Microeconomía Intermedia

chevron_left
chevron_right
Todo
Apuntes
Ejercicios
Exámenes
chevron_left
chevron_right
Anónimo

@Anónimo

ejercicios

-

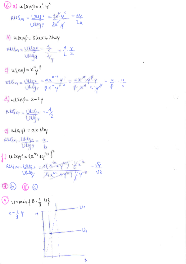
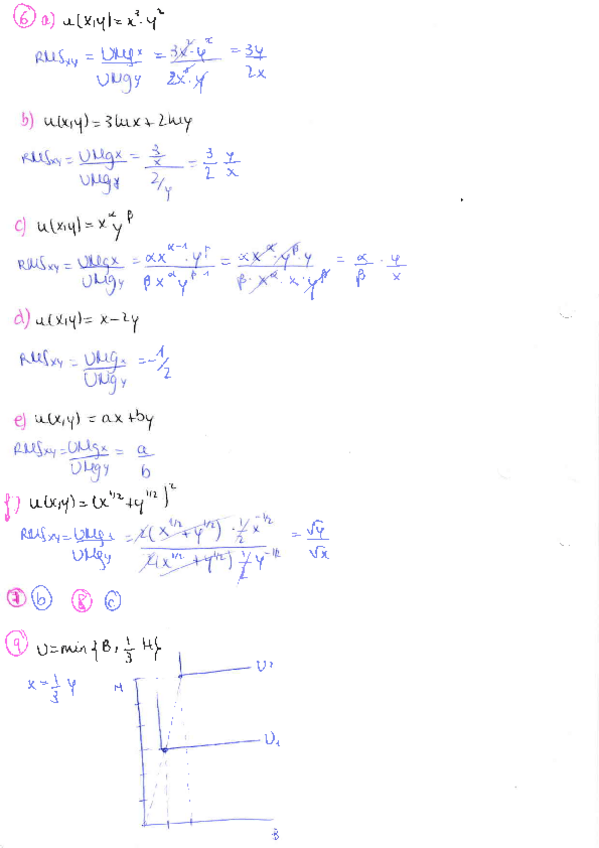
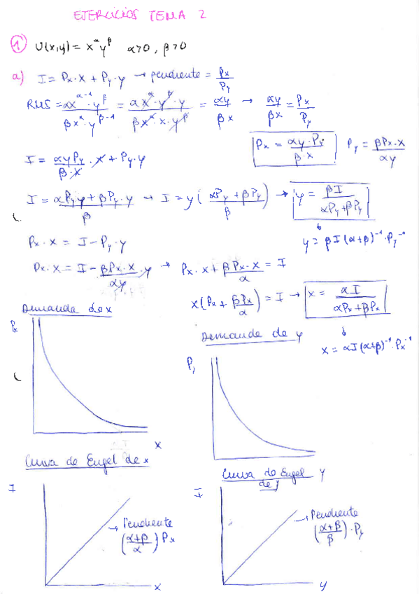
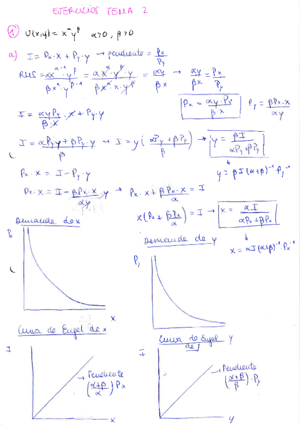
TEMA 2 SOL EJERCICIO 1

He publicado nuevos ejercicios de 1º Microeconomía Intermedia: TEMA 2 SOL EJERCICIO 1

Captura-de-pantalla-2025-07-09-010322.png
Captura-de-pantalla-2025-07-09-010333.png
Captura-de-pantalla-2025-07-09-010255.png
Captura-de-pantalla-2025-07-09-010308.png
Captura-de-pantalla-2025-07-09-010241.png
Captura-de-pantalla-2025-07-09-010228.png

He publicado nuevos apuntes de 1º Microeconomía Intermedia: Tema-6-Poder-de-mercado-y-estrategia-de-precios.pdf

4 páginas

He publicado nuevos apuntes de 1º Microeconomía Intermedia: Tema-7-Las-externalidades-y-los-bienes-publicos.pdf

4 páginas

He publicado nuevos apuntes de 1º Microeconomía Intermedia: Tema-5-La-oferta-en-un-mercado-competitivo.pdf

3 páginas

He publicado nuevos apuntes de 1º Microeconomía Intermedia: Tema-4-Los-costes.pdf

