Métodos Numéricos en la Ingeniería Mecánica

chevron_left
chevron_right
Todo
Apuntes
Ejercicios
Exámenes
Prácticas
Trabajos
chevron_left
chevron_right

He publicado nuevos trabajos de 3º Métodos Numéricos en la Ingeniería Mecánica: treball-final-MNEM.pdf

14 páginas

He publicado nuevos practicas de 3º Métodos Numéricos en la Ingeniería Mecánica: MNEM-PFA.pdf

10 páginas

ejercicios

-

Entregables MNEM

He publicado nuevos ejercicios de 3º Métodos Numéricos en la Ingeniería Mecánica: Entregables MNEM

Entregable-1-MNEM-Nota-8.pdf
Entregable-2-MNEM-Nota-75.pdf
Entregable-3-MNEM-Nota-9.pdf
Entregable-4-MNEM-Nota-95.pdf
Entregable-5-MNEM-Nota-9.pdf

He publicado nuevos apuntes de 3º Métodos Numéricos en la Ingeniería Mecánica: Algun-apunte.pdf

5 páginas

He publicado nuevos examenes de 3º Métodos Numéricos en la Ingeniería Mecánica: Recopilacion-Test-MNEM.pdf

7 páginas

ejercicios

-

Entregables MNEM

He publicado nuevos ejercicios de 3º Métodos Numéricos en la Ingeniería Mecánica: Entregables MNEM

MNEM-ENTREGABLE-1-nota-9.5.pdf
MNEM-ENTREGABLE-2-nota-9.75.pdf
MNEM-ENTREGABLE-3-nota-8.pdf
MNEM-ENTREGABLE-4-nota-9.pdf
MNEM-ENTREGABLE-5-nota-10.pdf
Anónimo

@Anónimo

He publicado nuevos trabajos de 3º Métodos Numéricos en la Ingeniería Mecánica: ANSYSPracticaFinal.pdf

13 páginas

He publicado nuevos ejercicios de 3º Métodos Numéricos en la Ingeniería Mecánica: ENTREGABLE-5.pdf

16 páginas

He publicado nuevos ejercicios de 3º Métodos Numéricos en la Ingeniería Mecánica: ENTREGABLE-3.pdf

46 páginas

ejercicios

-

ENTREGABLE 1

He publicado nuevos ejercicios de 3º Métodos Numéricos en la Ingeniería Mecánica: ENTREGABLE 1

Diagrama-convergencia.xlsx
Miniatura no disponible
Exercici-MNEM-Definitiu.py
PROBLEMA-SISTEMAS-DISCRETOS-MNEM-GRUPO-15.pdf
Anónimo

@Anónimo

He publicado nuevos examenes de 3º Métodos Numéricos en la Ingeniería Mecánica: Examen-MN.pdf

16 páginas

He publicado nuevos trabajos de 3º Métodos Numéricos en la Ingeniería Mecánica: TFA.pdf

20 páginas

trabajos

-

ENTREGABLES

He publicado nuevos trabajos de 3º Métodos Numéricos en la Ingeniería Mecánica: ENTREGABLES

ENTREGABLE-1.pdf
ENTREGABLE-1-OTONO-2023.pdf
ENTREGABLE-2-OTONO-2023.pdf
ENTREGABLE-4.pdf
ENTREGABLE-4.pdf
ENTREGABLE-3.pdf

He publicado nuevos trabajos de 3º Métodos Numéricos en la Ingeniería Mecánica: Entregable-2.pdf

9 páginas

He publicado nuevos trabajos de 3º Métodos Numéricos en la Ingeniería Mecánica: entregable5.pdf

9 páginas

He publicado nuevos trabajos de 3º Métodos Numéricos en la Ingeniería Mecánica: entregable3.pdf

19 páginas

He publicado nuevos trabajos de 3º Métodos Numéricos en la Ingeniería Mecánica: Entregable-4.pdf

14 páginas

trabajos

-

Entregable sistemas discretos

He publicado nuevos trabajos de 3º Métodos Numéricos en la Ingeniería Mecánica: Entregable sistemas discretos

desplazamientos.png
Problemasistemasdiscretos.pdf
graph.png
Anónimo

@Anónimo

He publicado nuevos ejercicios de 3º Métodos Numéricos en la Ingeniería Mecánica: EXCEL-Practica-6-resultados.pdf

4 páginas

examenes

-

EXAMENES

He publicado nuevos examenes de 3º Métodos Numéricos en la Ingeniería Mecánica: EXAMENES

Examen2parcial.pdf
EXAMEN-PARCIAL.pdf

He publicado nuevos examenes de 3º Métodos Numéricos en la Ingeniería Mecánica: EXAMEN-PRACTICA-FINAL.pdf

