Métodos Matemáticos para la Física II

chevron_left
chevron_right
Todo
Apuntes
Ejercicios
Exámenes
Otros
chevron_left
chevron_right

Resolucions dels exercicis de la col·lecció realitzats per Albert Ripoll

21 páginas

Apunts Teoria Albert Ripoll (contrast)

100 páginas

He publicado nuevos ejercicios de 2º Métodos Matemáticos para la Física II: prob-metodos-2.pdf

12 páginas

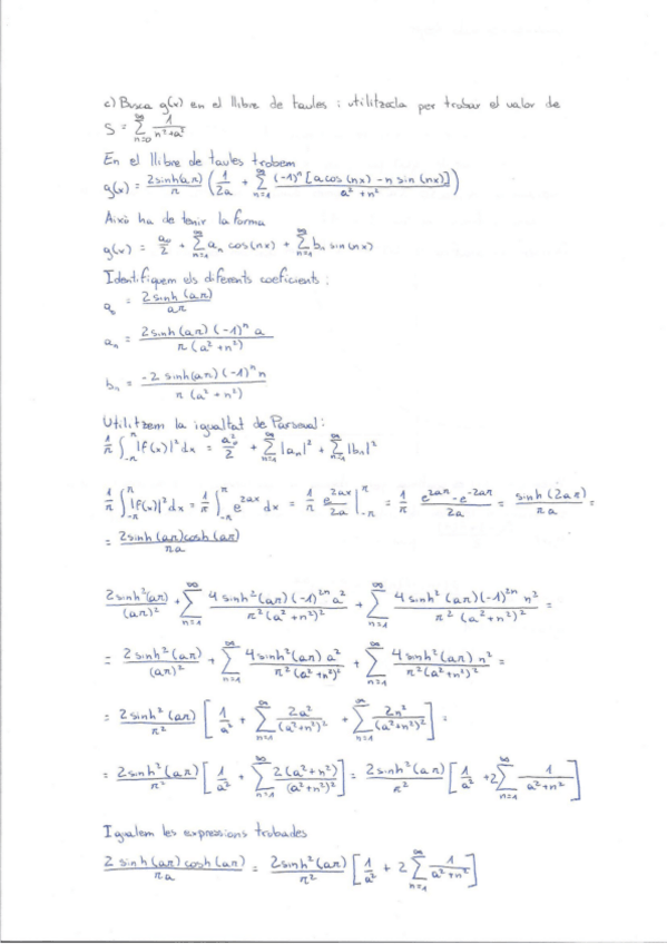
He publicado nuevos ejercicios de 2º Métodos Matemáticos para la Física II: JessicaPeinadoReyesWronskia.pdf

2 páginas

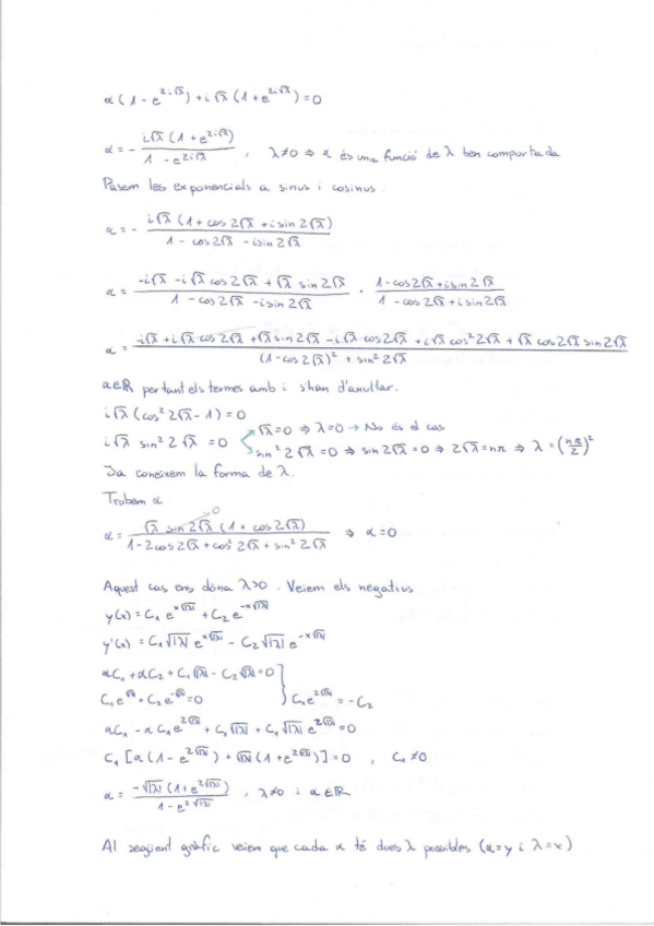
He publicado nuevos ejercicios de 2º Métodos Matemáticos para la Física II: JessicaPeinadoReyesSeparacioVariables.pdf

