Métodos Numéricos y Optimizacion

chevron_left
chevron_right
Todo
Apuntes
Ejercicios
Exámenes
Prácticas
chevron_left
chevron_right

apuntes

-

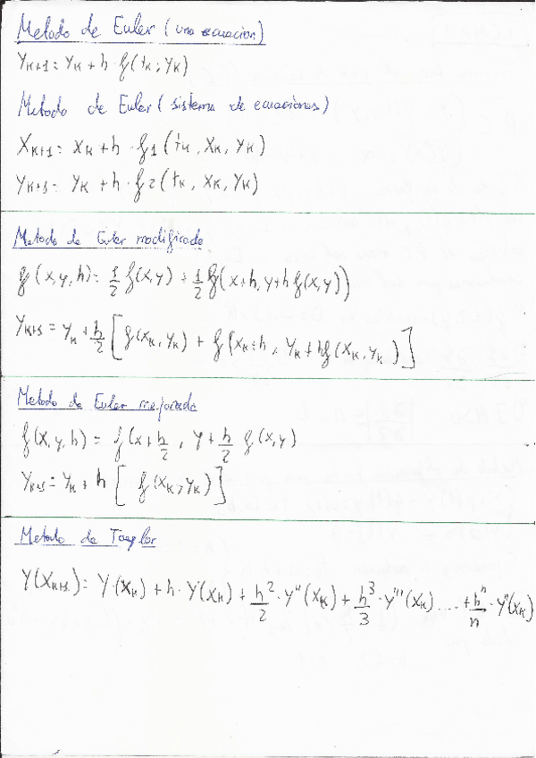
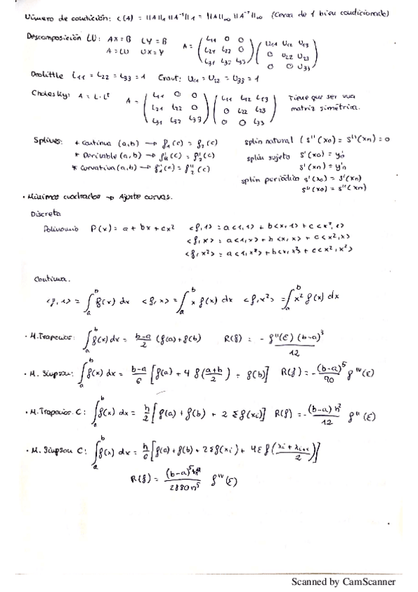
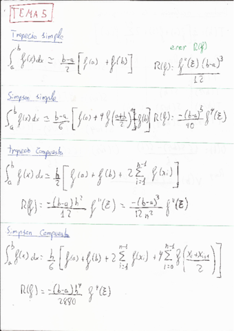
FORMULARIO DEFINITIVO METODOS

Están todas las formulas que necesitas saber para el examen de métodos numéricos del TEMA 1 al TEMA 5, además de las verificaciones de convergencia de cada método.

FORMULARIO-DEFINITIVO-METODOS-1.jpeg
FORMULARIO-DEFINITIVO-METODOS.jpeg
Anónimo

@Anónimo

Resumen de teoría métodos numéricos

Miniatura no disponible
https://wuolah.com/apuntes/metodos-numericos-y-optimizacion/resumen-general-metodos-numericos-pdf-9584589?utm_source=wuolah&utm_medium=referral&utm_campaign=file-sharefile&referral=__b__805
Anónimo

@Anónimo

Relación tema 2

Miniatura no disponible
https://wuolah.com/apuntes/metodos-numericos-y-optimizacion/relacion-tema-2-pdf-9151995?utm_source=wuolah&utm_medium=referral&utm_campaign=file-sharefile&referral=__b__805
Anónimo

@Anónimo

Relación tema 3

Miniatura no disponible
https://wuolah.com/apuntes/metodos-numericos-y-optimizacion/relacion-tema-3-pdf-9412331?utm_source=wuolah&utm_medium=referral&utm_campaign=file-sharefile&referral=__b__805
Anónimo

@Anónimo

Relación tema 4

Miniatura no disponible
https://wuolah.com/apuntes/metodos-numericos-y-optimizacion/relacion-tema-4-pdf-9603825?utm_source=wuolah&utm_medium=referral&utm_campaign=file-sharefile&referral=__b__805
Anónimo

