chevron_left
chevron_right
Todo
Apuntes
Ejercicios
Exámenes
Prácticas
Trabajos
chevron_left
chevron_right

apuntes

-

Apuntes MNI T1y2

He publicado nuevos apuntes de 2º métodos numéricos en ingeniería: Apuntes MNI T1y2

Apuntes-MNI-T1y2.pdf

apuntes

-

Parte 2

He publicado nuevos apuntes de 2º métodos numéricos en ingeniería: Parte 2

Codigos-MNI-Tema-3.pdf
Codigos-Tema-4-MNI.pdf
Codigos-Tema-5-Eigenvectors-and-eigenvalues-MNI.pdf
2-parte-escrita-MNI.pdf
2-parte-Mtlb-MNI.pdf

examenes

-

Enunciados Parciales 2023-2024

He publicado nuevos examenes de 2º métodos numéricos en ingeniería: Enunciados Parciales 2023-2024

PARCIAL-1-ENUNCIADO.pdf
PARCIAL-3-ENUNCIADO.pdf
PARCIAl-2-ENUNCIADO.pdf

ejercicios

-

TODOS LOS ENTREGABLES

He publicado nuevos ejercicios de 2º métodos numéricos en ingeniería: TODOS LOS ENTREGABLES

ClassworkODE-II.pdf
ClassworkODE.pdf
Derivates.pdf
LEAST-SQUARES-I.pdf
Newton-Polynomial.pdf
ODE1.pdf

practicas

-

PRACTICAS HECHAS TODAS

He publicado nuevos practicas de 2º métodos numéricos en ingeniería: PRACTICAS HECHAS TODAS

Laboratory-01.pdf
Laboratory-02.pdf
Laboratory-03.pdf
Laboratory-04.pdf
Laboratory-05.pdf

examenes

-

PARCIALES RESUELTOS (MATLAB)

He publicado nuevos examenes de 2º métodos numéricos en ingeniería: PARCIALES RESUELTOS (MATLAB)

Enunciados-Parciales-2-y-3-MATLAB.pdf
Parcial-1.pdf
Parcial-2.pdf
Parcial-3.pdf

examenes

-

EJEMPLOS PARTE ESCRITA TODOS LOS PARCIALES

He publicado nuevos examenes de 2º métodos numéricos en ingeniería: EJEMPLOS PARTE ESCRITA TODOS LOS PARCIALES

Parcial-1.pdf
Parcial-2.pdf
Parcial-3.pdf

He publicado nuevos apuntes de 2º métodos numéricos en ingeniería: Ejercicios-examenes-resueltos.pdf

15 páginas

apuntes

-

Test Todos los temas

He publicado nuevos apuntes de 2º métodos numéricos en ingeniería: Test Todos los temas

Test-Tema9.pdf
Test-Tema8.pdf
Test-Tema7.pdf
Test-Tema6.pdf
Test-Tema5.pdf
Test-Tema4.pdf

apuntes

-

Homeworks resueltos

He publicado nuevos apuntes de 2º métodos numéricos en ingeniería: Homeworks resueltos

Homework-unit-9-1.pdf
Homework-unit-8-1.pdf
Homework-unit-7-1.pdf
Homework-unit-6.-1.pdf
Homework-unit-5-1.pdf
Homework-unit-4-1.pdf

apuntes

-

Homeworks RESUELTOS

He publicado nuevos apuntes de 2º métodos numéricos en ingeniería: Homeworks RESUELTOS

HomeworkUnit2Resuelto.pdf
HomeworkUnit1Resulto.pdf
HomeworkUnit3Resuelto.pdf
HomeworkUnit4Resuelto.pdf
HomeworkUnit5Resuelto.pdf
HomeworkUnit6Resuelto.pdf

He publicado nuevos apuntes de 2º métodos numéricos en ingeniería: Tema-8-Resumenes.pdf

10 páginas

He publicado nuevos apuntes de 2º métodos numéricos en ingeniería: Tema-7-Resumenes.pdf

8 páginas

He publicado nuevos apuntes de 2º métodos numéricos en ingeniería: Tema-6-Resumenes.pdf

3 páginas

He publicado nuevos apuntes de 2º métodos numéricos en ingeniería: Tema-5-Resumenes.pdf

7 páginas

He publicado nuevos apuntes de 2º métodos numéricos en ingeniería: Tema-4-Resumenes.pdf

7 páginas

He publicado nuevos apuntes de 2º métodos numéricos en ingeniería: Tema-3-Resumenes.pdf