2 páginas

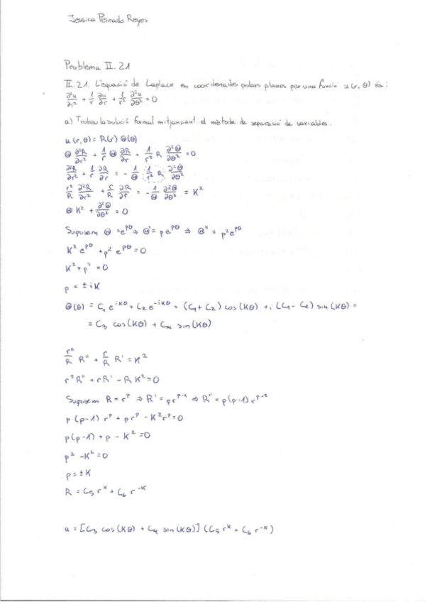
He publicado nuevos ejercicios de 2º Métodos Matemáticos para la Física II: JessicaPeinadoReyesII21.pdf

2 páginas

He publicado nuevos ejercicios de 2º Métodos Matemáticos para la Física II: JessicaPeinadoReyesII13.pdf

3 páginas

He publicado nuevos ejercicios de 2º Métodos Matemáticos para la Física II: JessicaPeinadoReyesII4II6.pdf

6 páginas

He publicado nuevos ejercicios de 2º Métodos Matemáticos para la Física II: JessicaPeinadoReyesI11.pdf

8 páginas

He publicado nuevos ejercicios de 2º Métodos Matemáticos para la Física II: JessicaPeinadoReyesGreen.pdf

1 página

He publicado nuevos apuntes de 2º Métodos Matemáticos para la Física II: MetodesmatematicsperalafisicaII.pdf

9 páginas

Diversos exercicis del curs, alguns de la col·lecció. Escanejat: per defecte.

21 páginas

Diversos exercicis del curs, alguns de la col·lecció. Escanejat: amb augment de contrast.

21 páginas

Contingut: Tot el que s'ha dit a classe.Escanejat: Augment de contrast.

100 páginas

Contingut: Tot el que s'ha dit a classe. Escanejat: Per defecte.

100 páginas

He publicado nuevos otros de 2º Métodos Matemáticos para la Física II: Formulari-Metodes-Matematics-per-a-la-fisica-II.pdf

4 páginas

ejercicios

-

Entregues d'avaluació continuada

He publicado nuevos ejercicios de 2º Métodos Matemáticos para la Física II: Entregues d'avaluació continuada

Albert-Ripoll.pdf
Albert-Ripoll.pdf
Albert-Ripoll.pdf
Albert-Ripoll.pdf
Exercicis-avaluacio-continua.pdf
Exercicis-avaluacio-continua.pdf

He publicado nuevos examenes de 2º Métodos Matemáticos para la Física II: Examen-Juny-2019.pdf

2 páginas

He publicado nuevos apuntes de 2º Métodos Matemáticos para la Física II: Resumen Métodos 2.pdf

44 páginas

He publicado nuevos apuntes de 2º Métodos Matemáticos para la Física II: formulari metodes2.pdf

2 páginas

He publicado nuevos otros de 2º Métodos Matemáticos para la Física II: Formulari Mètodes.pdf

2 páginas

He publicado nuevos otros de 2º Métodos Matemáticos para la Física II: formulari metodes2.pdf

2 páginas
¡Estás al día!

¡Estás al día!

Has visto todos los archivos