12 páginas

practicas

-

EJERCICIOS CLASE

He publicado nuevos practicas de 3º Métodos Numéricos en la Ingeniería Mecánica: EJERCICIOS CLASE

Practica-5word1.pdf
PRACTICA-6-Solidos-2D-1.pdf
PRACTICA-6-Solidos-2D-remix.pdf
Practica-7-mnem.pdf
Practica-8.pdf

practicas

-

PRACTICA FINAL

He publicado nuevos practicas de 3º Métodos Numéricos en la Ingeniería Mecánica: PRACTICA FINAL

BouteinaJabiriM13practica.final.pdf
Practica-finalMarc-MadridM32.pdf

ejercicios

-

ENTREGA EJERCICIOS

He publicado nuevos ejercicios de 3º Métodos Numéricos en la Ingeniería Mecánica: ENTREGA EJERCICIOS

ENTREGA-EJ5.pdf
ENTREGA-EJ6.pdf
ENTREGA-EJ9.pdf
Anónimo

@Anónimo

He publicado nuevos apuntes de 3º Métodos Numéricos en la Ingeniería Mecánica: Ejercicio-1-mnem-a-mano.pdf

3 páginas

He publicado nuevos apuntes de 1º Métodos Numéricos en la Ingeniería Mecánica: Apuntes-T3.pdf

2 páginas

He publicado nuevos apuntes de 1º Métodos Numéricos en la Ingeniería Mecánica: Apuntes-T2.pdf

5 páginas

He publicado nuevos apuntes de 1º Métodos Numéricos en la Ingeniería Mecánica: Apuntes-T1.pdf

3 páginas

He publicado nuevos examenes de 1º Métodos Numéricos en la Ingeniería Mecánica: 1er-examen.zip

Miniatura no disponible
zip

practicas

-

Prácticas MatLab resueltas

He publicado nuevos practicas de 1º Métodos Numéricos en la Ingeniería Mecánica: Prácticas MatLab resueltas

Practica5.pdf
Practica4.pdf
Practica2.pdf
Practica3.pdf

apuntes

-

Métodos numéricos (apuntes y ejercicios)

He publicado nuevos apuntes de 1º Métodos Numéricos en la Ingeniería Mecánica: Métodos numéricos (apuntes y ejercicios)

Apuntes-polinomio-de-Lagrange.pdf
RESUMEN-curso-introduccion-MatLab.pdf
Cuaderno-ejercicios-metodos.pdf
Apuntes-metodos-numericos.pdf

practicas

-

T1 PRÁCTICAS

He publicado nuevos practicas de 1º Métodos Numéricos en la Ingeniería Mecánica: T1 PRÁCTICAS

Miniatura no disponible
practica2.zip
practica3.pdf
practica1.pdf
Miniatura no disponible
practica1.zip
Miniatura no disponible
practica3.zip
practica2.pdf

practicas

-

PRÁCTICA 5

He publicado nuevos practicas de 1º Métodos Numéricos en la Ingeniería Mecánica: PRÁCTICA 5

EJ2.pdf
EJ3.pdf
Miniatura no disponible
EJ2.zip
EJ1.pdf
Miniatura no disponible
EJ1.zip
Miniatura no disponible
EJ3.zip

practicas

-

PRÁCTICA 4

He publicado nuevos practicas de 1º Métodos Numéricos en la Ingeniería Mecánica: PRÁCTICA 4

p4-ENUNCIADO.pdf
Practica4-Ej3.pdf
Miniatura no disponible
Practica4-Ej3.zip
Miniatura no disponible
Practica4-Ej1.zip
Practica4-Ej1.pdf
Practica4-Ej2.pdf

examenes

-

Sols parciales continua

He publicado nuevos examenes de 1º Métodos Numéricos en la Ingeniería Mecánica: Sols parciales continua

PR2ECmetodos.pdf
PR1ECmetodos.pdf

He publicado nuevos apuntes de 1º Métodos Numéricos en la Ingeniería Mecánica: T3-ECUACIONES-DIFERENCIALES.pdf

3 páginas

He publicado nuevos apuntes de 1º Métodos Numéricos en la Ingeniería Mecánica: T2-APROX-FUNCIONES-POR-POLINOMIOS.pdf

7 páginas

He publicado nuevos apuntes de 1º Métodos Numéricos en la Ingeniería Mecánica: T1-RESOLUCION-DE-ECUACIONES-.pdf

10 páginas
Anónimo

@Anónimo

He publicado nuevos apuntes de 1º Métodos Numéricos en la Ingeniería Mecánica: Formularios-Metodos.pdf

