Todo
Apuntes
Preguntas
Ejercicios
Exámenes
Prácticas
publication
Test
chevron_left
chevron_right

examenes

-

Exámenes 2016-2026 Con Solución

He publicado nuevos examenes de 2º Métodos Matemáticos: Exámenes 2016-2026 Con Solución

PEI-1-2025-26.pdf
Extraordinario-2024-25.pdf
Ordinario-2024-25.pdf
Parcial-1-2024-25.pdf
Examenes-2023-24.pdf
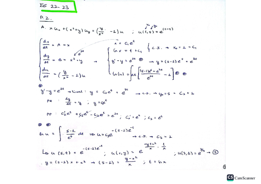
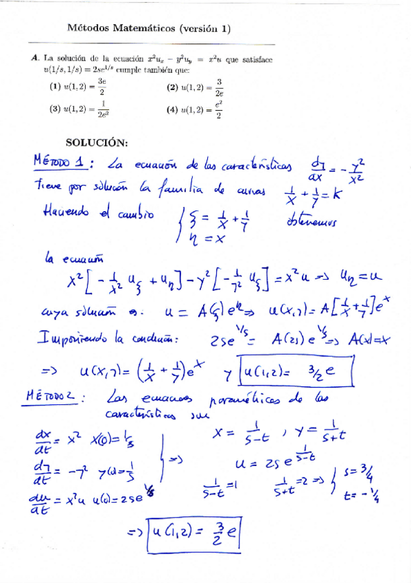
Examenes-2022-23.pdf

examenes

-

Ordinarios / Extraordinarios Resueltos Parte 2 (tablet)

No incluye los ejercicios de complejos

Ordinario-23-24-Parte-2.pdf
Extraordinario-23-24.pdf
Ordinario-22-23.pdf
Ordinario-21-22.pdf
Ordinario-20-21.pdf
Extraordinario-20-21.pdf

ejercicios

-

Ejercicios Resueltos Todos los Temas

Se irá actualizando día a día

Ejercicios-metodos-de-resolucion.pdf
Ejercicios-problema-de-Cauchy.pdf
Sistemas-de-EDOs.pdf

apuntes

-

Apuntes tema por tema tablet

Se irán actualizando día a día

Métodos de Resolución.pdf
Problema-de-Cauchy.pdf
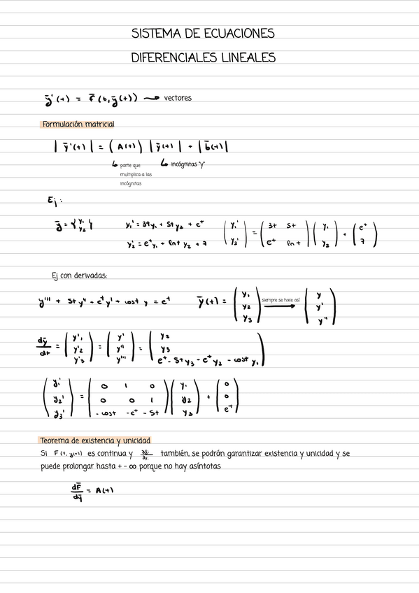
Sistemas-de-ecuaciones-diferenciales-lineales.pdf
Estabilidad-de-soluciones.pdf
Ecuaciones-de-orden-n.pdf
Ecuaciones-diferenciales-en-derivadas-parciales.pdf

ejercicios

-

PROBLEMAS RESUELTOS PEI 2 ACADEMIA

He publicado nuevos ejercicios de 2º Métodos Matemáticos: PROBLEMAS RESUELTOS PEI 2 ACADEMIA

PROBLEMAS-T4-EDP-1-ORDEN-RESUELTOS-paso-a-paso.pdf
PROBLEMAS-T5-EDPs-2-ORDEN-RESUELTOS-PASO-A-PASO.pdf
PROBLEMAS-T6-EC.-ONDAS-1-RESUELTOS-PASO-A-PASO.pdf

apuntes

-

APUNTES PEI 2 iPad para 10

He publicado nuevos apuntes de 2º Métodos Matemáticos: APUNTES PEI 2 iPad para 10

TEMA-6-EDP-de-primer-orden.pdf
TEMA-7-EDP-ORDEN-n.pdf
TEMA-8-ECUACION-DE-ONDA.pdf
TEMA-9-METODO-SEPARACION-DE-VARIABLES.pdf

apuntes

-

APUNTES PEI 2 COMPLETOS ACADEMIA

He publicado nuevos apuntes de 2º Métodos Matemáticos: APUNTES PEI 2 COMPLETOS ACADEMIA