6 páginas

He publicado nuevos apuntes de 2º métodos numéricos en ingeniería: Tema-2-Resumenes.pdf

6 páginas

He publicado nuevos apuntes de 2º métodos numéricos en ingeniería: Tema-1-Resumenes.pdf

6 páginas

apuntes

-

Preparación Exámenes

He publicado nuevos apuntes de 2º métodos numéricos en ingeniería: Preparación Exámenes

ORDINARIA-2022-TEORIA.pdf
Teoria--Ejers-A-Mano.pdf
Preparacion-Examen-Scripts.pdf

He publicado nuevos examenes de 2º métodos numéricos en ingeniería: Test tema 9 2022/23.pdf

7 páginas

He publicado nuevos examenes de 2º métodos numéricos en ingeniería: Test tema 8 2022/23.pdf

5 páginas

He publicado nuevos examenes de 2º métodos numéricos en ingeniería: Test-tema-7-2022/23.pdf

5 páginas

He publicado nuevos examenes de 2º métodos numéricos en ingeniería: Test-tema-5-2022/23.pdf

3 páginas

He publicado nuevos examenes de 2º métodos numéricos en ingeniería: Test-tema-6-2022/23.pdf

4 páginas

He publicado nuevos examenes de 2º métodos numéricos en ingeniería: Tests-temas-5-6-7-y-8-2021/22.pdf

5 páginas

He publicado nuevos examenes de 2º métodos numéricos en ingeniería: Test-tema-4-2022/23.pdf

5 páginas

He publicado nuevos examenes de 2º métodos numéricos en ingeniería: Test-tema-4-modelo-1-2021/22.pdf

3 páginas

He publicado nuevos examenes de 2º métodos numéricos en ingeniería: Test-tema-4-modelo-2-2021/22.pdf

3 páginas

He publicado nuevos examenes de 2º métodos numéricos en ingeniería: Test-tema-3-2022/23.pdf

3 páginas

He publicado nuevos examenes de 2º métodos numéricos en ingeniería: Test-tema-3-2021/22.pdf

3 páginas

He publicado nuevos examenes de 2º métodos numéricos en ingeniería: Test-tema-2-modelo-2-2021/22.pdf

4 páginas

He publicado nuevos examenes de 2º métodos numéricos en ingeniería: Test-tema-2-2022/23.pdf

4 páginas

He publicado nuevos examenes de 2º métodos numéricos en ingeniería: Test-tema-2-modelo-1-2021/22.pdf

4 páginas

He publicado nuevos examenes de 2º métodos numéricos en ingeniería: Test-tema-1-modelo-2-2021/22.pdf

3 páginas

He publicado nuevos examenes de 2º métodos numéricos en ingeniería: Test-tema-1-modelo-1-2021/22.pdf

5 páginas

He publicado nuevos examenes de 2º métodos numéricos en ingeniería: Test-tema-1-2022/23.pdf

5 páginas

He publicado nuevos apuntes de 2º métodos numéricos en ingeniería: Script-unit-9.pdf

5 páginas

He publicado nuevos apuntes de 2º métodos numéricos en ingeniería: Script-unit-8.pdf

2 páginas

He publicado nuevos apuntes de 2º métodos numéricos en ingeniería: Script-unit-7.pdf

6 páginas

He publicado nuevos apuntes de 2º métodos numéricos en ingeniería: Script-unit-6.pdf

3 páginas

He publicado nuevos apuntes de 2º métodos numéricos en ingeniería: Script-unit-5.pdf

2 páginas

He publicado nuevos apuntes de 2º métodos numéricos en ingeniería: Script-unit-4.pdf

5 páginas

He publicado nuevos apuntes de 2º métodos numéricos en ingeniería: Script-unit-3.pdf

4 páginas

He publicado nuevos apuntes de 2º métodos numéricos en ingeniería: Script-unit-2.pdf

7 páginas

He publicado nuevos apuntes de 2º métodos numéricos en ingeniería: Script-unit-1.pdf

5 páginas

apuntes

-

Temario, ejercicios y examenes

He publicado nuevos apuntes de 2º métodos numéricos en ingeniería: Temario, ejercicios y examenes

Tema-1.pdf
Tema-2.pdf
Parcial-2020-21.pdf
Tema-3.pdf
Resumen-temas-1-3.pdf

apuntes

-

METODOS COMPLETO (HW+EXAMS)

He publicado nuevos apuntes de 2º métodos numéricos en ingeniería: METODOS COMPLETO (HW+EXAMS)

