Métodos Numéricos I

chevron_left
chevron_right
Todo
Apuntes
Ejercicios
Exámenes
Prácticas
chevron_left
chevron_right
Anónimo

@Anónimo

El examen resuelto entero, genial para practicar, y ademas he puesto algunas indicaciones de como hacerlo todo para tener la maxima nota :D

7 páginas

He publicado nuevos practicas de 2º Métodos Numéricos I: Practica-3-RESUELTA.pdf

6 páginas

He publicado nuevos examenes de 2º Métodos Numéricos I: Examenes-Metodos-Numericos-I.pdf

8 páginas

He publicado nuevos practicas de 2º Métodos Numéricos I: Practica-1.2-RESUELTA.pdf

2 páginas
Anónimo

@Anónimo

He publicado nuevos practicas de 2º Métodos Numéricos I: Practica-1-RESUELTA.pdf

11 páginas
Anónimo

@Anónimo

He publicado nuevos practicas de 2º Métodos Numéricos I: Practica-4.pdf

5 páginas
Anónimo

@Anónimo

He publicado nuevos practicas de 2º Métodos Numéricos I: Practica-3.pdf

10 páginas
Anónimo

@Anónimo

He publicado nuevos practicas de 2º Métodos Numéricos I: Practica-2.2.pdf

7 páginas
Anónimo

@Anónimo

He publicado nuevos practicas de 2º Métodos Numéricos I: Practica-2.1.pdf

13 páginas
Anónimo

@Anónimo

He publicado nuevos practicas de 2º Métodos Numéricos I: Practica-1.pdf

7 páginas
Anónimo

@Anónimo

He publicado nuevos practicas de 2º Métodos Numéricos I: Practica-0.pdf

4 páginas
Anónimo

@Anónimo

He publicado nuevos practicas de 2º Métodos Numéricos I: Parcial-practicas-2022.pdf

5 páginas
Anónimo

@Anónimo

He publicado nuevos practicas de 2º Métodos Numéricos I: Ejercicios-varios-examenes-practicas.pdf

6 páginas

He publicado nuevos examenes de 2º Métodos Numéricos I: examenenero2024.pdf

1 página

12 de 20 :)

17 páginas

Están bastantes resueltos

16 páginas

He publicado nuevos ejercicios de 2º Métodos Numéricos I: Relacion-2-SOLUCION.pdf

24 páginas

He publicado nuevos apuntes de 2º Métodos Numéricos I: Tema-4.pdf

23 páginas

He publicado nuevos apuntes de 2º Métodos Numéricos I: Tema-3.pdf

28 páginas

He publicado nuevos apuntes de 2º Métodos Numéricos I: Tema-2.pdf

33 páginas

He publicado nuevos apuntes de 2º Métodos Numéricos I: Tema-1.pdf

27 páginas

He publicado nuevos apuntes de 2º Métodos Numéricos I: FORMULARIO.pdf

2 páginas

He publicado nuevos examenes de 2º Métodos Numéricos I: EJERCICIOS-EXAMENES.pdf

16 páginas

He publicado nuevos ejercicios de 2º Métodos Numéricos I: EJERCICIOS-DE-TODAS-LAS-RELACIONES.pdf

23 páginas

He publicado nuevos apuntes de 2º Métodos Numéricos I: DEMOSTRACIONES-IMPORTANTES.pdf

7 páginas

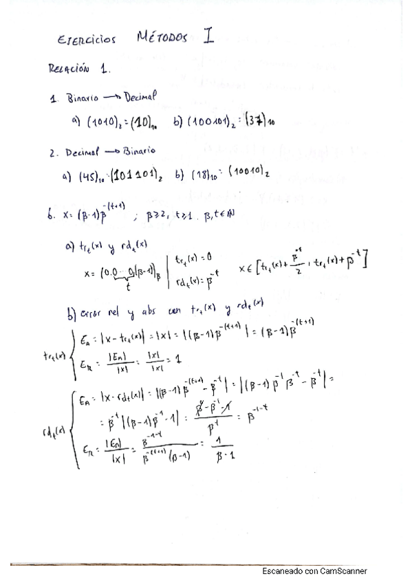
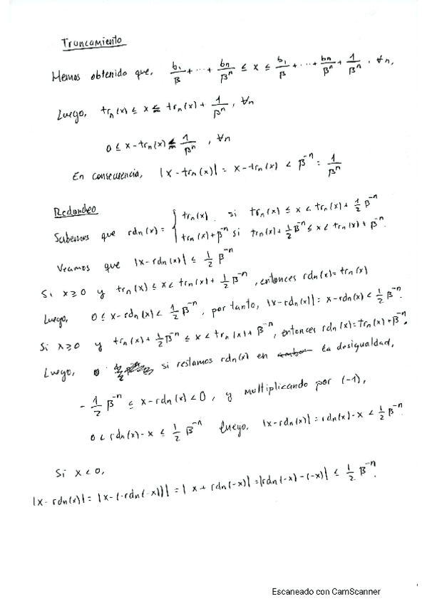
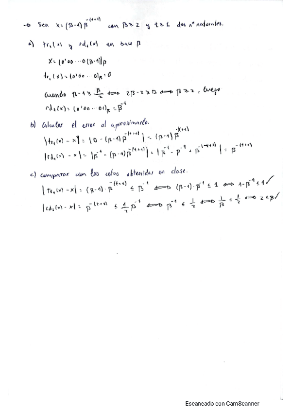
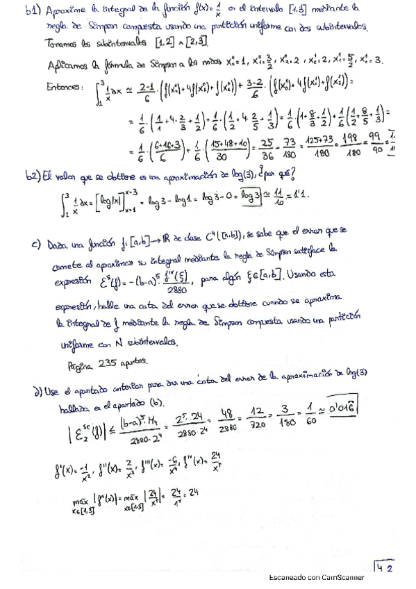
He publicado nuevos ejercicios de 2º Métodos Numéricos I: Relacion-1-RESUELTA.pdf

