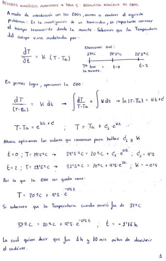
Todo
Apuntes
Preguntas
Ejercicios
Exámenes
Prácticas
chevron_left
chevron_right

ejercicios

-

problemas métodos

He publicado nuevos ejercicios de 2º Métodos Numéricos Avanzados: problemas métodos

ProblemasmetodosTema1.pdf
RelacionproblemasTema2.pdf
RelacionproblemasTema3.pdf

Formulario para realizar los ejercicios

4 páginas

apuntes

-

TODAS LAS RELACIONES

Todas las relaciones bien resueltas

Tema-1.pdf
Tema-2.pdf
Tema-3.pdf

apuntes

-

TEMARIO

He publicado nuevos apuntes de 2º Métodos Numéricos Avanzados: TEMARIO

TEMA-1.pdf
TEMA-2.pdf
TEMA-3.pdf

He publicado nuevos practicas de 2º Métodos Numéricos Avanzados: CODIGOS-EJERCICIOS-DE-EXAMEN-Y-TODOS-LOS-PROBLEMAS.pdf

88 páginas

He publicado nuevos apuntes de 2º Métodos Numéricos Avanzados: Formulario-examen-Metodos numéricos.pdf

4 páginas

He publicado nuevos apuntes de 2º Métodos Numéricos Avanzados: Resumen-asignatura-Metodos-numericos.pdf

5 páginas

apuntes

-

Apuntes de clase Métodos numéricos

He publicado nuevos apuntes de 2º Métodos Numéricos Avanzados: Apuntes de clase Métodos numéricos

Tema-3-PVF.pdf
Tema-2-Resolucion-numerica-ecs-diff-ordinarias.pdf
T1-Clase-6-Fourier240608163610.pdf
T1-Clase-3-Linealizacion-de-modelos.pdf
T1-Clase-5-Regresion-no-lineal240408091442.pdf
T1-Clase-1-Interpolacion.pdf

He publicado nuevos ejercicios de 2º Métodos Numéricos Avanzados: Tema-1.pdf

9 páginas

He publicado nuevos ejercicios de 2º Métodos Numéricos Avanzados: Tema-3.pdf

5 páginas

He publicado nuevos apuntes de 2º Métodos Numéricos Avanzados: Formulario.pdf

1 página

He publicado nuevos examenes de 2º Métodos Numéricos Avanzados: Examen-tipo.pdf

3 páginas

He publicado nuevos ejercicios de 2º Métodos Numéricos Avanzados: Tema-2.pdf

4 páginas

apuntes

-

Apuntes - teoría MÉTODOS

He publicado nuevos apuntes de 2º Métodos Numéricos Avanzados: Apuntes - teoría MÉTODOS

Tema-1 Aproximación de funciones
Tema-2 Resolución numérica de EDOs
Clase-1-practicas-parte-teorica.pdf
Presentacion-ASIGNATURA.pdf
Tema-3.pdf

apuntes

-

Relaciones de problemas

He publicado nuevos apuntes de 2º Métodos Numéricos Avanzados: Relaciones de problemas

Relación 1 (ajuste de funciones)
Dudas-relacion-1.pdf
Relacion-2.pdf

He publicado nuevos practicas de 2º Métodos Numéricos Avanzados: Practica1Aproximacion.pdf

9 páginas

He publicado nuevos examenes de 2º Métodos Numéricos Avanzados: EXAMEN-PRACTICA-METODOS-JUNIO-2023.pdf

2 páginas

He publicado nuevos ejercicios de 2º Métodos Numéricos Avanzados: PRBLEMAS-TEMA-2.pdf

8 páginas

He publicado nuevos ejercicios de 2º Métodos Numéricos Avanzados: PROBLEMAS-TEMA-1.pdf

11 páginas

He publicado nuevos ejercicios de 2º Métodos Numéricos Avanzados: EjerciciosTema3Completos.pdf

14 páginas

He publicado nuevos apuntes de 2º Métodos Numéricos Avanzados: PROBLEMAS-TEMA-3.pdf

3 páginas

He publicado nuevos apuntes de 2º Métodos Numéricos Avanzados: Relacion-1-MN-EXPLICADOS.pdf

23 páginas

He publicado nuevos apuntes de 2º Métodos Numéricos Avanzados: Teoria-tema-1-MN.pdf

22 páginas

He publicado nuevos apuntes de 2º Métodos Numéricos Avanzados: Teoria-tema-2-MN.pdf

6 páginas

He publicado nuevos apuntes de 2º Métodos Numéricos Avanzados: Teoria-tema-3-MN.pdf

10 páginas

He publicado nuevos ejercicios de 2º Métodos Numéricos Avanzados: Ejercicios-Tema-2-COMPLETOS.pdf

16 páginas

He publicado nuevos ejercicios de 2º Métodos Numéricos Avanzados: Ejercicios-Tema-1-COMPLETOS.pdf

31 páginas

He publicado nuevos ejercicios de 2º Métodos Numéricos Avanzados: PVF-Resueltos.pdf

19 páginas

He publicado nuevos ejercicios de 2º Métodos Numéricos Avanzados: Ejercicios-Tema-1-MN.pdf

