Microbiología e Inmunología

chevron_left
chevron_right
Todo
Apuntes
Ejercicios
Exámenes
Otros
Prácticas
Test
Trabajos
chevron_left
chevron_right

apuntes

-

Segundo parcial Bacterias

He publicado nuevos apuntes de 2º Microbiología e Inmunología: Segundo parcial Bacterias

Bacterias-Gram-.pdf
Bacterias-Gram-.pdf

apuntes

-

Esquemas Micro

He publicado nuevos apuntes de 2º Microbiología e Inmunología: Esquemas Micro

Micro-esquema-Tema-1.pdf
Micro-esquema-tema-2.pdf
Micro-esquema-tema-3.pdf
Micro-esquema-tema-4.pdf
Micro-esquema-tema-5.pdf
Micro-esquema-tema-6.A.pdf

apuntes

-

Tercer parcial (57-83)

He publicado nuevos apuntes de 2º Microbiología e Inmunología: Tercer parcial (57-83)

TEMA-57-CONCEPTO-HONGO.pdf
TEMA-58-REPRODUCCION.pdf
TEMA-59-TAXONOMIA-FUNGICA.pdf
TEMA-60-ACCION-PATOGENA-HONGOS.pdf
TEMA-61-HONGOS-CON-MICELIO-CENOCITICO.pdf

apuntes

-

Segundo parcial (29-56)

He publicado nuevos apuntes de 2º Microbiología e Inmunología: Segundo parcial (29-56)

TEMA-44-TAXONOMIA-BACTERIANA.pdf
TEMA-43-PATOGENICIDAD-BACTERIANA.pdf
TEMA-42-ANTIBIOGRAMA.pdf
TEMA-41-ANTIMICROBIANOS.pdf
TEMA-40-CONTROL-EXPRESION-GENICA-BACTERIAS.pdf
TEMA-39-GENETICA-BACTERIANA-II.pdf

He publicado nuevos apuntes de 1º Microbiología e Inmunología: TEMA-13.pdf

9 páginas

apuntes

-

3º PARCIAL

He publicado nuevos apuntes de 2º Microbiología e Inmunología: 3º PARCIAL

TEMA-45-MICRO.pdf
TEMA-46-MICRO-1.pdf
TEMA-47-MICRO-1.pdf
TEMA-48-MICRO-1.pdf
TEMA-49-MICRO-1.pdf
TEMA-49B-MICRO-1.pdf

He publicado nuevos apuntes de 1º Microbiología e Inmunología: TEMA-12.MICRO.pdf

8 páginas

Apuntes del Tema 6 de microbiología

6 páginas

Apuntes del Tema 5 de microbiología

6 páginas

Apuntes del Tema 4 de microbiología

6 páginas

Apuntes del Tema 3 de microbiología

3 páginas

Apuntes del Tema 2 de microbiología

3 páginas

Apuntes del tema 1 de microbiología

5 páginas

apuntes

-

TERCER PARCIAL

He publicado nuevos apuntes de 2º Microbiología e Inmunología: TERCER PARCIAL

TEMA-45.pdf
TEMA-46.pdf
TEMA-47.pdf
TEMA-48.pdf

Temas 1-9

Miniatura no disponible

apuntes

-

2 PARCIAL

He publicado nuevos apuntes de 2º Microbiología e Inmunología: 2 PARCIAL

TEMA-25.pdf
TEMA-26.pdf
TEMA-27.pdf
TEMA-28.pdf
TEMA-29.pdf
TEMA-31.pdf

apuntes

-

2º PARCIAL

He publicado nuevos apuntes de 2º Microbiología e Inmunología: 2º PARCIAL

TEMA-31A-MICRO.pdf
TEMA-29MICRO.pdf
TEMA-26A-MICRO.pdf
TEMA-25-MICRO.pdf
TEMA-26B-MICRO.pdf
TEMA-26C-micro.pdf

Práctica 11 - Técnicas de recuento bacteriano

3 páginas

apuntes

-

Microbiología e inmunología

He publicado nuevos apuntes de 1º Microbiología e Inmunología: Microbiología e inmunología

TEMA-1.-INTRODUCCION-A-LA-MICROBIOLOGIA.pdf
TEMA-2.Morfologia-y-estructura.pdf
TEMA-3-FISIOLOGIA-BACTERIANA.pdf
TEMA-5-AGENTES-ANTIMICROBIANOS.pdf
TEMA-7.-HONGOS-Y-PARASITOS.pdf
TEMA-8.-ENFERMEDADES-DE-MICROFLORA-ORAL-I..pdf

apuntes

-

Micro parcial 2

He publicado nuevos apuntes de 2º Microbiología e Inmunología: Micro parcial 2

Tema-25.pdf
Tema-31.pdf
Tema-28.pdf
Tema-29.pdf
Tema-26.pdf
Tema-34.pdf

Práctica 10 - Micología. Estudio morfológico y funcional de los hongos. Técnicas de cultivo, aislamiento e identificación.

