chevron_left
chevron_right
Todo
Apuntes
Exámenes
Trabajos
chevron_left
chevron_right

Resistencia a los antimicrobianos

1 página

Esquema y apuntes de la resistencia a los antimicrobianos

3 páginas

Infografía tratamiento antimicrobiano

1 página

Apuntes del tema 2 de microbiología. Principios generales del tratamiento antimicrobiano

2 páginas

Apuntes del tema 1 de métodos diagnósticos

3 páginas
Anónimo

@Anónimo

apuntes

-

Microbiología Médica

He publicado nuevos apuntes de 2º Microbiología Médica: Microbiología Médica

Tema-1.-Metodos-diagnosticos-en-microbiologia..pdf
Tema-2.-Principios-generales-del-tratamiento-antimicrobiano..pdf
Tema-3.-Resistencia-de-los-microorganismos-a-los-antimicrobianos..pdf
Tema-4.-Metodos-de-deteccion-de-sensibilidad-a-los-antimicrobianos..pdf
Tema-5.-El-hongo-y-la-terapia-antifungica..pdf
Tema-6.-Dermatomicosis..pdf

Examen parasitos, virus, repaso micro

8 páginas

He publicado nuevos apuntes de 2º Microbiología Médica: T.16-Artropodos.-micro.pdf

3 páginas

He publicado nuevos apuntes de 2º Microbiología Médica: Tema-22-y-23-micro.pdf

3 páginas

He publicado nuevos apuntes de 2º Microbiología Médica: Tema-20-y-21-micro.pdf

6 páginas
Anónimo

@Anónimo

Aparecen todas las bacterias de los Temas 19-26 organizadas por grupos para un vistazo rápido de las enfermedades que provocan y las resistencias

10 páginas

He publicado nuevos apuntes de 2º Microbiología Médica: tema-25-microbiologia.pdf

8 páginas

He publicado nuevos apuntes de 2º Microbiología Médica: temas-23-y-24-microbiologia.pdf

9 páginas

He publicado nuevos apuntes de 2º Microbiología Médica: apuntes-micro-temas-22.pdf.pdf

11 páginas

He publicado nuevos apuntes de 2º Microbiología Médica: micro-tema-21.pdf

6 páginas

He publicado nuevos apuntes de 2º Microbiología Médica: tema-20-microbiologia.pdf

10 páginas

Tema 19 hemoflagelados

6 páginas

He publicado nuevos apuntes de 2º Microbiología Médica: tema-18-Microbiologia.pdf

6 páginas

He publicado nuevos apuntes de 2º Microbiología Médica: tema-17-microbiologia-otros-helmintos.pdf

4 páginas

He publicado nuevos apuntes de 2º Microbiología Médica: tema-17-trematodos-y-filarias.pdf

13 páginas

He publicado nuevos apuntes de 2º Microbiología Médica: tema-17-cestodos.pdf

6 páginas

He publicado nuevos apuntes de 2º Microbiología Médica: TEMA-19.-Infecciones-por-bacterias-anaerobias.pdf

13 páginas

Apuntes microbiologia medica tema 17 (nematodos y cestodos)

11 páginas

Apuntes tema 16 microbiologia medica

5 páginas

tema 14: artropodos y 15 (17): protozoos intestinales

13 páginas

He publicado nuevos apuntes de 2º Microbiología Médica: MICROBIOLOGIA-CLINICA-APUNTES-tema-10.pdf

6 páginas

He publicado nuevos apuntes de 2º Microbiología Médica: MICROBIOLOGIA-CLINICA-APUNTES-Tema-10.pdf

9 páginas

He publicado nuevos apuntes de 2º Microbiología Médica: MICROBIOLOGIA-CLINICA-APUNTES-TEMAS-7 y 8.pdf

7 páginas

He publicado nuevos apuntes de 2º Microbiología Médica: MICROBIOLOGIA-TEMA-6.pdf

6 páginas

He publicado nuevos apuntes de 2º Microbiología Médica: MICROBIOLOGIA-hongos-tema-5.pdf

4 páginas

He publicado nuevos apuntes de 2º Microbiología Médica: MICRO-INTRODUCCION-TEMA-1-4.pdf

10 páginas

He publicado nuevos apuntes de 2º Microbiología Médica: TEMA-3-MICROBIOLOGIA-MEDICA.pdf

3 páginas

He publicado nuevos apuntes de 2º Microbiología Médica: TEMA-2-MICROBIOLOGIA-MEDICA.pdf

2 páginas

apuntes

-

BACTERIAS. T20-27.

He publicado nuevos apuntes de 2º Microbiología Médica: BACTERIAS. T20-27.

Micro-medica.-Bacterias.-T20.-Bacterias-anaerobias.-5-pags..pdf
Micro-medica.-Bacterias.-T21.-Actinomycetos.-3-pags..pdf
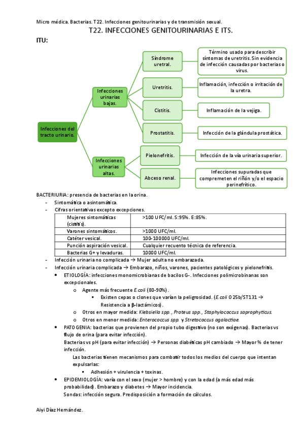
Micro-medica.-Bacterias.-T22.-Infecciones-genitourinarias-y-de-transmision-sexual.-4-pags..pdf
Micro-medica.-Bacterias.-T23.-Sepsis-y-bacteriemia.-Infecciones-cardiovasculares.-3-pags..pdf
Micro-medica.-Bacterias.-T24.-Infecciones-del-SNC.-2-pags..pdf
Micro-medica.-Bacterias.-T25.-Bacterias-que-causan-infecciones-respiratorias.-4-pags..pdf

apuntes

-

Apuntes - HONGOS. T6-9 .