APUNTES-TEMA-4-EDP-PRIMER-ORDEN-iPad.pdf
APUNTES-TEMA-5-EDP-SEGUNDO-ORDEN-ipad.pdf
APUNTES-TEMA-6-EC.-ONDAS-ipad.pdf

examenes

-

Exámenes resueltos tablet para PEI 1

He publicado nuevos examenes de 2º Métodos Matemáticos: Exámenes resueltos tablet para PEI 1

Examen-extraordinario-23-24.pdf
Ordinario-23-24.pdf
PEI-23-24.pdf
PEI-22-23.pdf
Ordinario-22-23.pdf
Extraordinario-22-23.pdf

examenes

-

EJERCICIOS Y EXÁMENES RESUELTOS TOP

Ejercicios de Moodle y de exámenes resueltos

1.-EDOs-DE-PRIMER-ORDEN.pdf
2.-SISTEMAS-DE-EDOs.pdf
3.-EDOs-DE-ORDEN-N.pdf

apuntes

-

APUNTES TOP

Apuntes para sacar un 10 a la primera

1.-EDOs-DE-PRIMER-ORDEN.pdf
2.-SISTEMAS-DE-EDOs.pdf
3.-EDOs-DE-ORDEN-N.pdf

He publicado nuevos examenes de 2º Métodos Matemáticos: PEI-1-2025.pdf

11 páginas

examenes

-

exámenes resueltos

He publicado nuevos examenes de 2º Métodos Matemáticos: exámenes resueltos

PEI-1-24-25-v1.pdf.pdf
Ordinario-O1-24-25-v1.pdf
PEI-1-23-24v1.pdf
Ordinario-O1-23-24-v1.pdf
PEI-1-22-23-v1.pdf

examenes

-

Exámenes PARTE 1 EDOS

He publicado nuevos examenes de 2º Métodos Matemáticos: Exámenes PARTE 1 EDOS

PEI-1-GITA-2526.pdf
PEI-1-2425.pdf

examenes

-

EJERCICIOS MOODLE EUSEBIO VALERO

He publicado nuevos examenes de 2º Métodos Matemáticos: EJERCICIOS MOODLE EUSEBIO VALERO

EJERCICIOS-BASICOS.pdf
PROBLEMA-DE-CAUCHY.pdf
SISTEMAS-EDOS.pdf
n-MAYOR-QUE-1.pdf

examenes

-

EXÁMENES RESUELTOS PARA PEI 1 PASO A PASO ipad

He publicado nuevos examenes de 2º Métodos Matemáticos: EXÁMENES RESUELTOS PARA PEI 1 PASO A PASO ipad

PEI-1-24-25-RESUELTO-PASO-A-PASO.pdf
ORD-24-25-RESUELTO-PASO-A-PASO-ipad.pdf
EXTRA-24-25-RESUELTO-PASO-A-PASO-ipad.pdf
PEI-1-23-24-RESUELTO-PASO-A-PASO-ipad.pdf
ORD-23-24-RESUELTO-PASO-A-PASO-iPad.pdf
EXTRA-23-24-RESUELTO-PASO-A-PASO-iPad.pdf

apuntes

-

APUNTES IPAD PEI1

He publicado nuevos apuntes de 2º Métodos Matemáticos: APUNTES IPAD PEI1

tema 1 completo ipad.pdf
tema-2-completo-ipad.pdf

examenes

-

EXÁMENES PEI 1 paso a paso PARA 10

Exámenes de otros años paso a paso PEI 1

PEI-1-2024-25.pdf
ORDINARIO-20242025-paso-a-paso.pdf
EXTRA-20242025-paso-a-paso-iPad.pdf

He publicado nuevos examenes de 2º Métodos Matemáticos: Parcial-1-2024.pdf

9 páginas

He publicado nuevos examenes de 2º Métodos Matemáticos: Parcial-1-2023.pdf

12 páginas

He publicado nuevos examenes de 2º Métodos Matemáticos: Ordinario-25-parte-uno.pdf.pdf

10 páginas

examenes

-

Extra 25 parte uno

He publicado nuevos examenes de 2º Métodos Matemáticos: Extra 25 parte uno

Soluciones.pdf
Enunciado.pdf

He publicado nuevos examenes de 2º Métodos Matemáticos: Extra-24-parte-uno.pdf

11 páginas

He publicado nuevos examenes de 2º Métodos Matemáticos: Ordinario-24-parte-uno.pdf

9 páginas

apuntes

-

PROBLEMAS RESUELTOS PEI1 ipad academia

He publicado nuevos apuntes de 2º Métodos Matemáticos: PROBLEMAS RESUELTOS PEI1 ipad academia

problemas-TEMA 3 SISTEMAS-EDOs-RESUELTOS-paso-a-paso-academia.pdf.pdf
PROBLEMAS-TEMA-1-RESUELTOS-paso-a-paso-academia.pdf
PROBLEMAS-TEMA-2-Cauchy-RESUELTOS-PASO-A-PASO-iPad-academia.pdf

Parcial 2021 2022 resuelto paso a paso

4 páginas

examenes

-

PROBLEMAS EXAMENES por temas para 10

Problemas y ejercicios de los cursos anteriores recopilados tema por tema con solución paso a paso para 10.

