Todo
Apuntes
Ejercicios
Exámenes
Prácticas
Test
chevron_left
chevron_right

Este el fichero algoritmos que uso en todas la prácticas que he publicado

Miniatura no disponible

Plan nuevo

Miniatura no disponible

Plan nuevo

Miniatura no disponible

Plan nuevo

Miniatura no disponible

Plan nuevo

Miniatura no disponible

Plan nuevo

Miniatura no disponible

plan nuevo

Miniatura no disponible

Plan nuevo

Miniatura no disponible

Plan nuevo

Miniatura no disponible

He publicado nuevos apuntes de 3º Métodos Numéricos Ii: Resumen-II-metodos.pdf

6 páginas

He publicado nuevos apuntes de 3º Métodos Numéricos Ii: Tips-Octave.pdf

2 páginas

He publicado nuevos apuntes de 3º Métodos Numéricos Ii: Resumen-I-Metodos.pdf

8 páginas

He publicado nuevos apuntes de 3º Métodos Numéricos Ii: Tips-I-Metodos.pdf

3 páginas

ejercicios

-

Ejercicios Metodos II

He publicado nuevos ejercicios de 3º Métodos Numéricos Ii: Ejercicios Metodos II

3.RelPVI.pdf
Rel-2-parte-2.pdf
Rel-2-M.N.-parte-1.pdf
Rel-1-M.N.pdf

He publicado nuevos apuntes de 3º Métodos Numéricos Ii: Test-1.pdf

39 páginas

En sucio

7 páginas

ejercicios

-

Ejercicios entregables

He publicado nuevos ejercicios de 3º Métodos Numéricos Ii: Ejercicios entregables

EjercicioNR.pdf
EjercicioNR.pdf
Ej.pdf
Ej.pdf
Ejercicio-A-estable.pdf
Ejercicio-A-estable.pdf

ejercicios

-

Relaciones de ejercicios

He publicado nuevos ejercicios de 3º Métodos Numéricos Ii: Relaciones de ejercicios

3RelPVI.pdf
3RelPVI.pdf
2RelDerivIntegr.pdf
2RelDerivIntegr.pdf
1RelResolEcuac.pdf
1RelResolEcuac.pdf

He publicado nuevos examenes de 3º Métodos Numéricos Ii: Parcial2024.pdf

7 páginas

He publicado nuevos examenes de 3º Métodos Numéricos Ii: Final2022.pdf

4 páginas

He publicado nuevos examenes de 2º Métodos Numéricos Ii: Junio-2025-plan-antiguo.pdf

7 páginas

He publicado nuevos examenes de 2º Métodos Numéricos Ii: Examen-Junio-2025.pdf

1 página

He publicado nuevos examenes de 4º Métodos Numéricos Ii: Examen-MNII.pdf

2 páginas

He publicado nuevos examenes de 3º Métodos Numéricos Ii: Examenes.pdf

20 páginas
Anónimo

@Anónimo

He publicado nuevos examenes de 2º Métodos Numéricos Ii: Parcial-practicas-Mayo-2025.pdf

4 páginas

Teoría necesaria para aprobar el Parcial 2.

9 páginas

temario completo

13 páginas

He publicado nuevos ejercicios de 3º Métodos Numéricos Ii: Tema-1-Resumen-Y-Ejercicios.pdf

13 páginas

He publicado nuevos ejercicios de 3º Métodos Numéricos Ii: Tema-2-Resumen-Y-Ejercicios.pdf

15 páginas

He publicado nuevos ejercicios de 3º Métodos Numéricos Ii: Temas-3-y-4-Resumen-Y-Ejercicios.pdf

18 páginas

He publicado nuevos examenes de 3º Métodos Numéricos Ii: Ejercicios-Examenes-Resueltos.pdf

13 páginas

He publicado nuevos ejercicios de 3º Métodos Numéricos Ii: Tema-5.pdf

7 páginas

He publicado nuevos examenes de 3º Métodos Numéricos Ii: PruebasJunio(Integracion,PVI)-(Octave)(resueltas).pdf