TODOSLOSHW.pdf
EXAMSCRIPTS.pdf

He publicado nuevos apuntes de 2º métodos numéricos en ingeniería: RESOLUCION-DE-ECUACIONES-1.pdf

4 páginas

trabajos

-

EDOs-GITI

He publicado nuevos trabajos de 2º métodos numéricos en ingeniería: EDOs-GITI

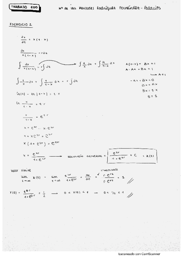
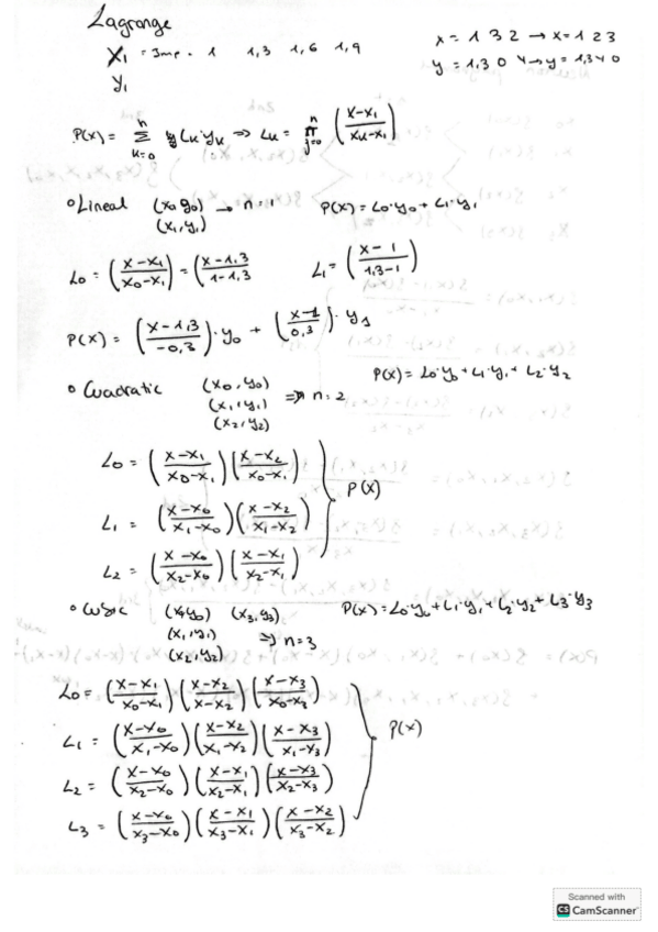
Trabajo-EDO.pdf
TrabajoEDOs.m

He publicado nuevos trabajos de 2º métodos numéricos en ingeniería: Trabajo-1.pdf

2 páginas

He publicado nuevos examenes de 2º métodos numéricos en ingeniería: Examen-Parcial.pdf

2 páginas

apuntes

-

Metodos Numericos

He publicado nuevos apuntes de 2º métodos numéricos en ingeniería: Metodos Numericos

metodosteoria.pdf
metodospractica.pdf

He publicado nuevos apuntes de 2º métodos numéricos en ingeniería: METODOS-NUMERICOS.pdf

52 páginas

He publicado nuevos apuntes de 2º métodos numéricos en ingeniería: Scripts-metodos.docx

word

apuntes

-

BLOQUE 3: TEMAS 7,8 Y 9

He publicado nuevos apuntes de 2º métodos numéricos en ingeniería: BLOQUE 3: TEMAS 7,8 Y 9

QUIZ-3.pdf
TEORIA-TEMA-9.pdf
TEORIA-TEMA-8.pdf
TEORIA-TEMA-7.pdf

apuntes

-

BLOQUE 2: TEMAS 4, 5, Y 6

He publicado nuevos apuntes de 2º métodos numéricos en ingeniería: BLOQUE 2: TEMAS 4, 5, Y 6

TEMA-6-TEORIA.pdf
QUIZ-BLOQUE-2.pdf
TEMA-5-TEORIA.pdf
TEMA-4-TEORIA.pdf

apuntes

-

BLOQUE 1: TEMAS 1, 2 y 3

He publicado nuevos apuntes de 2º métodos numéricos en ingeniería: BLOQUE 1: TEMAS 1, 2 y 3

TEORIA-TEMA-1.pdf
TEMA-3-TEORIA.pdf
QUIZ-BLOQUE-1.pdf
TEMA-2-TEORIA.pdf
¡Estás al día!

¡Estás al día!

Has visto todos los archivos