Todo
Apuntes
Ejercicios
Exámenes
chevron_left
chevron_right

He publicado nuevos ejercicios de 3º Microeconomics III: QEPG2122a.pdf

2 páginas

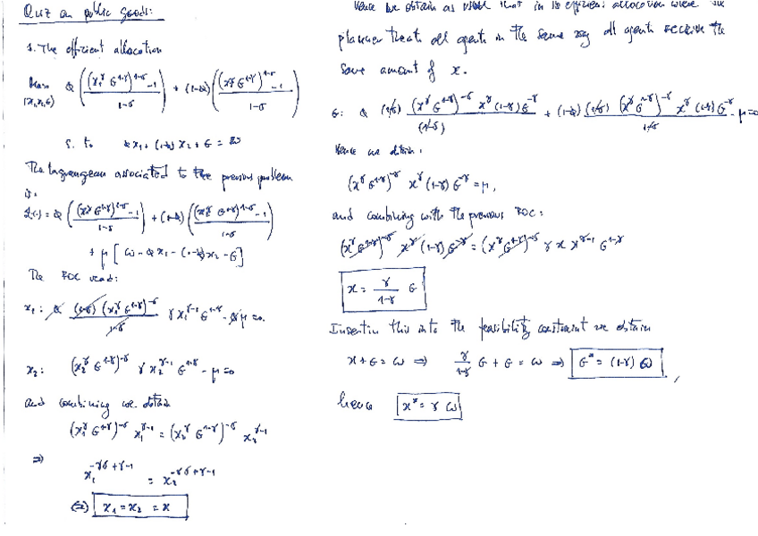
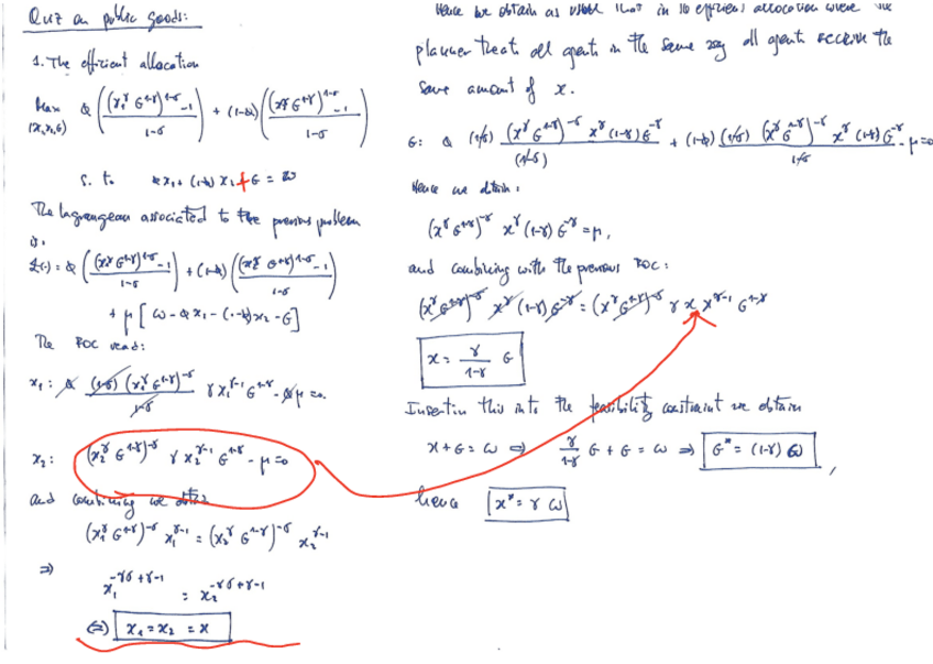
solucion quiz public goods

6 páginas

He publicado nuevos ejercicios de 3º Microeconomics III: ps3a1.pdf

3 páginas

enunciado quiz public goods

1 página
Anónimo

@Anónimo

He publicado nuevos examenes de 3º Microeconomics III: docsity-micro-iii-uab-mid-term.pdf

3 páginas

apuntes

-

powerpoints

He publicado nuevos apuntes de 3º Microeconomics III: powerpoints

2-Theory-of-Choice-under-Uncertainty.pdf
3-Theory-of-the-Firm.pdf
1-ConsumerTheory.pdf
¡Estás al día!

¡Estás al día!

Has visto todos los archivos