Métodos Numéricos para el Álgebra Lineal

chevron_left
chevron_right
Todo
Apuntes
Exámenes
Prácticas
Trabajos
chevron_left
chevron_right

He publicado nuevos examenes de 2º Métodos Numéricos para el Álgebra Lineal: Examen-MNAL-gener-2026.pdf

2 páginas

Resumen del método de Jacobi y el método de Gauss-Seidel para resolver Sistemas de Ecuaciones Lineales

3 páginas

Tema: Mètodes iteratius per resoldre SELs / Professora: Marta Hidalgo / Grup: Valencià

5 páginas

Pràctica 8

10 páginas

Pràctica 7

4 páginas

Pràctica 6

4 páginas

examenes

-

Exámenes MNAL resueltos

Exámenes MNAL resueltos por el profesor. Resolución del examen enero 2025 en el siguiente enlace: https://wuolah.com/apuntes/documento/11471760?utm_source=wuolah&utm_medium=referral&utm_campaign=file-openfile

Control-1-Practicas-MNAL-2025.pdf
Control-1-Practicas-MNAL-2025-Resuelto.pdf
Control-2-Practicas-MNAL-2025.pdf
Control-2-Practicas-MNAL-2025-Resuelto.pdf
Control-Teoria-MNAL-2025.pdf
Control-Teoria-MNAL-2025-Resuelto.pdf

apuntes

-

Seminarios MNAL

He publicado nuevos apuntes de 2º Métodos Numéricos para el Álgebra Lineal: Seminarios MNAL

Seminario-1-MNAL.pdf
Seminario-2-MNAL.pdf
Seminario-3-MNAL.pdf
Seminario-4-MNAL.pdf

Tema: Pivotatge parcial / Professora: Marta Hidalgo / Grup: Valencià

6 páginas

Tema: Mètodes per a valors i vectors propis / Professora: Marta Hidalgo / Grup: Valencia

8 páginas

Tema: Sistemes lineals i la seua solució numèrica/ Professora: Marta Hidalgo / Grup: Valencia

7 páginas

Tema: Met.directes i Sist.triangulars /Professor: Marta Hidalgo / Grup: Valencià

3 páginas

Tema: Propietats i matrius especials /Professor: Marta Hidalgo / Grup: Valencià

5 páginas

Tema: Eliminació Gaussiana /Professor: Marta Hidalgo / Grup: Valencià

5 páginas

practicas

-

PRÁCTICAS MNAL

He publicado nuevos practicas de 2º Métodos Numéricos para el Álgebra Lineal: PRÁCTICAS MNAL

Practica1MNAL.pdf
Practica2MNAL.pdf
Practica3MNAL.pdf
Practica4MNAL.pdf
Practica5MNAL.pdf

Pràctica5

4 páginas

Pràctica 4

4 páginas

Pràctica 3

4 páginas

Pràctica 2

4 páginas

Pràctica 1

5 páginas

apuntes

-

APUNTES MNAL

He publicado nuevos apuntes de 2º Métodos Numéricos para el Álgebra Lineal: APUNTES MNAL

Tema1.-MNAL.pdf

He publicado nuevos apuntes de 2º Métodos Numéricos para el Álgebra Lineal: tema5metodos.pdf

