Microbiología y Parasitología Clínica

chevron_left
chevron_right
Todo
Apuntes
Test
chevron_left
chevron_right

apuntes

-

micro clinica

He publicado nuevos apuntes de 5º Microbiología y Parasitología Clínica: micro clinica

Tema-1.pdf
Tema-2.pdf
Tema-3.pdf
Tema-4.pdf
Tema-5.pdf
Tema-6.pdf

He publicado nuevos apuntes de 5º Microbiología y Parasitología Clínica: Tablas-parasitologia.pdf

4 páginas

apuntes

-

Apuntes micro y para

He publicado nuevos apuntes de 5º Microbiología y Parasitología Clínica: Apuntes micro y para

Tema-1.-INTRODUCCION.pdf
Tema-2.-SEGURIDAD-Y-CONTROL-DE-CALIDAD-EN-EL-LAB.pdf
Tema-3.-ESTABLECIMIENTO-DE-LA-ENFERMEDAD-INFECCIOSA.pdf
Tema-4.1-METODOS-DE-DIAGNOSTICO.-BACTERIAS.pdf
Tema-4.2.-METODOS-CLASICOS-DE-DIAGNOSTICO-HONGOS.pdf
Tema-4.3.-DIAGNOSTICO-DE-VIRUS.pdf

apuntes

-

Resumen parte micro con tablas

He publicado nuevos apuntes de 5º Microbiología y Parasitología Clínica: Resumen parte micro con tablas

TABLAS-GRUPOS-DE-BACTERIAS.pdf
Guia-de-Medios-de-Cultivo-segun-la-Observacion-Microscopica-y-Tipo-de-Infeccion.pdf

apuntes

-

micro temas

He publicado nuevos apuntes de 5º Microbiología y Parasitología Clínica: micro temas

MICROBIOLOGIA-Y-PARASITOLOGIA-CLINICA-hasta-tema-4.pdf
MICROBIOLOGIA-Y-PARASITOLOGIA-CLINICA-hasta-tema-3.pdf
MICROBIOLOGIA-Y-PARASITOLOGIA-CLINICA-tema-5-13.pdf
PARTE-PARASITOLOGIA-CLINICA.pdf

apuntes

-

Microbiología y parasitología clínica

He publicado nuevos apuntes de 5º Microbiología y Parasitología Clínica: Microbiología y parasitología clínica

Tema-1.-Objeto-y-contexto-actual.pdf
Tema-2.-Seguridad-y-control-de-calidad-en-el-laboratorio.pdf
Tema-3.-Establecimiento-de-la-enfermedad-infecciosa.pdf
Tema-4.-Metodos-clasicos-de-diagnostico-bacterias.pdf
Tema-5.-Metodos-clasicos-de-diagnostico-hongos.pdf
Tema-6.-Metodos-clasicos-de-diagnostico-virus.pdf

apuntes

-

Microbiología y parasitología clínica

He publicado nuevos apuntes de 5º Microbiología y Parasitología Clínica: Microbiología y parasitología clínica

bloque-1.pdf
bloque-II.pdf
bloque-III.pdf
parasitologia-clinica.pdf

apuntes

-

Microbiología y Parasitología Clínica

He publicado nuevos apuntes de 5º Microbiología y Parasitología Clínica: Microbiología y Parasitología Clínica

Tema-1Objetivo-y-contexto-actual-de-la-microbiologia.pdf
Tema-2Seguridad-y-control-de-calidad-en-el.pdf
Tema-3Relacion-huesped-microorganismo.pdf
Tema-4.1Metodos-de-diagnostico-microbiologicoDiagnostico-de-infecciones-causadas-por-Bacterias.pdf
Tema-4.2Metodos-de-diagnostico-microbiologicoDiagnostico-de-infecciones-causadas-por-Levaduras-y-Hongos.pdf
Tema-4.3Metodos-de-diagnostico-microbiologicoDiagnostico-de-infecciones-causadas-por-Virus.pdf

apuntes

-

Lanak

He publicado nuevos apuntes de 5º Microbiología y Parasitología Clínica: Lanak

4.-KASU-KLINIKOA.pdf
BEGI-INFEKZIOAK.pdf

apuntes

-

Apunteak

He publicado nuevos apuntes de 5º Microbiología y Parasitología Clínica: Apunteak

