Todo
Apuntes
Ejercicios
Exámenes
Prácticas
chevron_left
chevron_right

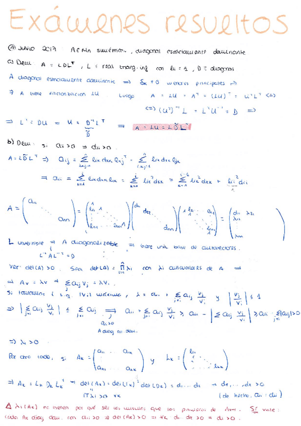
He publicado nuevos examenes de 3º Métodos Numéricos: Examenes.pdf

15 páginas

ejercicios

-

Ejercicios resueltos

He publicado nuevos ejercicios de 3º Métodos Numéricos: Ejercicios resueltos

Metodos-directos.pdf
Ecuaciones-no-lineales.pdf
Diferenciacion-e-integracion.pdf
Metodos-iterativos.pdf
Interpolacion-polinomica-y-splines.pdf
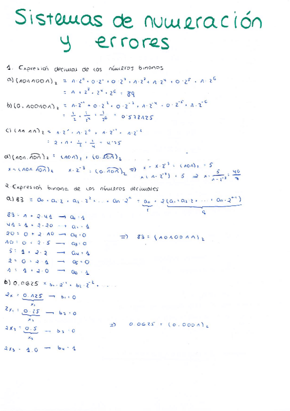
Sistemas-numeracion-y-errores.pdf

He publicado nuevos apuntes de 3º Métodos Numéricos: Resumen.pdf

10 páginas

He publicado nuevos apuntes de 3º Métodos Numéricos: Apuntes.pdf

40 páginas

Profesor: Juan Antonio Infante

8 páginas