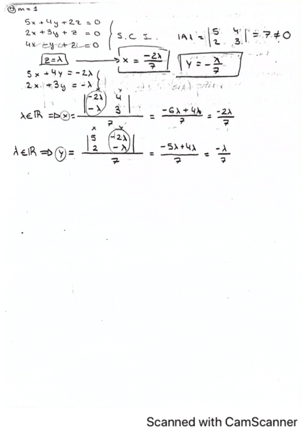
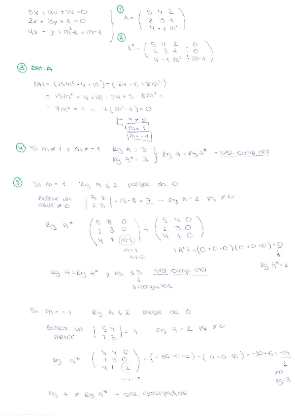
He publicado nuevos apuntes de 1º Métodos Matemáticos Para la Empresa: determinantes-matrices-paso-a-paso.pdf
He publicado nuevos examenes de 1º Métodos Matemáticos Para la Empresa: parcial-metodos-2025.pdf
El examen es de derecho y ade de métodos matemáticas y muchas vecen lo repiten porque es lo mismo
He publicado nuevos examenes de 1º Métodos Matemáticos Para la Empresa: examen-final-ordinario-2024.pdf
He publicado nuevos apuntes de 1º Métodos Matemáticos Para la Empresa: vectores.pdf
He publicado nuevos apuntes de 1º Métodos Matemáticos Para la Empresa: PRIMER-PARCIAL-matrices-y-determinantes.pdf
He publicado nuevos apuntes de 1º Métodos Matemáticos Para la Empresa: Apuntes.pdf
He publicado nuevos apuntes de 1º Métodos Matemáticos Para la Empresa: Parcial.pdf
He publicado nuevos examenes de 1º Métodos Matemáticos Para la Empresa: Examen-Ordinario-22-23.pdf
He publicado nuevos apuntes de 1º Métodos Matemáticos Para la Empresa: Examen-Resuelto.pdf
He publicado nuevos apuntes de 1º Métodos Matemáticos Para la Empresa: Ejercicios-Resueltos.pdf
He publicado nuevos apuntes de 1º Métodos Matemáticos Para la Empresa: Apuntes-Primer-Parcial.pdf