21 páginas
Anónimo

@Anónimo

He publicado nuevos practicas de 3º Métodos Numéricos en la Ingeniería Mecánica: EXAMEN-PRACTICAS.pdf

5 páginas
Anónimo

@Anónimo

He publicado nuevos examenes de 3º Métodos Numéricos en la Ingeniería Mecánica: MNEM-y-Elas-Exam.pdf

11 páginas
Anónimo

@Anónimo

He publicado nuevos ejercicios de 3º Métodos Numéricos en la Ingeniería Mecánica: Entregable-3D.pdf

11 páginas
Anónimo

@Anónimo

He publicado nuevos trabajos de 3º Métodos Numéricos en la Ingeniería Mecánica: Entregable-Revolucion.pdf

9 páginas

apuntes

-

Examen y formulario (MNEM)

He publicado nuevos apuntes de 3º Métodos Numéricos en la Ingeniería Mecánica: Examen y formulario (MNEM)

MNEM-examen.pdf
Formulario.pdf
Examen-MN.pdf

He publicado nuevos apuntes de 3º Métodos Numéricos en la Ingeniería Mecánica: MEF.pdf

pdf

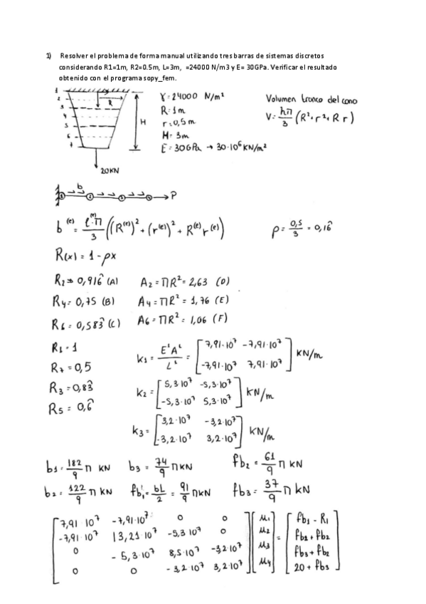
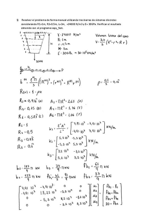
He publicado nuevos trabajos de 3º Métodos Numéricos en la Ingeniería Mecánica: PROBLEMA-SISTEMAS-DISCRETOS.pdf

4 páginas

He publicado nuevos practicas de 3º Métodos Numéricos en la Ingeniería Mecánica: P3MNEM.pdf

6 páginas

apuntes

-

Tema 4

He publicado nuevos apuntes de 3º Métodos Numéricos en la Ingeniería Mecánica: Tema 4

Practica7.pdf
Semana5.pdf
Practica6.pdf
Ejercicio-1-Practica-6.pdf
EjemploMEFpasoapaso.pdf
DASolidosBidimensionales.pdf

apuntes

-

Tema 3

He publicado nuevos apuntes de 3º Métodos Numéricos en la Ingeniería Mecánica: Tema 3

ExplicacionPractica5.pdf
Semana4.pdf
AdvancedRodElements.pdf
Practica5.pdf
DAElementosdebarraavanzados.pdf

apuntes

-

Tema 2

He publicado nuevos apuntes de 3º Métodos Numéricos en la Ingeniería Mecánica: Tema 2

ElementosFinitosdebarras.pdf
Practica4.pdf
Principio-de-los-trabajos-virtuales.pdf
EjemploTema2.pdf

apuntes

-

Tema 1

He publicado nuevos apuntes de 3º Métodos Numéricos en la Ingeniería Mecánica: Tema 1

ResolucionProblemaSistemasDiscretos.pdf
DASistemasDiscretos.pdf
IntroduccionalMEF.pdf
Sistemasdiscretos.pdf
EjemplosTema1.pdf
Primer-entregable-enunciado.pdf

ejercicios

-

Ejercicios

He publicado nuevos ejercicios de 1º Métodos Numéricos en la Ingeniería Mecánica: Ejercicios

practica13.m
ej7bis.m
practica1.m
ej25bis.m
parcial2new.m
parcial1new2.m

practicas

-

Solucion Practicas

He publicado nuevos practicas de 1º Métodos Numéricos en la Ingeniería Mecánica: Solucion Practicas

practica1054478.m
practica954478.m
practica854478.m
practica754478.m
practica554478.m
Practica154787.m

practicas

-

Practicas

He publicado nuevos practicas de 1º Métodos Numéricos en la Ingeniería Mecánica: Practicas

practica5.pdf
practica10.pdf
practica2.pdf
practica1.pdf
practica3.pdf
practica9.pdf