Métodos Matemáticos Para la Empresa
Hola a todos 😊 Doy clases particulares de matemáticas, tanto online como presencial. Si necesitáis ayuda con la asignatura, ejercicios o preparación de exámenes, podéis escribirme sin problema al 682 592 493. ¡Gracias!

Modelo examen ordinaria Álgebra lineal
He publicado nuevos apuntes de 1º Métodos Matemáticos Para la Empresa: Modelo-tipo-examen-Algebra-Lineal.pdf
He publicado nuevos examenes de 1º Métodos Matemáticos Para la Empresa: examen-metodos.pdf
He publicado nuevos examenes de 1º Métodos Matemáticos Para la Empresa: examen-metodos-con-soluciones.pdf
He publicado nuevos examenes de 1º Métodos Matemáticos Para la Empresa: examen-final-metodos-matematicos.pdf
He publicado nuevos examenes de 1º Métodos Matemáticos Para la Empresa: examen-final-metodos-matematicos.pdf
He publicado nuevos apuntes de 1º Métodos Matemáticos Para la Empresa: ejercicios-examen-metodos-matematicos.pdf
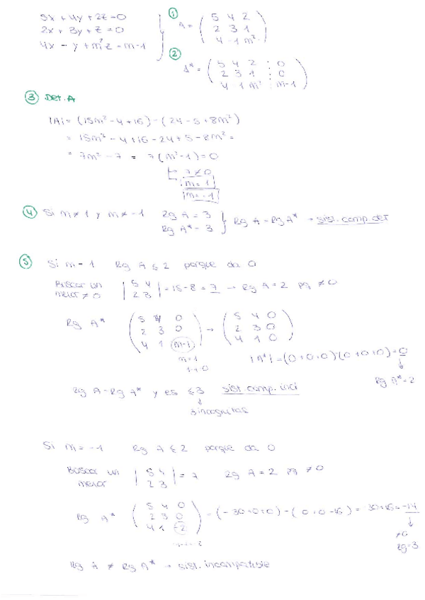
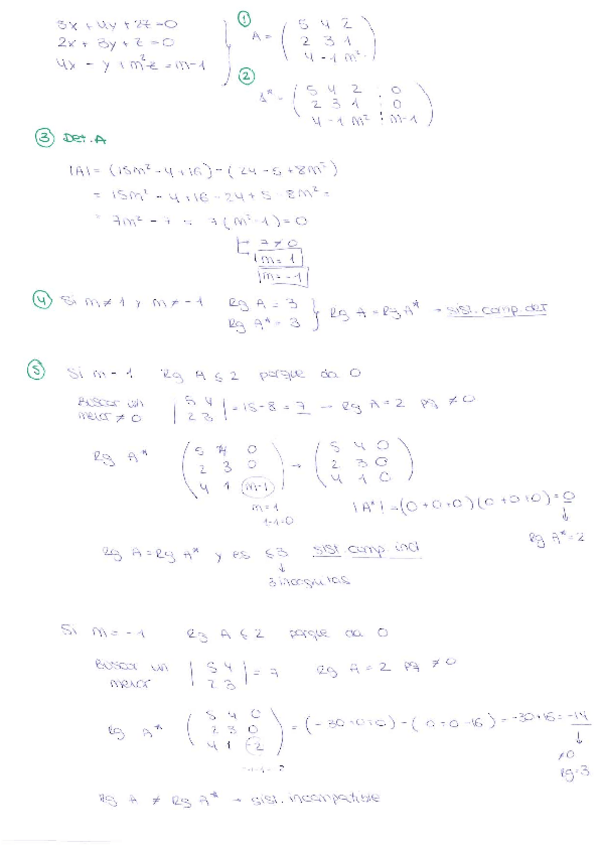
He publicado nuevos apuntes de 1º Métodos Matemáticos Para la Empresa: determinantes-matrices-paso-a-paso.pdf
He publicado nuevos examenes de 1º Métodos Matemáticos Para la Empresa: parcial-metodos-2025.pdf
El examen es de derecho y ade de métodos matemáticas y muchas vecen lo repiten porque es lo mismo
He publicado nuevos examenes de 1º Métodos Matemáticos Para la Empresa: examen-final-ordinario-2024.pdf
He publicado nuevos apuntes de 1º Métodos Matemáticos Para la Empresa: vectores.pdf
He publicado nuevos apuntes de 1º Métodos Matemáticos Para la Empresa: PRIMER-PARCIAL-matrices-y-determinantes.pdf
He publicado nuevos apuntes de 1º Métodos Matemáticos Para la Empresa: Apuntes.pdf
He publicado nuevos apuntes de 1º Métodos Matemáticos Para la Empresa: Parcial.pdf
He publicado nuevos examenes de 1º Métodos Matemáticos Para la Empresa: Examen-Ordinario-22-23.pdf
He publicado nuevos apuntes de 1º Métodos Matemáticos Para la Empresa: Examen-Resuelto.pdf
He publicado nuevos apuntes de 1º Métodos Matemáticos Para la Empresa: Ejercicios-Resueltos.pdf
He publicado nuevos apuntes de 1º Métodos Matemáticos Para la Empresa: Apuntes-Primer-Parcial.pdf
He publicado nuevos apuntes de 1º Métodos Matemáticos Para la Empresa: Examen-Random.pdf
He publicado nuevos examenes de 1º Métodos Matemáticos Para la Empresa: Examenes-otros-anos.pdf
He publicado nuevos apuntes de 1º Métodos Matemáticos Para la Empresa: Ejercicios-de-clase.pdf
He publicado nuevos apuntes de 1º Métodos Matemáticos Para la Empresa: Ejercicios-resueltos-derivadas-parciales.pdf