1.-Sarrera.pdf
2.-Laborategiko-segurtasuna-eta-kalitate-kontrola.pdf
3.-Gaixotasun-infekziosoaren-ezarpena.pdf
4.-Diagnostiko-mikrobiologikoko-metodo-klasikoak.pdf
5.-Diagnostiko-mikrobiologikorako-metodo-azkarrak.pdf
6.-Mikroorganismoen-kontrola.pdf

He publicado nuevos apuntes de 5º Microbiología y Parasitología Clínica: MIKROBIOLOGIA-1-ZATIA.pdf

123 páginas

He publicado nuevos apuntes de 5º Microbiología y Parasitología Clínica: MIKROBIOLOGIA-2-ZATIA-1.pdf

96 páginas
Anónimo

@Anónimo

He publicado nuevos test de 5º Microbiología y Parasitología Clínica: EXAMEN-MICROO.pdf

2 páginas
Anónimo

@Anónimo

He publicado nuevos test de 5º Microbiología y Parasitología Clínica: EXAMEN-MICRO-2015.pdf

4 páginas
Anónimo

@Anónimo

He publicado nuevos test de 5º Microbiología y Parasitología Clínica: EXAMEN-MICRO.pdf

5 páginas

He publicado nuevos apuntes de 5º Microbiología y Parasitología Clínica: 2.-GAIA-MIKRO.pdf

11 páginas
Anónimo

@Anónimo

He publicado nuevos apuntes de 5º Microbiología y Parasitología Clínica: 1.GAIA-MIKRO.pdf

5 páginas
Anónimo

@Anónimo

apuntes

-

Microbiologia y Parasitologia Clínica

He publicado nuevos apuntes de 5º Microbiología y Parasitología Clínica: Microbiologia y Parasitologia Clínica

Examen.pdf
Anónimo

@Anónimo

He publicado nuevos apuntes de 5º Microbiología y Parasitología Clínica: MIKRO-BAKTERIOAK-TAULA.pdf

10 páginas
Anónimo

@Anónimo

He publicado nuevos test de 5º Microbiología y Parasitología Clínica: MIKRO-2018-AZTERKETA.pdf

22 páginas
Anónimo

@Anónimo

He publicado nuevos test de 5º Microbiología y Parasitología Clínica: MICRO-EXAMEN.pdf

11 páginas
Anónimo

@Anónimo

He publicado nuevos apuntes de 5º Microbiología y Parasitología Clínica: MIKRO-GRAM-.pdf

1 página
Anónimo

@Anónimo

He publicado nuevos apuntes de 5º Microbiología y Parasitología Clínica: MIKRO-GRAM--.pdf

1 página
Anónimo

@Anónimo

He publicado nuevos test de 5º Microbiología y Parasitología Clínica: MIKROBIOLOGIA-KLINIKOA.pdf

16 páginas
Anónimo

@Anónimo

He publicado nuevos test de 5º Microbiología y Parasitología Clínica: MICROBIOLOGIA-CINICA-5.pdf

1 página
Anónimo

@Anónimo

He publicado nuevos test de 5º Microbiología y Parasitología Clínica: MICROBIOLOGIA-CINICA-4.pdf

1 página
Anónimo

@Anónimo

He publicado nuevos test de 5º Microbiología y Parasitología Clínica: MICROBIOLOGIA-CINICA-3.pdf

1 página
Anónimo

@Anónimo

He publicado nuevos test de 5º Microbiología y Parasitología Clínica: MICROBIOLOGIA-CINICA-2.pdf

1 página
Anónimo

@Anónimo

He publicado nuevos test de 5º Microbiología y Parasitología Clínica: MICROBIOLOGIA-CINICA-1.pdf

