chevron_left
chevron_right
Todo
Apuntes
Preguntas
chevron_left
chevron_right

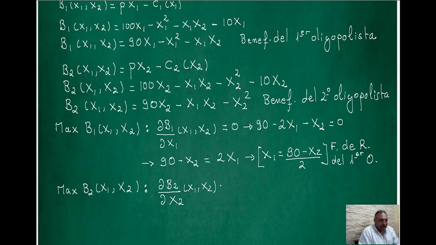
He publicado nuevos apuntes de 2º Microeconomía: Apuntes-T4-Micro-CUNEF.pdf

6 páginas

He publicado nuevos apuntes de 2º Microeconomía: Apuntes-T2-Micro-CUNEF.pdf

3 páginas

Nota parcial 1: 10

6 páginas

apuntes

-

Problemas de examen resueltos en video

He publicado nuevos apuntes de 2º Microeconomía: Problemas de examen resueltos en video

https://youtu.be/ZzQP9UNVVfM
https://youtu.be/4TUqdBP3MGU

He publicado nuevos apuntes de 2º Microeconomía: T2-demanda.pdf

32 páginas

He publicado nuevos apuntes de 2º Microeconomía: T4.pdf

9 páginas

He publicado nuevos apuntes de 2º Microeconomía: Micro-T3.pdf

7 páginas

He publicado nuevos apuntes de 2º Microeconomía: Micro-T2.pdf

7 páginas

He publicado nuevos apuntes de 2º Microeconomía: T5.pdf

6 páginas
Anónimo

@Anónimo

apuntes

-

Apuntes microeconomía

He publicado nuevos apuntes de 2º Microeconomía: Apuntes microeconomía

8.pdf
4.pdf
0.pdf
3.pdf
5.pdf
7.pdf

apuntes

-

APUNTES MICROECONOMÍA CUNEF

He publicado nuevos apuntes de 2º Microeconomía: APUNTES MICROECONOMÍA CUNEF

ejercicios-elasticidad.pdf
TEMA-2.docx
problem-set-2.pdf
problem-set-4.pdf
ejercicios-demanda-individual.pdf
problem-set-3.pdf
Anónimo

@Anónimo

He publicado nuevos apuntes de 2º Microeconomía: TODO-MICROECONOMIA.pdf

20 páginas
Anónimo

@Anónimo

apuntes

-

Apuntes microeconomía

He publicado nuevos apuntes de 2º Microeconomía: Apuntes microeconomía

4.docx
0.docx
2.docx
3.docx
1.docx
¡Estás al día!

¡Estás al día!

Has visto todos los archivos