Todo
Apuntes
Ejercicios
Exámenes
chevron_left
chevron_right

examenes

-

Parcial I 2021

He publicado nuevos examenes de 3º Métodos Numéricos Ii: Parcial I 2021

Parc1EscrAmie-2.pdf
Parc1PracAmie.pdf

apuntes

-

Temas teoría

He publicado nuevos apuntes de 3º Métodos Numéricos Ii: Temas teoría

MNII-TEMA3.pdf
MNII-TEMA2.pdf
MNII-TEMA1.pdf

He publicado nuevos ejercicios de 3º Métodos Numéricos Ii: mn2ejercicios.pdf

78 páginas

He publicado nuevos apuntes de 3º Métodos Numéricos Ii: mn2apuntes.pdf

58 páginas

examenes

-

Ej de examen.

He publicado nuevos examenes de 3º Métodos Numéricos Ii: Ej de examen.

Parcial1-E418.pdf
Parcial1-E312.pdf
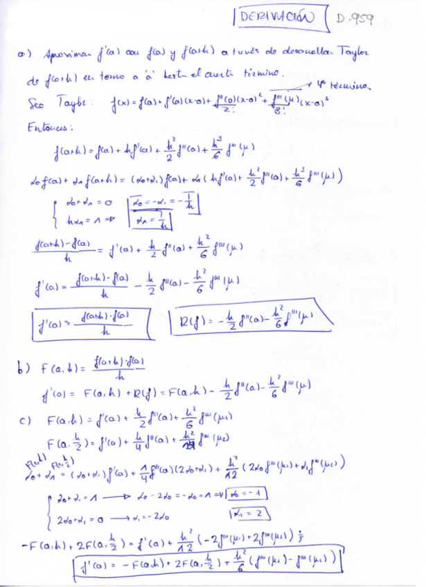
solderivacion.pdf
Parcial1-D343.pdf
solecuaciones.pdf

ejercicios

-

Sol tipo test. Todos los temas.

He publicado nuevos ejercicios de 3º Métodos Numéricos Ii: Sol tipo test. Todos los temas.

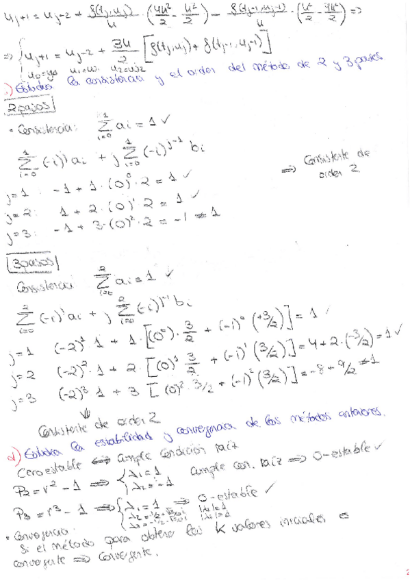
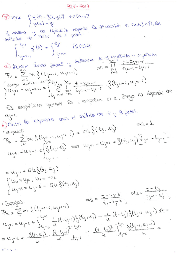
PVI.pdf
test2.pdf
test1.pdf
test2int.pdf
test3.pdf
¡Estás al día!

¡Estás al día!

Has visto todos los archivos