He publicado nuevos apuntes de 1º Métodos Matemáticos Para la Empresa: Examen-Random.pdf
He publicado nuevos examenes de 1º Métodos Matemáticos Para la Empresa: Examenes-otros-anos.pdf
He publicado nuevos apuntes de 1º Métodos Matemáticos Para la Empresa: Ejercicios-de-clase.pdf
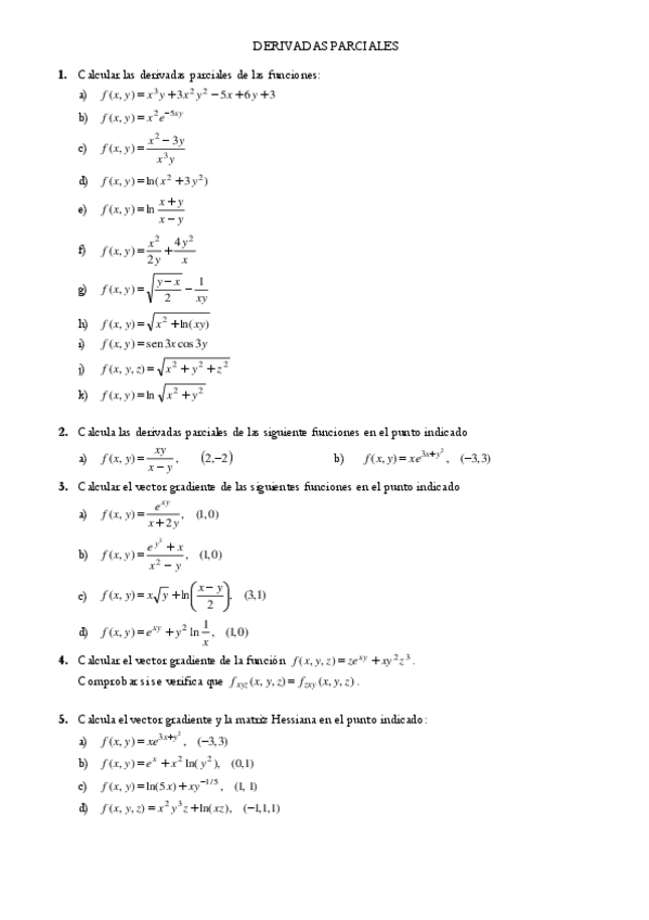
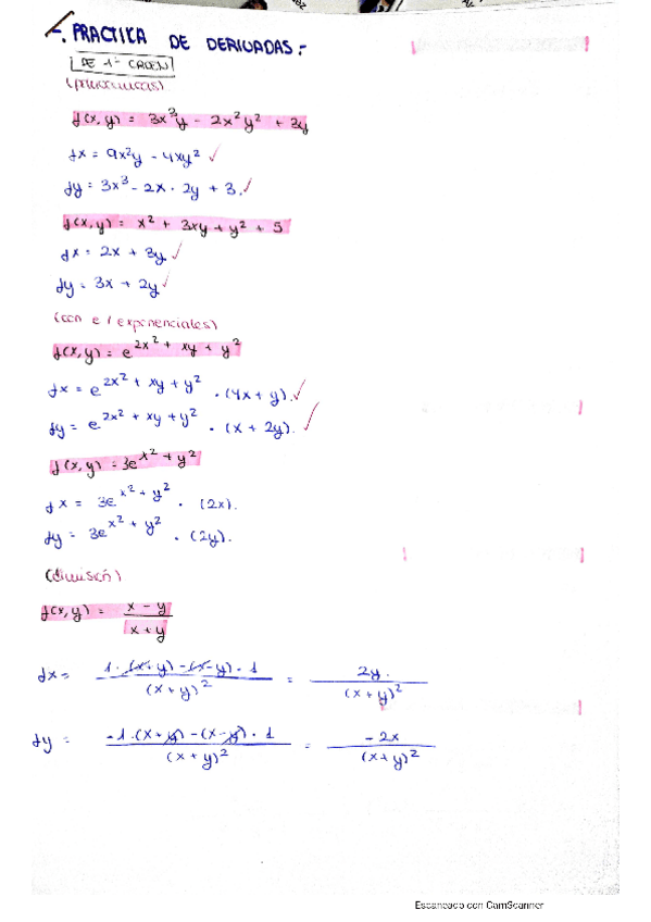
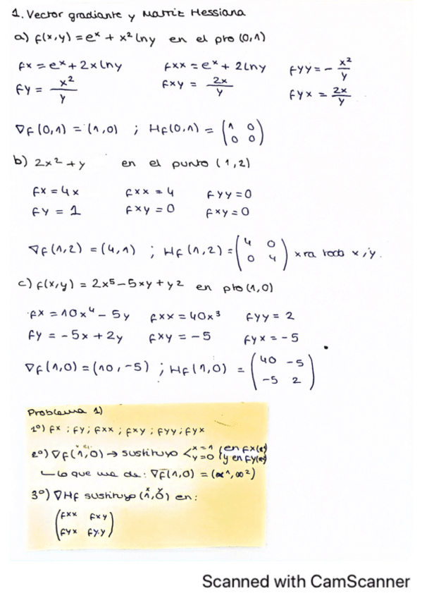
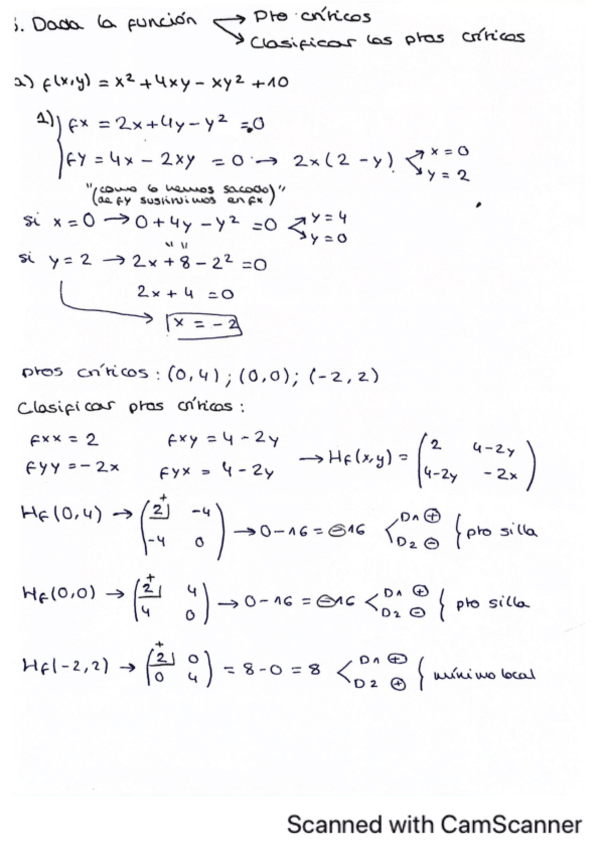
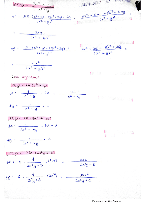
He publicado nuevos apuntes de 1º Métodos Matemáticos Para la Empresa: Ejercicios-resueltos-derivadas-parciales.pdf
He publicado nuevos ejercicios de 1º Métodos Matemáticos Para la Empresa: MATEMATICA-EJERCICIOS-DE-TIPOS-DE-TASAS.pdf
He publicado nuevos examenes de 2º Métodos Matemáticos Para la Empresa: EXAMEN-ENERO-CURSO-23.pdf
He publicado nuevos apuntes de 1º Métodos Matemáticos Para la Empresa: soluciones-ADE-MAYO-24.pdf
He publicado nuevos apuntes de 1º Métodos Matemáticos Para la Empresa: examen-mayo-24.pdf
He publicado nuevos apuntes de 1º Métodos Matemáticos Para la Empresa: examen-resuelto.pdf
He publicado nuevos apuntes de 2º Métodos Matemáticos Para la Empresa: metodos-matematicos-apuntes.pdf
He publicado nuevos examenes de 1º Métodos Matemáticos Para la Empresa: examen-resuelto.pdf
