Todo
Apuntes
Ejercicios
Exámenes
Otros
chevron_left
chevron_right

temario completo + ejerciciox

95 páginas

He publicado nuevos otros de 2º Microeconomía: GUIA-DOCENTE-MICROECONOMIA.pdf

4 páginas
Anónimo

@Anónimo

apuntes

-

Soluciones de ejercicios (Monopolios)

He publicado nuevos apuntes de 2º Microeconomía: Soluciones de ejercicios (Monopolios)

Enunciados-ejercicios-examenes-monopolio-y-oligopolio.pdf
Enunciados-ejercicios-examenes-monopolio-y-oligopolio.pdf
Soluciones-ejercicios-examenes-monopolio-y-oligopolio.pdf
Soluciones-ejercicios-examenes-monopolio-y-oligopolio.pdf
Anónimo

@Anónimo

apuntes

-

Soluciones Competencia Perfecta

He publicado nuevos apuntes de 2º Microeconomía: Soluciones Competencia Perfecta

Soluciones-ejercicios-examenes-competencia-perfecta.pdf
Soluciones-ejercicios-examenes-competencia-perfecta.pdf
Enunciados-ejercicios-examenes-competencia-perfecta.pdf
Enunciados-ejercicios-examenes-competencia-perfecta.pdf
Anónimo

@Anónimo

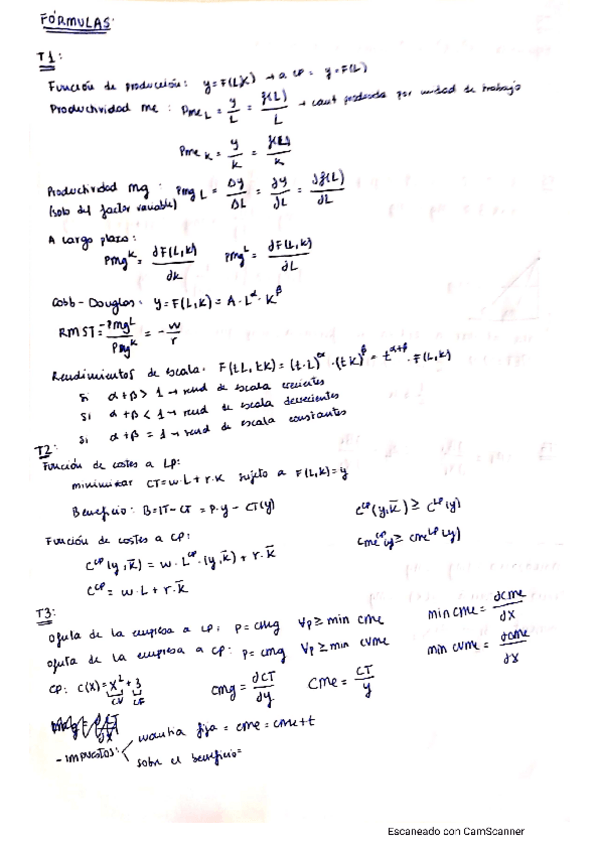
He publicado nuevos apuntes de 2º Microeconomía: Resumen-formulas-micro.pdf

2 páginas
Anónimo

@Anónimo

ejercicios

-

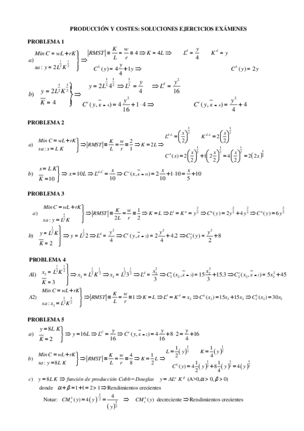
Ejercicios RESUELTOS T1 al T6

He publicado nuevos ejercicios de 2º Microeconomía: Ejercicios RESUELTOS T1 al T6

Hoja-ejs-T5-Micro.pdf
Hoja-ejs-T5-Micro.pdf
Hoja-ejs-T1-Micro.pdf
Hoja-ejs-T1-Micro.pdf
Hoja-ejs-T6-Micro.pdf
Hoja-ejs-T6-Micro.pdf
Anónimo

@Anónimo

apuntes

-

Resumen / Apuntes TODOS los temas (1-6)

He publicado nuevos apuntes de 2º Microeconomía: Resumen / Apuntes TODOS los temas (1-6)

T2-Micro.pdf
T2-Micro.pdf
T3-Micro.pdf
T3-Micro.pdf
T5-Micro.pdf
T5-Micro.pdf

He publicado nuevos examenes de 2º Microeconomía: ilovepdfmerged.pdf

10 páginas

He publicado nuevos apuntes de 2º Microeconomía: TEST-MICRO-T1Y2.pdf

19 páginas

ejercicios

-

Ejs + Test EXÁMENES resueltos

He publicado nuevos ejercicios de 2º Microeconomía: Ejs + Test EXÁMENES resueltos

H2-Enunciados-ejercicios-examenes-competencia-perfecta.pdf
H2-Enunciados-ejercicios-examenes-competencia-perfecta.pdf
H3-soluciones-ejercicios-examenes-monopolio-y-oligopolio.pdf
H3-soluciones-ejercicios-examenes-monopolio-y-oligopolio.pdf
H1-MICRO-Enunciados-ejercicios-examenes.pdf
H1-MICRO-Enunciados-ejercicios-examenes.pdf

apuntes

-

Resúmenes de la Asignatura

He publicado nuevos apuntes de 2º Microeconomía: Resúmenes de la Asignatura

Tema 1 - Producción y costes.pdf
Tema 1 - Producción y costes.pdf
Tema 2 - Mercados competitivos.pdf
Tema 2 - Mercados competitivos.pdf
Tema 6 - El oligopolio.pdf
Tema 6 - El oligopolio.pdf