He publicado nuevos ejercicios de 1º Métodos Matemáticos Para la Empresa: MATEMATICA-EJERCICIOS-DE-TIPOS-DE-TASAS.pdf
He publicado nuevos apuntes de 1º Métodos Matemáticos Para la Empresa: soluciones-ADE-MAYO-24.pdf
He publicado nuevos apuntes de 1º Métodos Matemáticos Para la Empresa: examen-mayo-24.pdf
He publicado nuevos apuntes de 1º Métodos Matemáticos Para la Empresa: examen-resuelto.pdf
He publicado nuevos examenes de 1º Métodos Matemáticos Para la Empresa: examen-resuelto.pdf
He publicado nuevos apuntes de 1º Métodos Matemáticos Para la Empresa: examen-mayo-2022-ade.pdf
He publicado nuevos examenes de 1º Métodos Matemáticos Para la Empresa: examen-final-ejecicios-algebra-de-matrices.pdf
He publicado nuevos apuntes de 1º Métodos Matemáticos Para la Empresa: examen-resuelto.pdf
He publicado nuevos apuntes de 1º Métodos Matemáticos Para la Empresa: apuntes-matematicas.pdf
He publicado nuevos examenes de 1º Métodos Matemáticos Para la Empresa: examen-2018-preguntas-y-respuestas.pdf
He publicado nuevos examenes de 1º Métodos Matemáticos Para la Empresa: examen-SOLUCIONES.pdf
He publicado nuevos apuntes de 1º Métodos Matemáticos Para la Empresa: soluciones-derivadas-parciales.pdf
He publicado nuevos apuntes de 1º Métodos Matemáticos Para la Empresa: ejercicios-funciones-varias-variables.pdf
He publicado nuevos apuntes de 1º Métodos Matemáticos Para la Empresa: CAPITALES-FINANCIEROS-Y-OPERACIONES-FINANCIERAS.pdf
He publicado nuevos apuntes de 1º Métodos Matemáticos Para la Empresa: Las-leyes-financieras-como-criterio-de-proyeccion-de-capitales.pdf
He publicado nuevos examenes de 1º Métodos Matemáticos Para la Empresa: examenes-anos-anteriores.pdf
He publicado nuevos examenes de 1º Métodos Matemáticos Para la Empresa: apuntes-libreta-clase.pdf
ejercicios
-
ejercicios resueltos
He publicado nuevos ejercicios de 1º Métodos Matemáticos Para la Empresa: ejercicios resueltos
He publicado nuevos apuntes de 1º Métodos Matemáticos Para la Empresa: ejercicios-resueltos.pdf
He publicado nuevos examenes de 1º Métodos Matemáticos Para la Empresa: MMADE2020-ordresueltoconcuestiones.pdf
He publicado nuevos apuntes de 1º Métodos Matemáticos Para la Empresa: metodost11.pdf
He publicado nuevos apuntes de 1º Métodos Matemáticos Para la Empresa: metodost10Funciones-compuestas-y-funciones-implicitasresuelto.pdf
He publicado nuevos apuntes de 1º Métodos Matemáticos Para la Empresa: metodost10.pdf
He publicado nuevos apuntes de 1º Métodos Matemáticos Para la Empresa: metodost08.pdf