18 páginas

apuntes

-

Teoría MN

He publicado nuevos apuntes de 2º Métodos Numéricos Avanzados: Teoría MN

Tema-3.pdf
Tema-1.pdf
Tema-2.pdf

He publicado nuevos ejercicios de 2º Métodos Numéricos Avanzados: EJERCICIOS-Tema-2.pdf

11 páginas

He publicado nuevos ejercicios de 2º Métodos Numéricos Avanzados: EJERCICIOS-Tema-1.pdf

18 páginas

He publicado nuevos apuntes de 2º Métodos Numéricos Avanzados: TEORIA-Metodos-Numericos.pdf

36 páginas

ejercicios

-

Problemas

Todos los ejercicios resueltos a mano y por Matlab para comprobar

PT1MN.pdf
PT2MN.pdf

apuntes

-

APUNTES DE CLASE MÉTODOS

He publicado nuevos apuntes de 2º Métodos Numéricos Avanzados: APUNTES DE CLASE MÉTODOS

Tema-1.pdf
Tema-2.pdf

JAIR BOLSONARO

JAIR BOLSONARO

Anónimo

@Anónimo

He publicado nuevos examenes de 2º Métodos Numéricos Avanzados: Examen-2021-JUNIO.pdf

1 página

He publicado nuevos ejercicios de 2º Métodos Numéricos Avanzados: Tareas-de-Metodos-Numericos.pdf

23 páginas

He publicado nuevos practicas de 2º Métodos Numéricos Avanzados: Sage-Metodos-Numericos.pdf

37 páginas

He publicado nuevos practicas de 2º Métodos Numéricos Avanzados: Practicas.pdf

8 páginas

He publicado nuevos apuntes de 2º Métodos Numéricos Avanzados: Apuntes-de-Metodos-Numericos.pdf

37 páginas

He publicado nuevos apuntes de 2º Métodos Numéricos Avanzados: Ejercicios-Metodos-numericos-SAGE.zip

zip

practicas

-

Prácticas 2020 Alicia

He publicado nuevos practicas de 2º Métodos Numéricos Avanzados: Prácticas 2020 Alicia

MNPR04-PDF.pdf
MNPR01-PDF.pdf
MNPR03-PDF.pdf
MNPR02-PDF.pdf

He publicado nuevos examenes de 2º Métodos Numéricos Avanzados: Examen-que-siempre-entra-en-metodos-RESUELTO.pdf

16 páginas

He publicado nuevos apuntes de 2º Métodos Numéricos Avanzados: apuntes-metodos-numericos.pdf

12 páginas
Anónimo

@Anónimo

He publicado nuevos examenes de 2º Métodos Numéricos Avanzados: Examen2017.pdf

1 página

apuntes

-

Temas MNA

He publicado nuevos apuntes de 2º Métodos Numéricos Avanzados: Temas MNA

Resumen tema 1 - MNA.pdf
Resumen-tema-2-MNA.pdf

He publicado nuevos practicas de 2º Métodos Numéricos Avanzados: Tarea entregable 2.pdf

18 páginas

He publicado nuevos examenes de 2º Métodos Numéricos Avanzados: EXAMEN METODOS 2018.pdf

2 páginas

Multitud de códigos para usar en SAGE, todos deben compilar

10 páginas

No están hechos por Alicia

7 páginas

He publicado nuevos practicas de 2º Métodos Numéricos Avanzados: Actividad entregable 1.zip

zip
Anónimo

@Anónimo

He publicado nuevos apuntes de 2º Métodos Numéricos Avanzados: wuolah-premium-Resumenmetodos.pdf

18 páginas

He publicado nuevos apuntes de 2º Métodos Numéricos Avanzados: Temario Metodos Numéricos Avazando.pdf

29 páginas
Anónimo

@Anónimo

He publicado nuevos apuntes de 2º Métodos Numéricos Avanzados: Descargar Matlab 2015b.pdf

10 páginas

He publicado nuevos apuntes de 2º Métodos Numéricos Avanzados: Temario Metodos Numéricos Avazando.pdf

29 páginas
Anónimo

@Anónimo

He publicado nuevos apuntes de 2º Métodos Numéricos Avanzados: tema 1.pdf

31 páginas

practicas

-

Practicas Hechas Con Alicia

He publicado nuevos practicas de 2º Métodos Numéricos Avanzados: Practicas Hechas Con Alicia

04-05-16 Práctica semana 10 Diferencia finita Condiciones de contorno.sws
09-05-16 Práctica semana 11 P.V.I Código Euler y Runge-Kutta.sws
16-05-16 Práctica semana 12 Problemas de valores contorno Método de disparo.sws
23-05-16 Practica semana 13 Ecuaciones en derivadas parciales.sws
2016 Diferencias finitas.sws
parciales_hiperbólicas.sws

apuntes

-

Libros de Ayuda

He publicado nuevos apuntes de 2º Métodos Numéricos Avanzados: Libros de Ayuda

ApuntesMétodosNuméricos.pdf
Metodos Numericos Aplicados con Software.pdf
Metodos Practicas SAGE Resueltas.pdf
metodos-numericos-para-ingenieros-chapra-5-edicion.pdf
Metodos Temario y Problemas Escrito.pdf
num-edos-resum.pdf.pdf

He publicado nuevos apuntes de 2º Métodos Numéricos Avanzados: Tema 1 MN.pdf

14 páginas