He publicado nuevos apuntes de 1º Métodos Matemáticos Para la Empresa: examen-mayo-2022-ade.pdf
He publicado nuevos examenes de 1º Métodos Matemáticos Para la Empresa: examen-final-ejecicios-algebra-de-matrices.pdf
He publicado nuevos apuntes de 1º Métodos Matemáticos Para la Empresa: examen-resuelto.pdf
He publicado nuevos apuntes de 1º Métodos Matemáticos Para la Empresa: apuntes-matematicas.pdf
He publicado nuevos examenes de 1º Métodos Matemáticos Para la Empresa: examen-2018-preguntas-y-respuestas.pdf
He publicado nuevos examenes de 1º Métodos Matemáticos Para la Empresa: examen-SOLUCIONES.pdf
He publicado nuevos apuntes de 1º Métodos Matemáticos Para la Empresa: soluciones-derivadas-parciales.pdf
He publicado nuevos apuntes de 1º Métodos Matemáticos Para la Empresa: ejercicios-funciones-varias-variables.pdf
He publicado nuevos apuntes de 2º Métodos Matemáticos Para la Empresa: Tema-2-Programacion-lineal.pdf
He publicado nuevos apuntes de 2º Métodos Matemáticos Para la Empresa: Tema-1-La-integral-de-Riemann.pdf
He publicado nuevos apuntes de 2º Métodos Matemáticos Para la Empresa: METODOS-MATEMATICOS.pdf
He publicado nuevos examenes de 2º Métodos Matemáticos Para la Empresa: Examen-parcial.pdf