3 páginas

He publicado nuevos apuntes de 1º Microeconomía Intermedia: Tema-3-El-comportamiento-del-productor-micro.pdf

5 páginas

He publicado nuevos apuntes de 1º Microeconomía Intermedia: Tema-2-La-demanda-individual-y-del-mercado-micro.pdf

4 páginas

He publicado nuevos apuntes de 1º Microeconomía Intermedia: Tema-1-El-comportamieno-del-consumidor-micro-int.pdf

6 páginas

He publicado nuevos apuntes de 1º Microeconomía Intermedia: MICROECONOMIA-INTERMEDIA.pdf

95 páginas

He publicado nuevos examenes de 1º Microeconomía Intermedia: Examen-T4-7-C2-ordinario(24/25).pdf

2 páginas

He publicado nuevos apuntes de 1º Microeconomía Intermedia: Temas-4-7-recordatorios(24/25).pdf

2 páginas

He publicado nuevos examenes de 1º Microeconomía Intermedia: Solucion-T4-7-C2-ordinario(24/25).pdf

6 páginas

He publicado nuevos examenes de 1º Microeconomía Intermedia: Solucion-T4-7-C4-extraordinario(24/25).pdf

4 páginas

He publicado nuevos apuntes de 1º Microeconomía Intermedia: Temas-1-3-recordatorios(24/25).pdf

2 páginas
Anónimo

@Anónimo

He publicado nuevos apuntes de 1º Microeconomía Intermedia: practica-1-micro-corregida.pdf

5 páginas
Anónimo

@Anónimo

He publicado nuevos apuntes de 1º Microeconomía Intermedia: MICROECONOMIA-INTERMEDIA-1.pdf

95 páginas
Anónimo

@Anónimo

examenes

-

Exámenes primer parcial

He publicado nuevos examenes de 1º Microeconomía Intermedia: Exámenes primer parcial

1Parcial-4-11-2021.pdf
1Parcial-5-7-2019.pdf
1Parcial-8-11-2019.pdf
1Parcial-13-11-2020.pdf
Enunciado-Examen-1er-Parcial-9-11-2016.pdf
Enunciado-Examen-1er-Parcial-22-3-2017.pdf

ejercicios

-

Practicas

He publicado nuevos ejercicios de 1º Microeconomía Intermedia: Practicas

Practica-T2.pdf

He publicado nuevos examenes de 1º Microeconomía Intermedia: examenes-202324.pdf

16 páginas

examenes

-

Examenes Microintermedia

2º Curso

2407-exR1-m03.pdf
2407-exR2-m04.pdf
2311-exP1-m04.pdf
2401-exP2-m04.pdf

He publicado nuevos examenes de 1º Microeconomía Intermedia

https://www.youtube.com/watch?v=JLarYcZGJjQ

He publicado nuevos examenes de 1º Microeconomía Intermedia: Examen-enero-2021.pdf

4 páginas

examenes

-

parcial 2 examenes resueltos

He publicado nuevos examenes de 1º Microeconomía Intermedia: parcial 2 examenes resueltos

2017-junio-resuelto.pdf
2018-enero-resuelto.pdf
2018-julio-resuelto.pdf
2018-junio-resuelto.pdf
2019-enero-resuelto.pdf
2020-julio-resuelto.pdf

He publicado nuevos apuntes de 1º Microeconomía Intermedia: Micro-resumen-T.-2.pdf

4 páginas

apuntes

-

TEMA 1

He publicado nuevos apuntes de 1º Microeconomía Intermedia: TEMA 1

Practica-T.1.pdf
Teoria-T.1.pdf

He publicado nuevos apuntes de 1º Microeconomía Intermedia: Ejercicios-T3.pdf

10 páginas

He publicado nuevos apuntes de 1º Microeconomía Intermedia: Ejercicios-T2.pdf

15 páginas

He publicado nuevos apuntes de 1º Microeconomía Intermedia: Ejercicios-T1.pdf

9 páginas

He publicado nuevos apuntes de 1º Microeconomía Intermedia: RESUMEN-T1.pdf

1 página

He publicado nuevos apuntes de 1º Microeconomía Intermedia: Resumen-T2.pdf

1 página

apuntes

-

Apuntes MICROECONOMÍA AVANZADA

He publicado nuevos apuntes de 1º Microeconomía Intermedia: Apuntes MICROECONOMÍA AVANZADA