5 páginas

tema 4 apuntes y cuestiones resueltas en clase

7 páginas

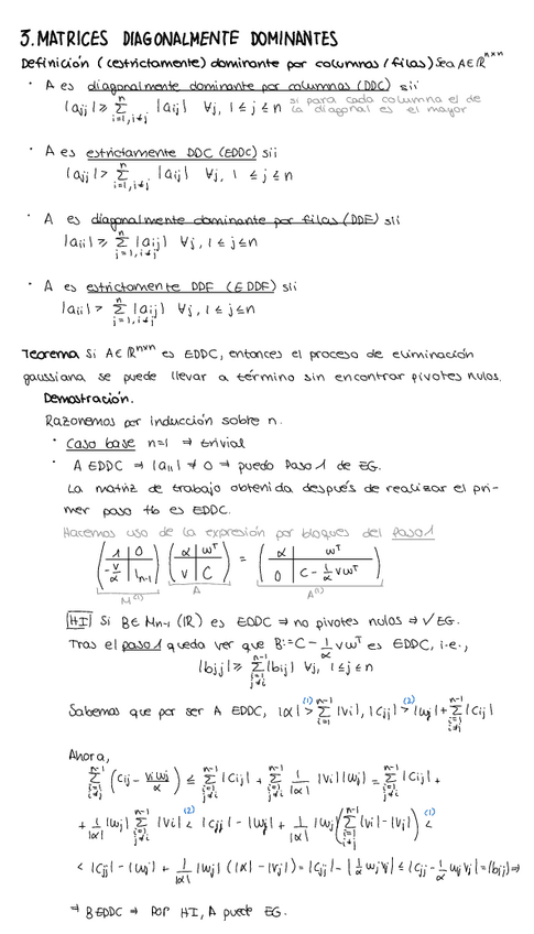
tema 3 apuntes

7 páginas

apuntes temas 1 y 2 con ejemplos resueltos

8 páginas

He publicado nuevos apuntes de 2º Métodos Numéricos para el Álgebra Lineal: Guia-metodos-completa.pdf

151 páginas

Está incompleto el resultado 7.2.1 por parra histórica, perdón por las molestias :)

66 páginas

He publicado nuevos practicas de 2º Métodos Numéricos para el Álgebra Lineal: PRÀCTIQUES MNAL.pdf

4 páginas

He publicado nuevos apuntes de 2º Métodos Numéricos para el Álgebra Lineal: PRAC3MNAL.pdf

4 páginas

He publicado nuevos apuntes de 2º Métodos Numéricos para el Álgebra Lineal: PRAC2MNAL.pdf

5 páginas

He publicado nuevos apuntes de 2º Métodos Numéricos para el Álgebra Lineal: PRAC4MNAL.pdf

5 páginas

He publicado nuevos apuntes de 2º Métodos Numéricos para el Álgebra Lineal: PRAC5MNAL.pdf

5 páginas

He publicado nuevos apuntes de 2º Métodos Numéricos para el Álgebra Lineal: PRAC7MNAL.pdf

3 páginas

He publicado nuevos apuntes de 2º Métodos Numéricos para el Álgebra Lineal: PRAC6MNAL.pdf

3 páginas

He publicado nuevos apuntes de 2º Métodos Numéricos para el Álgebra Lineal: PRAC9MNAL.pdf

6 páginas

He publicado nuevos apuntes de 2º Métodos Numéricos para el Álgebra Lineal: PRAC8MNAL.pdf

5 páginas

apuntes

-

Apuntes Métodos Numéricos

métodos para dormirse en clase

twojametoda.pdf
fllmetoda.pdf
mnal.pdf
EXAMENES.docx

He publicado nuevos examenes de 2º Métodos Numéricos para el Álgebra Lineal: Enero2024sol.pdf

10 páginas

apuntes

-

Teoría

He publicado nuevos apuntes de 2º Métodos Numéricos para el Álgebra Lineal: Teoría

Tema-1-Introduccion.pdf
Tema-2-Metodos-directos-y-sistemas-triangulares.pdf
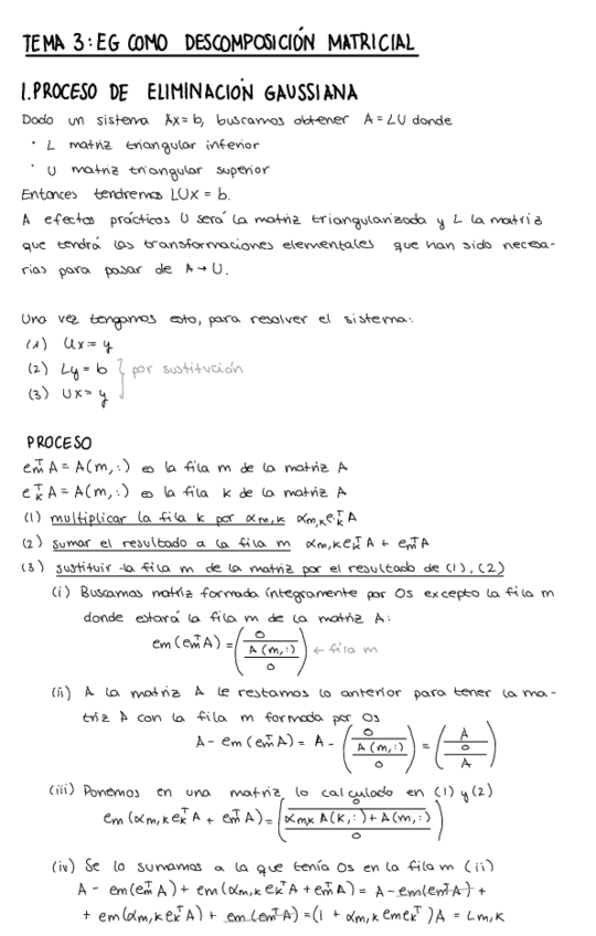
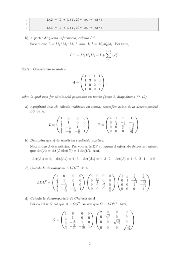
Tema-3-La-eliminacion-Gaussiana-como-descomposicion-matricial.pdf
Tema-4-Matrices-especiales-y-propiedades-de-la-descomposicion-LU.pdf
Tema-5-La-eliminación gaussina con pivoteo parcial: PA = LU.pdf
Tema-6-Sistemas-lineales-y-su-solucion-numerica.pdf