6 páginas

Este recurso académico ofrece una revisión estructurada sobre las micosis de mayor impacto en la práctica médica, diseñado originalmente como soporte pedagógico para exposiciones clínicas. El contenido se divide en dos grandes ejes: las micosis sistémicas

22 páginas

He publicado nuevos apuntes de 1º Microbiología e Inmunología: Tema-3.pdf

15 páginas

He publicado nuevos apuntes de 1º Microbiología e Inmunología: Tema-2.pdf

7 páginas

He publicado nuevos apuntes de 1º Microbiología e Inmunología: Tema-1.pdf

7 páginas

He publicado nuevos apuntes de 1º Microbiología e Inmunología: Tema-4.pdf

11 páginas

He publicado nuevos apuntes de 1º Microbiología e Inmunología: Tema-7.pdf

9 páginas

He publicado nuevos apuntes de 1º Microbiología e Inmunología: Tema-8.pdf

9 páginas

He publicado nuevos apuntes de 1º Microbiología e Inmunología: Tema-6.pdf

12 páginas

He publicado nuevos apuntes de 1º Microbiología e Inmunología: Tema-5.pdf

10 páginas

Tema 4 Interacción microorganismo-hospedador

13 páginas

Tema 2 morfología y estructura bacteriana

12 páginas

He publicado nuevos apuntes de 1º Microbiología e Inmunología: TEMA-9.pdf

6 páginas

He publicado nuevos apuntes de 1º Microbiología e Inmunología: TEMA-4.MICRO.pdf

9 páginas

apuntes

-

Bacterias (2ºparcial)

He publicado nuevos apuntes de 2º Microbiología e Inmunología: Bacterias (2ºparcial)

Resumen-bacterias-2o-parcial-Micro.pdf

He publicado nuevos apuntes de 1º Microbiología e Inmunología: esquema-tema-9-microbiologia.pdf

2 páginas

He publicado nuevos examenes de 2º Microbiología e Inmunología: 2o-Parcial-Marzo-2026-Micro-B.pdf

1 página

He publicado nuevos examenes de 2º Microbiología e Inmunología: 2o-Parcial-Marzo-2026-Micro.pdf

1 página

Prácticas 8 y 9: Cultivo de virus en huevo embrionado. Seroneutralización vírica.

4 páginas

Tablas resumen con las características claves de cada bacteria.

23 páginas

He publicado nuevos apuntes de 1º Microbiología e Inmunología: TEMA-7.-MICRO.pdf

7 páginas

He publicado nuevos apuntes de 1º Microbiología e Inmunología: TEMA-8.INMUNO.pdf

5 páginas

TEMA 1 MICROBIOLOGIA

12 páginas

He publicado nuevos examenes de 2º Microbiología e Inmunología: Examen-Parcial-Bacteriologia.pdf

1 página

He publicado nuevos examenes de 2º Microbiología e Inmunología: preguntas-respondidas-micro-parcial-2.pdf

11 páginas

He publicado nuevos examenes de 2º Microbiología e Inmunología: Preguntas-manana-bacterias-2026.pdf.pdf

2 páginas

He publicado nuevos apuntes de 1º Microbiología e Inmunología: tema1micro.pdf

3 páginas

He publicado nuevos apuntes de 2º Microbiología e Inmunología: Phylum-Chlamydiota-Phylum-Bacteroidota-Phylum-Fusobacteriota.pdf

1 página

He publicado nuevos apuntes de 2º Microbiología e Inmunología: Phylum-Pseudomonadota.pdf

1 página

He publicado nuevos apuntes de 2º Microbiología e Inmunología: Phylum-Actinomycetota.pdf

1 página

He publicado nuevos apuntes de 2º Microbiología e Inmunología: Phylum-Bacillota.pdf