5 páginas

He publicado nuevos examenes de 3º Métodos Numéricos Ii: Prueba2-Octave-(2021)(resuelta).pdf

3 páginas

ejercicios

-

Prácticas-T3

He publicado nuevos ejercicios de 3º Métodos Numéricos Ii: Prácticas-T3

PVIResuelta.pdf

He publicado nuevos ejercicios de 3º Métodos Numéricos Ii: Relacion-2.pdf

15 páginas

ejercicios

-

EjerciciosMetNum_II

He publicado nuevos ejercicios de 3º Métodos Numéricos Ii: EjerciciosMetNum_II

Rel1.pdf
Rel2Derivacion.pdf
Rel2Integracion.pdf
Rel3.pdf

ejercicios

-

Prácticas-T2

He publicado nuevos ejercicios de 3º Métodos Numéricos Ii: Prácticas-T2

Derivacion.pdf
Integracion.pdf

He publicado nuevos apuntes de 2º Métodos Numéricos Ii: TEMAS-1-Y-2-HASTA-METODOS-DIRECTOS-INCLUIDOS.pdf

11 páginas

He publicado nuevos examenes de 3º Métodos Numéricos Ii: Prueba1-Octave-(2025)(resuelta).pdf

6 páginas

He publicado nuevos apuntes de 3º Métodos Numéricos Ii: Tests-1a-Parte.pdf

46 páginas

He publicado nuevos ejercicios de 3º Métodos Numéricos Ii: Relacion-2.-OCTAVE.-Practica.pdf

8 páginas

He publicado nuevos examenes de 3º Métodos Numéricos Ii: Parcial1(resuelto).pdf

2 páginas

He publicado nuevos examenes de 3º Métodos Numéricos Ii: Prueba1-Octave-(2022)(resuelta).pdf

3 páginas

ejercicios

-

Prácticas-T1

He publicado nuevos ejercicios de 3º Métodos Numéricos Ii: Prácticas-T1

T1ecuacejprac01.pdf
T1ecuacejprac02.pdf
T1ecuacejprac03.pdf
T1ecuacejprac04.pdf
T1ecuacejprac07.pdf
T1ecuacejprac08.pdf

apuntes

-

Apuntes

He publicado nuevos apuntes de 3º Métodos Numéricos Ii: Apuntes

MNII-Apuntes-Tema-5.pdf
MNII-Apuntes-Tema-4.pdf
MNII-Apuntes-tema-3.pdf
MNII-Apuntes-Tema-2.pdf
MNII-RESUMEN-FINAL.pdf
MNII-T2-Parte2.pdf

apuntes

-

Recopilación ejercicios parciales

He publicado nuevos apuntes de 3º Métodos Numéricos Ii: Recopilación ejercicios parciales

Recopilacion-ejercicios-primer-parcial.pdf
Parcial-1-recopilacion-2-parte.pdf
Ejercicios-examenesmetodos.pdf

practicas

-

Test

He publicado nuevos practicas de 3º Métodos Numéricos Ii: Test

Test-Octave.pdf
Test-1-.pdf
Test-2-.pdf

He publicado nuevos ejercicios de 3º Métodos Numéricos Ii: Relacion-1.pdf

11 páginas

He publicado nuevos ejercicios de 3º Métodos Numéricos Ii: Tarea-Tema-5.pdf

6 páginas

practicas

-

Prácticas Matlab

He publicado nuevos practicas de 3º Métodos Numéricos Ii: Prácticas Matlab

Miniatura no disponible
Matlab.zip

He publicado nuevos examenes de 3º Métodos Numéricos Ii: Metodos-Numericos-II-Ordinario-2015.pdf

1 página

He publicado nuevos examenes de 3º Métodos Numéricos Ii: Metodos-Numericos-II-Parcial-3-2014.pdf

1 página

He publicado nuevos examenes de 3º Métodos Numéricos Ii: Metodos-Numericos-II-Parcial-2-2014.pdf