@Anónimo

Relación tema 1

Miniatura no disponible
https://wuolah.com/apuntes/metodos-numericos-y-optimizacion/relacion-tema-1-pdf-9611171?utm_source=wuolah&utm_medium=referral&utm_campaign=file-sharefile&referral=__b__805
Anónimo

@Anónimo

Relación tema 5

Miniatura no disponible
https://wuolah.com/apuntes/metodos-numericos-y-optimizacion/relacion-tema-5-pdf-9640460?utm_source=wuolah&utm_medium=referral&utm_campaign=file-sharefile&referral=__b__805

He publicado nuevos practicas de 2º Métodos Numéricos y Optimizacion: Autoevaluacion4-Metodos-Numericos.pdf

1 página

He publicado nuevos practicas de 2º Métodos Numéricos y Optimizacion: Autoevaluacion5-Metodos-Numericos.pdf

1 página

He publicado nuevos apuntes de 2º Métodos Numéricos y Optimizacion: RESUMEN-FORMULAS.pdf

3 páginas

apuntes

-

APUNTES RESUMEN CON FORMULAS

He publicado nuevos apuntes de 2º Métodos Numéricos y Optimizacion: APUNTES RESUMEN CON FORMULAS

Integracion-Numerica-T5.pdf
RESUMEN-COMPLETO.pdf
Problemas-de-valor-inicial-y-problemas-de-contorno-T1.pdf
Resolucion-numerica-de-ecuaciones-T2.pdf
Interpolacion-y-Aproximacion-T4.pdf
Resolucion-Numerica-de-Sistemas-de-Ecuaciones-T3.pdf

ejercicios

-

EJER TEMA 4 RESUELTOS

He publicado nuevos ejercicios de 2º Métodos Numéricos y Optimizacion: EJER TEMA 4 RESUELTOS

EJERCICIOS-TEMA-4-MNyO-RESUELTOS.pdf
EJERCICIOS-TEMA-4-MNyO-E8.pdf
EJERCICIOS-TEMA-4-MNyO-E5.pdf
EJERCICIOS-TEMA-4-MNyO-E2.pdf
EJERCICIOS-TEMA-4-MNyO-E1.pdf
EJERCICIOS-TEMA-4-MNyO-E6.pdf

ejercicios

-

EJER TEMA 5 RESUELTOS

He publicado nuevos ejercicios de 2º Métodos Numéricos y Optimizacion: EJER TEMA 5 RESUELTOS

EJERCICIOS-TEMA-5-MNyO-E7.pdf
EJERCICIOS-TEMA-5-MNyO-E8.pdf
EJERCICIOS-TEMA-5-MNyO-E5.pdf
EJERCICIOS-TEMA-5-MNyO-E3.pdf
EJERCICIOS-TEMA-5-MNyO-RESUELTOS.pdf

He publicado nuevos practicas de 2º Métodos Numéricos y Optimizacion: entrega.zip

Miniatura no disponible
zip

He publicado nuevos practicas de 2º Métodos Numéricos y Optimizacion: Practica-2.rar

Miniatura no disponible
rar

He publicado nuevos practicas de 2º Métodos Numéricos y Optimizacion: Practica-3.rar

Miniatura no disponible
rar
Anónimo

@Anónimo

examenes

-

exámenes años anteriores

He publicado nuevos examenes de 2º Métodos Numéricos y Optimizacion: exámenes años anteriores

CONTROL-2-2014-ENUNCIADO.pdf
EXAMEN-FEBRERO-2013-ENUNCIADO.pdf
EXAMEN-DICIEMBRE-2013-ENUNCIADO.pdf
CONTROL-1-2014-ENUNCIADO.pdf
EXAMEN-FEBRERO-2012-ENUNCIADO.pdf
EXAMEN-DICIEMBRE-2015-RESUELTO.pdf

ejercicios

-

EJER EXAMENES RESUELTOS

He publicado nuevos ejercicios de 2º Métodos Numéricos y Optimizacion: EJER EXAMENES RESUELTOS

EJERCICIOS-DE-EXAMENES-E4-y-E5-.pdf
EJERCICIOS-DE-EXAMENES-E6-y-E7-.pdf
EJERCICIOS-DE-EXAMENES-RESUELTOS.pdf
EJERCICIOS-DE-EXAMENES-E1-y-E2.pdf
EJERCICIOS-DE-EXAMENES-e11.pdf
EJERCICIOS-DE-EXAMENES-E8-y-E9-.pdf

apuntes

-

Resumen temario.

