Todo
Apuntes
Ejercicios
chevron_left
chevron_right

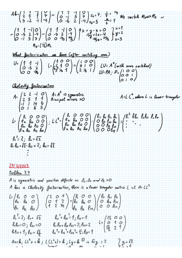
He publicado nuevos apuntes de 1º Métodos Numéricos

Miniatura no disponible
https://bancodeapuntesepigijon.blogspot.com/

He publicado nuevos apuntes de 1º Métodos Numéricos: metodos-numericos-unidades-1-y-2.pdf

15 páginas
Anónimo

@Anónimo

He publicado nuevos ejercicios de 1º Métodos Numéricos: Ejercicios-3.pdf

3 páginas
Anónimo

@Anónimo

He publicado nuevos ejercicios de 1º Métodos Numéricos: Ejercicios-2.pdf

5 páginas
Anónimo

@Anónimo

He publicado nuevos ejercicios de 1º Métodos Numéricos: Ejercicios-1.pdf

2 páginas
Anónimo

@Anónimo

He publicado nuevos apuntes de 1º Métodos Numéricos: Metodos-Fortuny.pdf

43 páginas