TEMA-1-TEORIA-DE-LA-DECISION-BAJO-INCERTIDUMBRE.pdf
TEMA-2-JUEGOS-ESTATICOS-CON-INFORMACION-INCOMPLETA.pdf
TEMA-3-JUEGOS-DINAMICOS-CON-INFORMACION-INCOMPLETA.pdf
TEMA-4-SELECCION-ADVERSA.pdf
TEMA-5-INTRODUCCION-A-LA-ECONOMIA-DEL-COMPORTAMIENTO.pdf

He publicado nuevos apuntes de 1º Microeconomía Intermedia: Modelos-de-venta-conjunto-y-eq-Nash.pdf

2 páginas
Anónimo

@Anónimo

He publicado nuevos apuntes de 1º Microeconomía Intermedia: APUNTES-TEMA-7.pdf

5 páginas
Anónimo

@Anónimo

He publicado nuevos ejercicios de 1º Microeconomía Intermedia: EJERCICIOS-TEMA-6.pdf

5 páginas
Anónimo

@Anónimo

He publicado nuevos apuntes de 1º Microeconomía Intermedia: APUNTES-TEMA-6.pdf

6 páginas
Anónimo

@Anónimo

He publicado nuevos ejercicios de 1º Microeconomía Intermedia: EJERCICIOS-TEMA-5.pdf

9 páginas
Anónimo

@Anónimo

He publicado nuevos apuntes de 1º Microeconomía Intermedia: APUNTES-TEMA-5.pdf

12 páginas
Anónimo

@Anónimo

He publicado nuevos ejercicios de 1º Microeconomía Intermedia: EJERCICIOS-TEMA-4.pdf

8 páginas
Anónimo

@Anónimo

He publicado nuevos apuntes de 1º Microeconomía Intermedia: APUNTES-TEMA-4.pdf

10 páginas
Anónimo

@Anónimo

He publicado nuevos examenes de 1º Microeconomía Intermedia: Examenes-resueltos.pdf

5 páginas

He publicado nuevos apuntes de 1º Microeconomía Intermedia: Resumen-tema-7.pdf

5 páginas

He publicado nuevos ejercicios de 1º Microeconomía Intermedia: Ejercicios-tema-7.pdf

6 páginas

He publicado nuevos apuntes de 1º Microeconomía Intermedia: Resumen-tema-6.pdf

3 páginas

He publicado nuevos ejercicios de 1º Microeconomía Intermedia: Ejercicios-tema-6.pdf

5 páginas

He publicado nuevos examenes de 1º Microeconomía Intermedia: Parcial-1-noviembre-2022-0.pdf

3 páginas

He publicado nuevos examenes de 1º Microeconomía Intermedia: Parcial-1-julio-2021-0.pdf

6 páginas

He publicado nuevos examenes de 1º Microeconomía Intermedia: Parcial-2-julio-2021-3.pdf

6 páginas

He publicado nuevos examenes de 1º Microeconomía Intermedia: Parcial-1-noviembre-2020-0.pdf

6 páginas

He publicado nuevos examenes de 1º Microeconomía Intermedia: Parcial-2-julio-2021-0.pdf

7 páginas

He publicado nuevos apuntes de 1º Microeconomía Intermedia: Resumen-Tema-6.pdf

2 páginas

He publicado nuevos apuntes de 1º Microeconomía Intermedia: Resumen Tema 5.pdf

3 páginas

He publicado nuevos apuntes de 1º Microeconomía Intermedia: Tema-4-Micro-Inter.pdf

3 páginas

He publicado nuevos apuntes de 1º Microeconomía Intermedia: resumen-primer-parcial.pdf

40 páginas
Anónimo

@Anónimo

examenes

-

Exámenes 21-22

He publicado nuevos examenes de 1º Microeconomía Intermedia: Exámenes 21-22

exECO-P1-21-22-Nov4-SolMod1.pdf

examenes

-

Microeconomía Intermedia

He publicado nuevos examenes de 1º Microeconomía Intermedia: Microeconomía Intermedia

Examen 2021-2022.pdf

He publicado nuevos examenes de 1º Microeconomía Intermedia: 2.pdf

13 páginas

He publicado nuevos examenes de 1º Microeconomía Intermedia: 1.pdf

9 páginas

examenes

-

Examen 2017 Primer parcial. Resuelto

He publicado nuevos examenes de 1º Microeconomía Intermedia: Examen 2017 Primer parcial. Resuelto

20180101231912001.pdf
20180101232910001.pdf

He publicado nuevos ejercicios de 1º Microeconomía Intermedia: Ejercicios-tema-5.pdf

13 páginas

He publicado nuevos ejercicios de 1º Microeconomía Intermedia: Ejercicios-tema-4.pdf

8 páginas