He publicado nuevos apuntes de 2º Métodos Numéricos y Optimizacion: Resumen temario.

20191128092113.jpg
20191128092042.jpg
20191128092026.jpg
20191128092059.jpg

He publicado nuevos apuntes de 2º Métodos Numéricos y Optimizacion: NuevoDocumento-2019-08-24-12.pdf

4 páginas

examenes

-

Parciales 15/16

He publicado nuevos examenes de 2º Métodos Numéricos y Optimizacion: Parciales 15/16

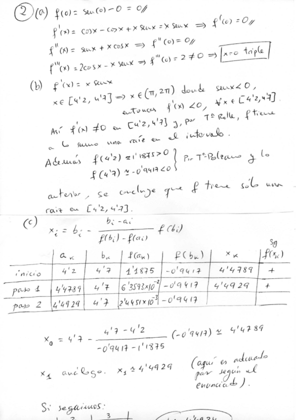
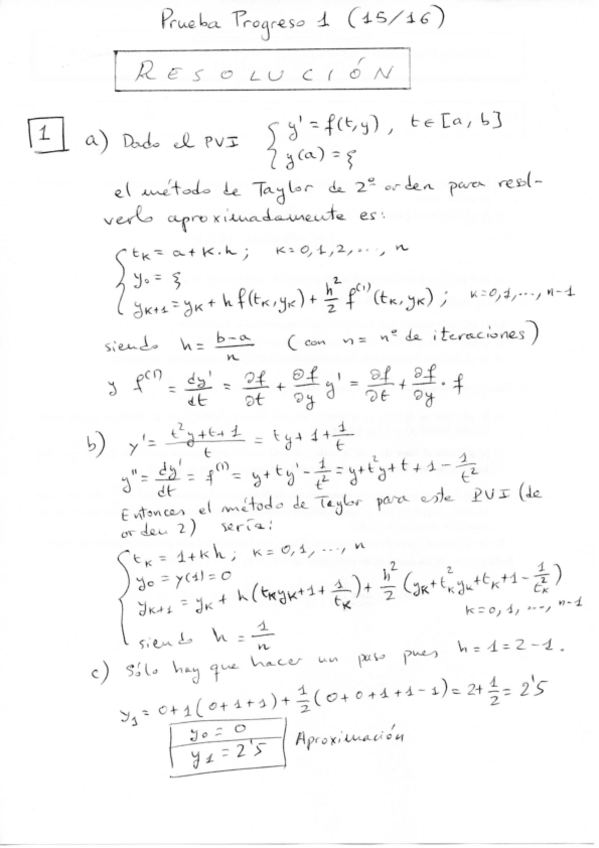
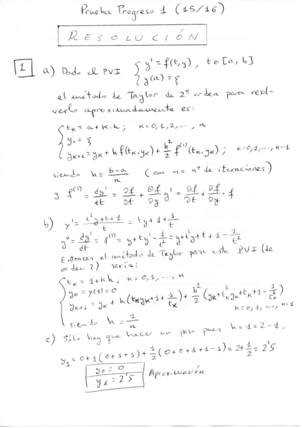
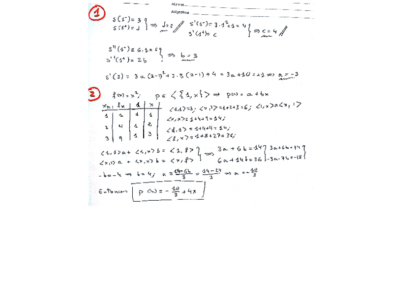
PProg11516Resuelto.pdf
Pprog11516.pdf
PProg21516Resuelto.pdf

He publicado nuevos examenes de 2º Métodos Numéricos y Optimizacion: Ejercicio-11-Tema-2.pdf

2 páginas

He publicado nuevos apuntes de 2º Métodos Numéricos y Optimizacion: Formulario.pdf

5 páginas

examenes

-

Ejercicios exámenes resueltos

He publicado nuevos examenes de 2º Métodos Numéricos y Optimizacion: Ejercicios exámenes resueltos

Ejer-EXAMENES-RESUELTOS.pdf
Optimizacion--Lagrangiana-EXAMENES.pdf
Ejercicios-tipo-examen.pdf

ejercicios

-

Ejercicios Resueltos

He publicado nuevos ejercicios de 2º Métodos Numéricos y Optimizacion: Ejercicios Resueltos

