Métodos Numéricos
He publicado nuevos ejercicios de 2º Métodos Numéricos: Ejercicios-2o-Parcial.pdf
He publicado nuevos ejercicios de 2º Métodos Numéricos: Ejercicios-1er-parcial.pdf
He publicado nuevos practicas de 2º Métodos Numéricos: Cuaderno-Tarea-Sistemas.nb
He publicado nuevos ejercicios de 2º Métodos Numéricos: Cuaderno-Tarea-PVI.nb
He publicado nuevos ejercicios de 2º Métodos Numéricos: Ejercicios-tema-4.pdf
He publicado nuevos ejercicios de 2º Métodos Numéricos: Ejercicios-tema-3.pdf
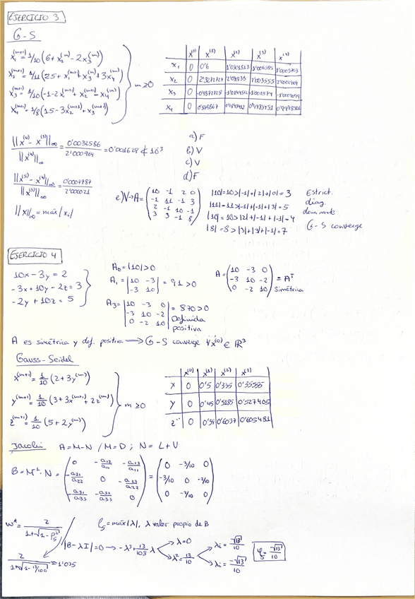
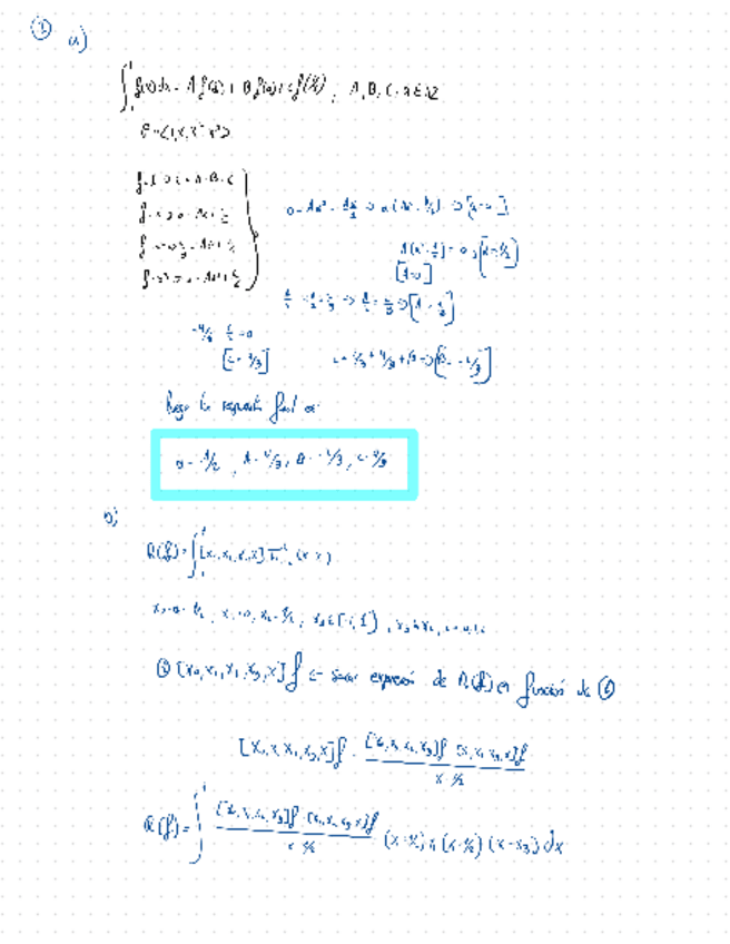
Ejercicio 9 relación tema 3 por el método newton raphson, ordinaria 25
He publicado nuevos ejercicios de 2º Métodos Numéricos: Ejercicios-tema-2.pdf
He publicado nuevos ejercicios de 2º Métodos Numéricos: Ejercicios-tema-1.pdf
He publicado nuevos apuntes de 2º Métodos Numéricos: Relacion-1-y-parciales-resueltos.pdf
INICIO DE CURSO MÉTODOS NUMÉRICOS ACADEMIA UNIVERSITARIA FORMACIÓN MANUEL POZO Clases modalidad online y presencial. Todas tus CLASES GRABADAS PARA QUE PUEDAS VISUALIZARLAS HASTA EL DÍA DEL EXAMEN Resolución de todos tus ejercicios y exámenes de convocatorias anteriores. Profesores especialidados y temario propio. Acceso a PLATAFORMA VIRTUAL CON CONTENIDO EXCLUSIVO ¡Solicita tu clase de prueba en grupo sin compromiso!

He publicado nuevos examenes de 2º Métodos Numéricos: Enunciados-ord2025.pdf
He publicado nuevos examenes de 2º Métodos Numéricos: Enunciados-parciales.pdf
He publicado nuevos apuntes de 2º Métodos Numéricos: RESUMENT4T5T6EXTRAS.pdf
practicas
-
Prácticas Mathematica
He publicado nuevos practicas de 2º Métodos Numéricos: Prácticas Mathematica
ejercicios
-
Otra Forma ejercicios T456
Otra forma más fácil de hacer algunos ejercicios tipo examen
He publicado nuevos apuntes de 2º Métodos Numéricos: parcialcorregido2024-2025.pdf
He publicado nuevos ejercicios de 2º Métodos Numéricos: Relacion-Ejercicios-tema-6.pdf
He publicado nuevos ejercicios de 2º Métodos Numéricos: Relacion-Ejercicios-tema-5.pdf
He publicado nuevos ejercicios de 2º Métodos Numéricos: Relacion-ejs-TEMA-4.pdf
He publicado nuevos apuntes de 2º Métodos Numéricos: relacion-2-metodos.pdf
He publicado nuevos ejercicios de 2º Métodos Numéricos: Rela-ejercicios-T3.pdf
He publicado nuevos ejercicios de 2º Métodos Numéricos: RELACION-3-parte1MetNum.pdf
He publicado nuevos ejercicios de 2º Métodos Numéricos: Ejercicios-tema-1.pdf
¡Estás al día!
Has visto todos los archivos