1 página

apuntes

-

RESUMENES

He publicado nuevos apuntes de 2º Microbiología e Inmunología: RESUMENES

TEMA-38-RESUMEN.pdf
TEMA-39-RESUMEN.pdf
TEMA-40-RESUMEN.pdf
TEMA-43-RESUMEN.pdf
TEMA-44-RESUMEN.pdf
TEMAS-41-Y-42-RESUMEN.pdf

He publicado nuevos apuntes de 2º Microbiología e Inmunología: Micro-bacterias-29-56-parcial-2.pdf

139 páginas

apuntes

-

Microbiología Bacterias Gram -

He publicado nuevos apuntes de 2º Microbiología e Inmunología: Microbiología Bacterias Gram -

Tema-51-Gram-.pdf
Tema-52-y-53-Gram-.pdf
Tema-54-Gram-.pdf
Tema-55-Gram-.pdf
Tema-56-Gram-.pdf

He publicado nuevos apuntes de 2º Microbiología e Inmunología: flashcards-microbiologia-29-56.pdf

53 páginas

apuntes

-

Vídeos 2º parcial

He publicado nuevos apuntes de 2º Microbiología e Inmunología: Vídeos 2º parcial

Tema-29-Estructura-y-funcion-bacteriana.mp4
Tema-30-Estructura-bacteriana.mp4
Tema-31-Componentes-de-la-bacteria.mp4
Tema-32-Morfologia-bacteriana.-Formas-de-resistencia.mp4
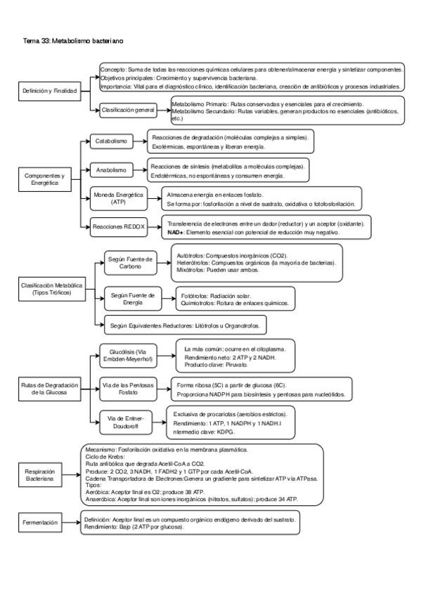
Tema-33-Metabolismo-bacteriano.mp4
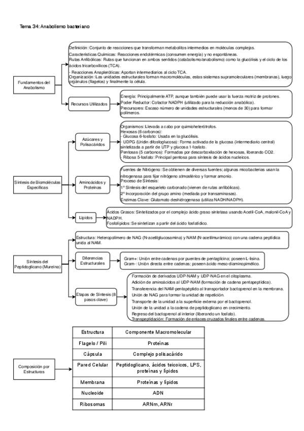
Tema-34-Anabolismo-bacteriano.mp4

apuntes

-

Esquemas 2º parcial

He publicado nuevos apuntes de 2º Microbiología e Inmunología: Esquemas 2º parcial

Tema-29-Estructura-y-funcion-bacteriana.pdf
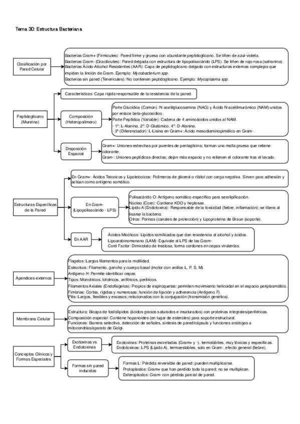
Tema-30-Estructura-bacteriana.pdf
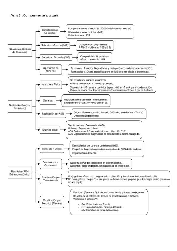
Tema-31-Componentes-de-la-bacteria.pdf
Tema-32-Morfologia-bacteriana.-Formas-de-resistencia.pdf
Tema-33-Metabolismo-bacteriano.pdf
Tema-34-Anabolismo-bacteriano.pdf

Práctica 7: productos de agresión bacteriana y antibiograma

5 páginas

apuntes

-

TABLAS BACTERIAS

He publicado nuevos apuntes de 2º Microbiología e Inmunología: TABLAS BACTERIAS

TABLAS-BACTERIAS-GRAM-.pdf
TABLAS-BACTERIAS-GRAM-.pdf

Resumen con las cosas importantes y necesarias para el examen Para imprimir

8 páginas