Ejer-T4-RESUELTOS.pdf
Ejercicios-T1-RESUELTOS.pdf
Ejer-T2-RESUELTOS.pdf
Ejer-T3-RESUELTOS.pdf
Ejercicio-metodo-Jacobi-.pdf

apuntes

-

Exámenes resueltos

He publicado nuevos apuntes de 2º Métodos Numéricos y Optimizacion: Exámenes resueltos

Exam_2016.febrero.Industriales.resuelto.pdf
Exam_2017.febrero.Industriales.resuelto.pdf
Exam_2018.febrero.Industriales.resuelto.pdf
Exam_2017.parcial.2.CN.Industriales resuelto.pdf
Exam_2016.enero.Industriales.resuelto.pdf
Exam_2017.parcial.1.CN.Industriales(2).pdf

apuntes

-

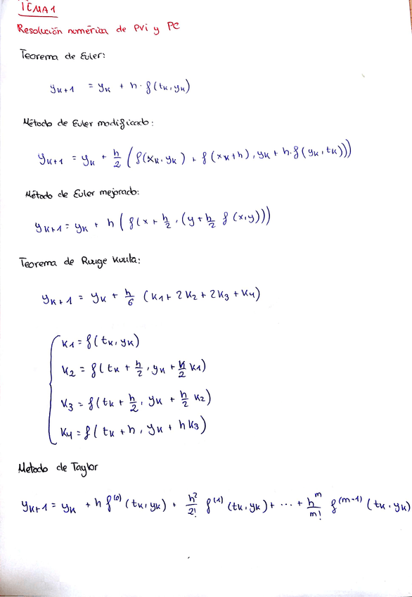
Tema 1 (Teoría y ejemplos)

He publicado nuevos apuntes de 2º Métodos Numéricos y Optimizacion: Tema 1 (Teoría y ejemplos)

NuevoDocumento 2019-01-08 11.23.20_4.jpg
NuevoDocumento 2019-01-08 11.23.20_3.jpg
NuevoDocumento 2019-01-08 11.23.20_2.jpg
NuevoDocumento 2019-01-08 11.23.20_1.jpg

apuntes

-

resumen temas

He publicado nuevos apuntes de 2º Métodos Numéricos y Optimizacion: resumen temas

Tema 1-1.pdf
Tema 1-2.pdf
Tema 2-1.pdf
Tema 2-2.pdf
Tema 3-1.pdf
Tema 3-2.pdf

apuntes

-

resumen temas

He publicado nuevos apuntes de 2º Métodos Numéricos y Optimizacion: resumen temas

Tema 4-1.pdf
Tema 4-2.pdf
Tema 5-1.pdf
Tema 5-2.pdf

He publicado nuevos examenes de 2º Métodos Numéricos y Optimizacion: Pprog1_16_17_1.pdf

2 páginas

He publicado nuevos examenes de 2º Métodos Numéricos y Optimizacion: P_Prog2_15_16_Resuelto.pdf

3 páginas

He publicado nuevos examenes de 2º Métodos Numéricos y Optimizacion: Exam_2016.febrero.Industriales V2.pdf

2 páginas

He publicado nuevos examenes de 2º Métodos Numéricos y Optimizacion: Pprog1_16_17_3.pdf

2 páginas

He publicado nuevos examenes de 2º Métodos Numéricos y Optimizacion: Febrero2014.pdf

2 páginas

He publicado nuevos examenes de 2º Métodos Numéricos y Optimizacion: P_Prog1_15_16_Resuelto.pdf

4 páginas

He publicado nuevos examenes de 2º Métodos Numéricos y Optimizacion: CONTROL_01.pdf

1 página

He publicado nuevos examenes de 2º Métodos Numéricos y Optimizacion: CONTROL_02.pdf

1 página

He publicado nuevos examenes de 2º Métodos Numéricos y Optimizacion: Febrero_16_17_resuelto(1).pdf

6 páginas

He publicado nuevos examenes de 2º Métodos Numéricos y Optimizacion: Pprog1_16_17_2.pdf

2 páginas

He publicado nuevos examenes de 2º Métodos Numéricos y Optimizacion: Pprog2_16_17_2.pdf

2 páginas

He publicado nuevos examenes de 2º Métodos Numéricos y Optimizacion: Pprog2_16_17.pdf

2 páginas
¡Estás al día!

¡Estás al día!

Has visto todos los archivos