apuntes

-

Teoría

He publicado nuevos apuntes de 2º Métodos Numéricos para el Álgebra Lineal: Teoría

Tema-1-Introduccion.pdf
Tema-2-Metodos-directos-y-sistemas-triangulares.pdf
Tema-3-La-eliminacion-Gaussiana-como-descomposicion-matricial.pdf
Tema-4-Matrices-especiales-y-propiedades-de-la-descomposicion-LU.pdf
Tema-5-La-eliminacion-gaussiana-con-pivoteo-parcial-PA-LU.pdf
Tema-6-Sistemas-lineales-y-su-solucion-numerica.pdf

He publicado nuevos apuntes de 2º Métodos Numéricos para el Álgebra Lineal: T8-MNAL-p.pdf

5 páginas

He publicado nuevos apuntes de 2º Métodos Numéricos para el Álgebra Lineal: T7-MNAL-p.pdf

4 páginas

He publicado nuevos apuntes de 2º Métodos Numéricos para el Álgebra Lineal: T6-MNAL-p.pdf

10 páginas

He publicado nuevos apuntes de 2º Métodos Numéricos para el Álgebra Lineal: T5-MNAL-p.pdf

2 páginas

He publicado nuevos apuntes de 2º Métodos Numéricos para el Álgebra Lineal: T4-MNAL-p.pdf

4 páginas

He publicado nuevos apuntes de 2º Métodos Numéricos para el Álgebra Lineal: T3-MNAL-p.pdf

4 páginas

He publicado nuevos apuntes de 2º Métodos Numéricos para el Álgebra Lineal: T2-MNAL-p.pdf

3 páginas

He publicado nuevos apuntes de 2º Métodos Numéricos para el Álgebra Lineal: cuestiones.pdf

1 página

He publicado nuevos apuntes de 2º Métodos Numéricos para el Álgebra Lineal: cuestiones.pdf

1 página

He publicado nuevos apuntes de 2º Métodos Numéricos para el Álgebra Lineal: controlteoriasol.pdf

7 páginas

He publicado nuevos apuntes de 2º Métodos Numéricos para el Álgebra Lineal: Resultados-Importantes.pdf

9 páginas

He publicado nuevos apuntes de 2º Métodos Numéricos para el Álgebra Lineal: Resumet.pdf

5 páginas

He publicado nuevos apuntes de 2º Métodos Numéricos para el Álgebra Lineal: Resum-Metodes.pdf

27 páginas

apuntes

-

EXAMENS MNAL

He publicado nuevos apuntes de 2º Métodos Numéricos para el Álgebra Lineal: EXAMENS MNAL

2013-Teoria-Diciembre-con-respuesta-Metodos.pdf
2014-Teoria-Enero-Metodos.pdf
controlT15-2.pdf
exmnaljul20.pdf
exmnaljul13.pdf
exmnal13b.pdf

He publicado nuevos practicas de 2º Métodos Numéricos para el Álgebra Lineal: PracticasMNAL.pdf

47 páginas

He publicado nuevos apuntes de 2º Métodos Numéricos para el Álgebra Lineal: Tema-8.pdf

4 páginas
Anónimo

@Anónimo

practicas

-

Pràctiques Mètodes (fetes)

He publicado nuevos practicas de 2º Métodos Numéricos para el Álgebra Lineal: Pràctiques Mètodes (fetes)

Practica-1.pdf
Practica-2.pdf
Practica-3.pdf
Practica-4.pdf
Practica-5.pdf
Practica-6.pdf

He publicado nuevos apuntes de 2º Métodos Numéricos para el Álgebra Lineal: Tema-7.pdf

2 páginas

He publicado nuevos apuntes de 2º Métodos Numéricos para el Álgebra Lineal: Tema-5.pdf

2 páginas

He publicado nuevos apuntes de 2º Métodos Numéricos para el Álgebra Lineal: Tema-4.pdf

3 páginas