1 página

He publicado nuevos examenes de 3º Métodos Numéricos Ii: Metodos-Numericos-II-Parcial-1-2023.pdf

1 página

He publicado nuevos examenes de 3º Métodos Numéricos Ii: Metodos-Numericos-II-Parcial-1-2014.pdf

1 página

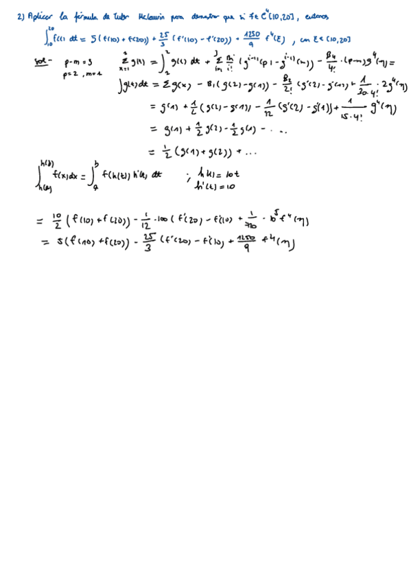
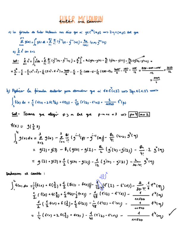
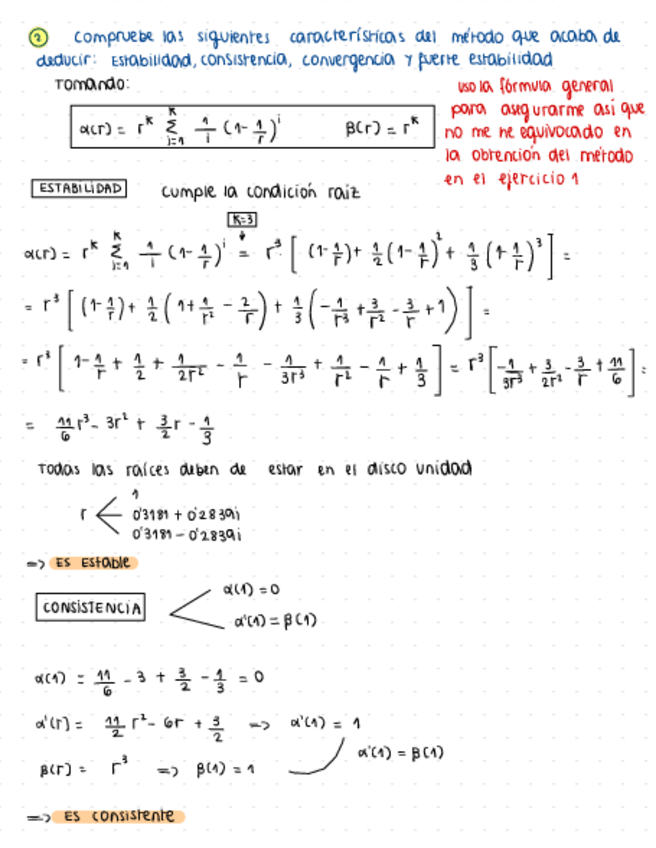
He publicado nuevos apuntes de 4º Métodos Numéricos Ii: Euler-Mclaurin.pdf

3 páginas

apuntes

-

Ejercicios Propuestos

He publicado nuevos apuntes de 3º Métodos Numéricos Ii: Ejercicios Propuestos

MNII-Ejercicios-propuestos-T4.pdf
MNII-Ejercicios-Propuestos-T2.pdf
MNII-Ejercicios-Propuestos-T1.pdf
MNII-Tarea-tema-5.pdf

apuntes

-

Ejercicios Resueltos

He publicado nuevos apuntes de 3º Métodos Numéricos Ii: Ejercicios Resueltos

MNII-Ejercicios-Resueltos-T3.pdf
Anónimo

@Anónimo

He publicado nuevos examenes de 2º Métodos Numéricos Ii: Examen-Enero-2025-Resuelto.pdf

4 páginas