PROBLEMAS-examenes-Tema-1-EDOS-orden-1.pdf
PROBLEMAS-capitulo-2-examenes-para-10.pdf

Examen parcial 2022 2023 resuelto paso a paso

4 páginas

Examen ordinario parte 1 2023 resuelto paso a paso

5 páginas

examenes

-

PROBLEMAS para 10 ipad

Problemas de moodle compilación de examenes de otros años hechos paso a paso para 10

PROBLEMAS-capitulo-5-EDOS-ORDEN-N-para-10.pdf
PROBLEMAS-PEI-1-moodle-para-10.pdf

apuntes

-

Apuntes de Métodos Matemáticos

Apuntes de TODO lo que entra en la PEI 1: EDOs

EDOs.pdf

apuntes

-

APUNTES DE 10 Ipad tema por tema

Apuntes completos de la asignatura para sacar 10. Viene explicado paso a paso la resolución de cada método.

TEMA-3-Sistemas-de-Coeficientes-Constantes.pdf
TEMA 1. EDOs-primer-orden- 2-Sistemas-Coef-No-Constantes.pdf
TEMA- 4-Sistemas-autonomos-para-10.pdf
TEMA-5-EDOS-orden-n.pdf

apuntes

-

PROBLEMAS DE EXAMEN Y TEORÍA MÉTODOS MATEMATICOS

He publicado nuevos apuntes de 2º Métodos Matemáticos: PROBLEMAS DE EXAMEN Y TEORÍA MÉTODOS MATEMATICOS

MM-T1-TEORIA.pdf
MM-T1-PROBLEMAS-DE-EXAMEN-RESUELTOS.pdf
MM-T2-PROBLEMAS-DE-EXAMEN-RESUELTOS-Y-TEORIA.pdf
MM-T3-PROBLEMAS-DE-EXAMEN-RESUELTOS.pdf
MM-T4-PROBLEMAS-DE-EXAMEN-RESUELTOS-Y-TEORIA.pdf
MM-T5T6-PROBLEMAS-DE-EXAMEN-RESUELTOS-Y-TEORIA.pdf

He publicado nuevos apuntes de 2º Métodos Matemáticos: El-mejor-FORMULARIO-para-aprobar-Metodos-a-la-primera.pdf

6 páginas

ejercicios

-

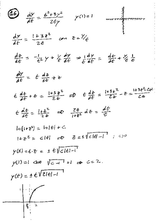
Problemas EDOS 1er Orden con solución

He publicado nuevos ejercicios de 2º Métodos Matemáticos: Problemas EDOS 1er Orden con solución

SolP23EdosOrden1.pdf
SolP18EdosOrden1.pdf
sol16edo1erOrden.pdf
SolucionP9edos1erOrden.pdf
solP01edos1erOrden.pdf
ProblemasEDOs1erOrden.pdf

examenes

-

Exámenes resueltos ordinario 2024-2025

He publicado nuevos examenes de 2º Métodos Matemáticos: Exámenes resueltos ordinario 2024-2025

SolucionesOrdinarioPARTE2-20242025.pdf
SolucionesOrdinarioPARTE-1-20242025.pdf

examenes

-

TODOS los EXAMENES con SOLUCION 2016-2024

He publicado nuevos examenes de 2º Métodos Matemáticos: TODOS los EXAMENES con SOLUCION 2016-2024

Examenes-2016-17.pdf
Examenes-2017-18.pdf
Examenes-2018-19.pdf
Examenes-2019-20.pdf
Examenes-2020-21.pdf
Examenes-2021-22.pdf

examenes

-

Exámenes 2 PEI

Recopilación de exámenes segundo parcial.

Ejercicios-de-examen-EDPs..pdf
Ejercicios-de-examen-Ondas..pdf
Ejercicios-de-examen-Variable-Compleja..pdf

apuntes

-

Temario segundo parcial

Temario completo segundo parcial.

Ecuaciones-en-derivadas-parciales-EDPs.pdf
Ecuaciones-de-Ondas..pdf
Series-de-Fourier.-Separacion-de-Variables..pdf
Ecuaciones-de-Calor..pdf
Transformar-una-EDP-en-2-EDOs..pdf

examenes

-

Exámenes 1 PEI

Recopilación de exámenes primer parcial.

Examenes-1-PEI..pdf

apuntes

-

Temario Primer Parcial

Temario completo primer parcial.