1 página
Anónimo

@Anónimo

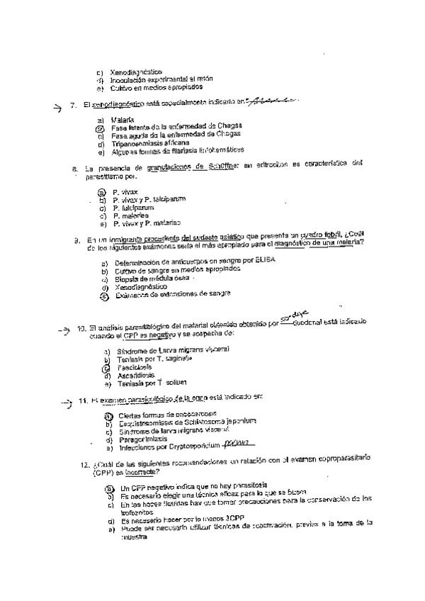
He publicado nuevos test de 5º Microbiología y Parasitología Clínica: MICROBIOLOGIA-CINICA-PARTE-5.jpg

Imagen
Anónimo

@Anónimo

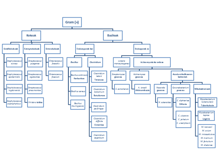
He publicado nuevos test de 5º Microbiología y Parasitología Clínica: MICROBIOLOGIA-CINICA-PARTE-6.jpg

Imagen
Anónimo

@Anónimo

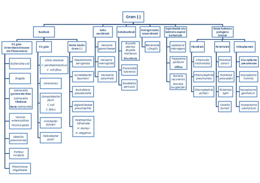
He publicado nuevos test de 5º Microbiología y Parasitología Clínica: MICROBIOLOGIA-CINICA-PARTE-4.jpg

Imagen
Anónimo

@Anónimo

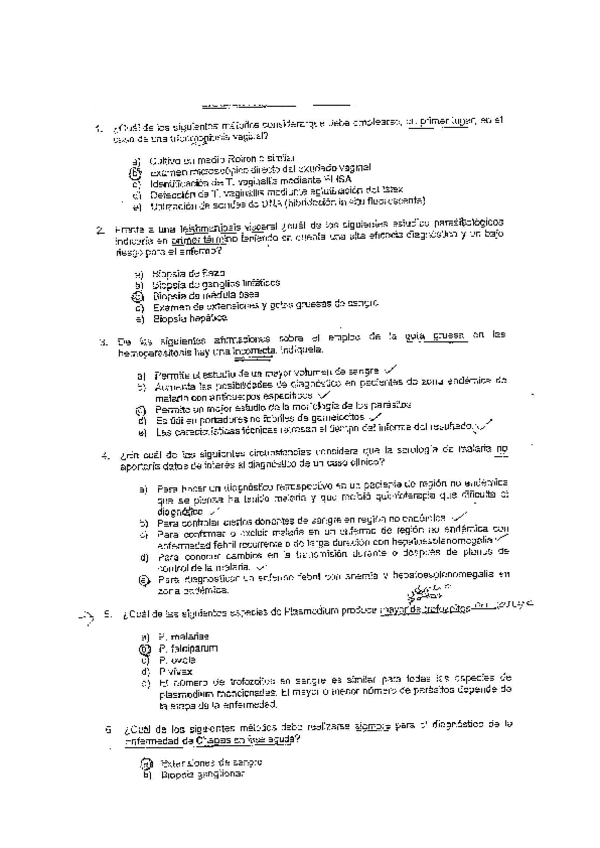
He publicado nuevos test de 5º Microbiología y Parasitología Clínica: MICROBIOLOGIA-CINICA-PARTE-3.jpg

Imagen
Anónimo

@Anónimo

He publicado nuevos test de 5º Microbiología y Parasitología Clínica: MICROBIOLOGIA-CINICA-PARTE-2.jpg

Imagen
Anónimo

@Anónimo

He publicado nuevos test de 5º Microbiología y Parasitología Clínica: MICROBIOLOGIA-CINICA-PARTE-1.jpg

Imagen

apuntes

-

Mikrobiologia 2020-2021

He publicado nuevos apuntes de 5º Microbiología y Parasitología Clínica: Mikrobiologia 2020-2021

MPK-3.pdf
MPK-6.pdf
MPK-5.pdf
MPK-9.pdf
MPK-8.pdf
MPK-12.pdf
¡Estás al día!

¡Estás al día!

Has visto todos los archivos