Métodos Numéricos de las Ecuaciones Diferenciales

chevron_left
chevron_right
Todo
Apuntes
Exámenes
chevron_left
chevron_right

He publicado nuevos examenes de 3º Métodos Numéricos de las Ecuaciones Diferenciales: EXAMENES-MNED.pdf

34 páginas

He publicado nuevos apuntes de 3º Métodos Numéricos de las Ecuaciones Diferenciales: TEMA-5-MULTIPASO.pdf

10 páginas

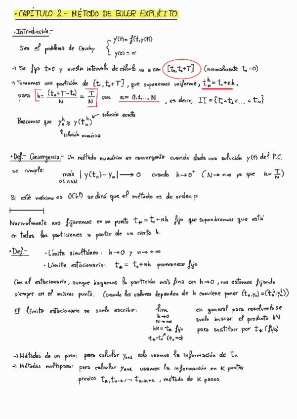
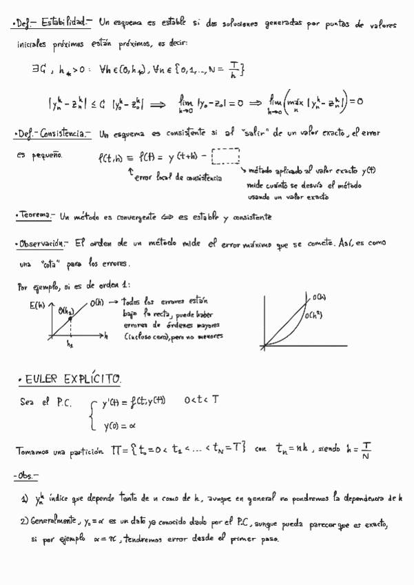
He publicado nuevos apuntes de 3º Métodos Numéricos de las Ecuaciones Diferenciales: TEMA-2-EULER-EXPLICITO.pdf

14 páginas

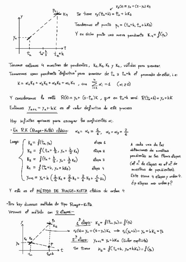
He publicado nuevos apuntes de 3º Métodos Numéricos de las Ecuaciones Diferenciales: TEMA-4-RUNGE-KUTTA.pdf

12 páginas

He publicado nuevos apuntes de 3º Métodos Numéricos de las Ecuaciones Diferenciales: Metodos-de-Runge-Kutta.pdf

34 páginas

He publicado nuevos apuntes de 3º Métodos Numéricos de las Ecuaciones Diferenciales: MNED.pdf

35 páginas
¡Estás al día!

¡Estás al día!

Has visto todos los archivos