7 páginas

He publicado nuevos examenes de 2º Métodos Numéricos I: Algunos-ejercicios-examenes-Metodos-Numericos-I.pdf

54 páginas

He publicado nuevos ejercicios de 2º Métodos Numéricos I: Relacion-de-ejercicios-Tema-2-Metodos-Numericos-I.pdf

14 páginas

He publicado nuevos ejercicios de 2º Métodos Numéricos I: Relacion-de-ejercicios-Tema-1-Metodos-Numericos-I.pdf

18 páginas

He publicado nuevos apuntes de 2º Métodos Numéricos I: Repaso-Teoria-Metodos-Numericos-I.pdf

17 páginas

He publicado nuevos examenes de 2º Métodos Numéricos I: Ejercicios-Tema-4-Examenes.pdf

26 páginas

He publicado nuevos apuntes de 2º Métodos Numéricos I: Temario-y-Formulario.pdf

45 páginas

He publicado nuevos examenes de 2º Métodos Numéricos I: Ejercicios-Tema-2-Examenes.pdf

19 páginas

He publicado nuevos examenes de 2º Métodos Numéricos I: Ejercicios-Tema-3-Examenes.pdf

18 páginas

He publicado nuevos examenes de 2º Métodos Numéricos I: Metodos-I-resumen-por-temas--ejercicios-por-tema.pdf

119 páginas

He publicado nuevos examenes de 2º Métodos Numéricos I: Examen-Febrero-2018.pdf

8 páginas

He publicado nuevos apuntes de 2º Métodos Numéricos I: Resumen-Tema-1.pdf

8 páginas

He publicado nuevos apuntes de 2º Métodos Numéricos I: Resumen-Tema-4.pdf

10 páginas

He publicado nuevos examenes de 2º Métodos Numéricos I: Examen-Febrero-2022.pdf

9 páginas

He publicado nuevos examenes de 2º Métodos Numéricos I: Examen-Septiembre-2020.pdf

7 páginas

He publicado nuevos apuntes de 2º Métodos Numéricos I: Ejercicios-tipo-examen.pdf

4 páginas

He publicado nuevos examenes de 2º Métodos Numéricos I: Examen-Febrero-2020.pdf

9 páginas

He publicado nuevos apuntes de 2º Métodos Numéricos I: Resumen-Tema-3.pdf

8 páginas

He publicado nuevos examenes de 2º Métodos Numéricos I: Examen-Febrero-2017.pdf

7 páginas

He publicado nuevos examenes de 2º Métodos Numéricos I: Examen-Enero-2019.pdf

8 páginas

He publicado nuevos apuntes de 2º Métodos Numéricos I: Resumen-Tema-2.pdf

9 páginas

He publicado nuevos examenes de 2º Métodos Numéricos I: Examen-Septiembre-2018.pdf

6 páginas
Anónimo

@Anónimo

He publicado nuevos examenes de 2º Métodos Numéricos I: Febrero-2019-metodos.pdf

7 páginas

He publicado nuevos apuntes de 2º Métodos Numéricos I: Resumen-todo-Metodos-I.pdf

8 páginas
Anónimo

@Anónimo

He publicado nuevos examenes de 2º Métodos Numéricos I: Febrero-2022-metodos.pdf

6 páginas
Anónimo

@Anónimo

He publicado nuevos examenes de 2º Métodos Numéricos I: Febrero-2020-resuelto.pdf

8 páginas

He publicado nuevos examenes de 2º Métodos Numéricos I: examen-febrero-2022.pdf

12 páginas

He publicado nuevos apuntes de 2º Métodos Numéricos I: Resumen-Imprescindible-TODO-MNI.pdf

8 páginas

He publicado nuevos examenes de 2º Métodos Numéricos I: Examen-resuelto-2020-09-15.pdf

5 páginas

He publicado nuevos examenes de 2º Métodos Numéricos I: Examen-resuelto-2020-02-06.pdf

7 páginas

He publicado nuevos examenes de 2º Métodos Numéricos I: Examen-resuelto-2017-02-06.pdf

7 páginas

He publicado nuevos ejercicios de 2º Métodos Numéricos I: Relacion-2-resuelta.pdf

19 páginas

He publicado nuevos apuntes de 2º Métodos Numéricos I: Tema-3-Resumen.pdf

6 páginas

He publicado nuevos apuntes de 2º Métodos Numéricos I: Tema-4-Resumen.pdf

7 páginas

He publicado nuevos apuntes de 2º Métodos Numéricos I: Tema-1-Resumen.pdf

3 páginas