Ecuaciones-diferenciales..pdf
Sistemas-de-ecuaciones-diferenciales-lineales..pdf
Ecuaciones-de-orden-N.-Estabilidad-de-soluciones..pdf

He publicado nuevos apuntes de 2º Métodos Matemáticos: Resumen-Metodos.pdf

35 páginas

examenes

-

Examenes

He publicado nuevos examenes de 2º Métodos Matemáticos: Examenes

Ordinario-202223.pdf
Extraordinario-202223.pdf
Ordinario-202122.pdf
Ordinario-202021.pdf
Ordinario-201920.pdf

He publicado nuevos examenes de 2º Métodos Matemáticos: ExamenOrdinario_24-25_RESUELTO.pdf

10 páginas

examenes

-

Exámenes Resueltos Parte 2

He publicado nuevos examenes de 2º Métodos Matemáticos: Exámenes Resueltos Parte 2

Extraordinario-22-23-Parte-2.pdf
Ordinario-23-24-Parte-2.pdf
Ordinario-22-23-Parte-2.pdf
Extraordinario-23-24-Parte-2.pdf

Resolución con enunciado EDPs examen ordinario 24-01-2023

5 páginas

Resolución con enunciado EDPs examen ordinario 29-01-2024

5 páginas

apuntes

-

Apuntes segundo PEI

Teoría con algunos ejemplos

Tema-4-teoria-y-ejemplos.pdf
Tema-5-teoria-y-ejemplos.pdf
Tema-6-teoria-y-ejemplos.pdf
Tema-7-teoria-y-ejemplos.pdf
Tema-8-teoria-y-ejemplos.pdf

He publicado nuevos examenes de 2º Métodos Matemáticos: Ejercicios-de-examen-de-complejos.pdf

8 páginas

He publicado nuevos apuntes de 2º Métodos Matemáticos: Formulario-Completo-Mm.pdf

6 páginas

Resumen hecho en tablet sobre como resolver todos los tipos de ejercicios de la primera parte (EDOs)

6 páginas

Se irá actualizando

10 páginas

examenes

-

Todos los examenes desde 2018 por años

He publicado nuevos examenes de 2º Métodos Matemáticos: Todos los examenes desde 2018 por años

Examenes-2023-2024.pdf
Examenes-2022-2023.pdf
Examenes-2021-2022.pdf
Examenes-2019-2020.pdf

examenes

-

EXAMENES 2021-2022 Con Solución

He publicado nuevos examenes de 2º Métodos Matemáticos: EXAMENES 2021-2022 Con Solución

Extraordinario-Parte-2.pdf
Ordinario-Parte-2.pdf
Ordinario-Parte-1.pdf
Extraordinario-Parte-1.pdf
Parcial-1.pdf
Examenes-2020-2021.pdf

He publicado nuevos examenes de 2º Métodos Matemáticos: Examenes-ordinarios-y-extraordinarios-2019-2020-2021-2022-2023-2024-MMI.pdf

33 páginas

ejercicios

-

Problemas por temas PEI 2

He publicado nuevos ejercicios de 2º Métodos Matemáticos: Problemas por temas PEI 2

Problemas-separacion-de-variables.pdf
Problemas-EDOs-orden-n-Euler.pdf
Problemas-EDPs-de-segundo-orden.pdf

MÉTODOS PARA UN 10

En mi perfil teneis todos los apuntes y ejercicios del año pasado de la Castiñeira. Muchas suerte!

apuntes

-

Métodos para sacar un 10 (Academia)

He publicado nuevos apuntes de 2º Métodos Matemáticos: Métodos para sacar un 10 (Academia)

Parte-1-Teoria-Metodos.pdf
Parte-2-Teoria-Metodos.pdf
Problemas-Tema-1.pdf
Problemas-Tema-2.pdf
Problemas-Tema-4.pdf
Problemas-Tema-5.pdf

apuntes

-

Resumen Segundo PEI GIA y GITA

He publicado nuevos apuntes de 2º Métodos Matemáticos: Resumen Segundo PEI GIA y GITA

Ecuacion-de-ondas.pdf
Ecuaciones-en-derivadas-parciales-EDP-de-segundo-orden.pdf
Ecuaciones-en-derivadas-parciales-de-primer-orden-EDP.pdf
EDO-de-Euler.pdf
Series-de-Fourier.pdf
Ecuacion-del-calor.pdf

examenes

-

TODOS EXÁMENES PARTE 2 RESUELTOS PASO A PASO (a iPad)

He publicado nuevos examenes de 2º Métodos Matemáticos: TODOS EXÁMENES PARTE 2 RESUELTOS PASO A PASO (a iPad)

Polares.pdf
Extra-2021.pdf
Extra-2023.pdf
Ordinario-2019.pdf
O2-2024.pdf
O2-2022.pdf