He publicado nuevos apuntes de 2º Microbiología Médica: Apuntes - HONGOS. T6-9 .

Micro-medica.-HONGOS.-T6.-Apuntes-redactados..pdf
Micro-medica.-HONGOS.-T7.-Apuntes-redactados..pdf
Micro-medica.-HONGOS.-T7.-TABLA-RESUMEN..pdf
Micro-medica.-HONGOS.-T8.-TABLA-RESUMEN..pdf

He publicado nuevos examenes de 2º Microbiología Médica: repaso-preguntas.pdf

10 páginas

Todos los temas de micro, tal cual lo dicho en clase

154 páginas

apuntes

-

BLOQUE BACTERIAS

He publicado nuevos apuntes de 2º Microbiología Médica: BLOQUE BACTERIAS

MICRO-TEMA-20-BACTERIAS-ANAEROBIAS.pdf
MICRO-TEMA-21-ACTINOMYCETOS.pdf
MICRO-TEMA-22-INFECCIONES-GENITOURINARIAS-Y-DE-TRANSMISION-SEXUAL-Y-VERTICAL-Y-TEMA-23-SEPSIS-BACTERIEMIA-Y-ENFERMEDADES-ENDOVASCULARES.pdf
MICRO-TEMA-24-INFECCIONES-DEL-SNC-TEMA-25-INF.-RESPIRATORIAS-TEMA-26-INFECCIONES-DE-LA-PIEL-Y-TEMA-27-GASTROENTERITIS.pdf

apuntes

-

BLOQUE DE HONGOS

He publicado nuevos apuntes de 2º Microbiología Médica: BLOQUE DE HONGOS

MICRO-TEMA-6-HONGOS-Y-TERAPIA-FUNGICA.pdf
MICRO-T7-DERMATOMICOSIS.pdf
MICRO-TEMA-8-MICOSIS-MUCOSAS-SUBCUTANEAS-Y-PROFUNDAS.pdf

apuntes

-

Bloque de introducción

He publicado nuevos apuntes de 2º Microbiología Médica: Bloque de introducción

TEMA-1-METODOS-DIAGNOSTICOS-EN-MICROBIOLOGIA.pdf
MICRO.-TEMA-2-ANTIMICROBIANOS-y-TEMA-3-RESISTENCIAS.pdf
MICRO-T4-SENSIBILIDAD.pdf

He publicado nuevos apuntes de 2º Microbiología Médica: Tema-8-micro-hongos.pdf

6 páginas

He publicado nuevos apuntes de 2º Microbiología Médica: tema-7-micro-hongos.pdf

11 páginas

He publicado nuevos apuntes de 2º Microbiología Médica: tema-6-micro-hongos.pdf

6 páginas

He publicado nuevos apuntes de 2º Microbiología Médica: tema-4-micro-hongos.pdf

4 páginas

He publicado nuevos apuntes de 2º Microbiología Médica: tema-3-micro-hongos.pdf

2 páginas

He publicado nuevos apuntes de 2º Microbiología Médica: tema-2-micro-hongos.pdf

2 páginas

He publicado nuevos apuntes de 2º Microbiología Médica: TABLA-DE-HONGOS.pdf

12 páginas

He publicado nuevos apuntes de 2º Microbiología Médica: Intro-micro-1-4-y-6.pdf

9 páginas

He publicado nuevos apuntes de 2º Microbiología Médica: BACTERIAS.pdf

16 páginas

apuntes

-

2º parcial

He publicado nuevos apuntes de 2º Microbiología Médica: 2º parcial

Introduccion-T1-T4.pdf
Bacterias-T20-T27.pdf
Hongos-T6-T8.pdf

He publicado nuevos apuntes de 2º Microbiología Médica: TEMA-9-MICROBIOLOGIA.pdf

2 páginas

He publicado nuevos apuntes de 2º Microbiología Médica: TEMA-8-MICROBIOLOGIA.pdf

6 páginas

apuntes

-

PARCIAL 1: VIRUS.

He publicado nuevos apuntes de 2º Microbiología Médica: PARCIAL 1: VIRUS.

Micro-medica.-Tema-10.-Herpes..pdf
Micro-medica.-Tema-11.-Virus-exantemicos..pdf
Micro-medica.-Tema-12..pdf
Micro-medica.-T13..pdf
Micro-clinica.-Tema-14.-VIH..pdf

He publicado nuevos apuntes de 2º Microbiología Médica: TEMA-7-MICROBIOLOGIA.pdf

6 páginas

He publicado nuevos apuntes de 2º Microbiología Médica: TEMA-6-MICROBIOLOGIA.pdf

3 páginas

He publicado nuevos apuntes de 2º Microbiología Médica: TEMA-4-MICROBIOLOGIA.pdf

3 páginas

He publicado nuevos apuntes de 2º Microbiología Médica: TEMAS-1-2-3-MICROBIOLOGIA.pdf

7 páginas

apuntes

-

Tabla 5

Tablas resumen parásitos con cosas importantes de apuntes

Tabla-5.pdf
Tabla-4.pdf
Tabla1.pdf
Tabla-2.pdf
Tabla-3.pdf

He publicado nuevos apuntes de 2º Microbiología Médica: Resumen-ParAsitos.pdf

25 páginas

Todos los temas de toda la asignatura

91 páginas