Todo
Apuntes
Ejercicios
Exámenes
chevron_left
chevron_right

He publicado nuevos apuntes de 1º Microeconomics: Esquemas-Con-Formulas-Micro.pdf

19 páginas

ejercicios

-

Problem set

He publicado nuevos ejercicios de 1º Microeconomics: Problem set

Problem-Set-2-Theory-Of-Producer.pdf
Problem-Set-2-Theory-Of-Producer.pdf
Problem-Set-3a.pdf
Problem-Set-3a.pdf
Problem-Set-3b.pdf
Problem-Set-3b.pdf

He publicado nuevos apuntes de 1º Microeconomics: Microeconomics.-Exercises-units-3b-4..pdf

23 páginas

He publicado nuevos apuntes de 1º Microeconomics: Microeconomics.-Exercises-units-1-3..pdf

18 páginas

He publicado nuevos apuntes de 1º Microeconomics: Microeconomics..pdf

53 páginas

He publicado nuevos apuntes de 1º Microeconomics: Microeconomics.-Apuntes-1o-Parcial..pdf

6 páginas

apuntes

-

Microeconomics - Theory

He publicado nuevos apuntes de 1º Microeconomics: Microeconomics - Theory

Apuntes-Completos-Microeconomics.pdf
Apuntes-Completos-Microeconomics.pdf
Theory-Summary-Microeconomics.pdf
Theory-Summary-Microeconomics.pdf

ejercicios

-

Microeconomics (all exercises solved)

He publicado nuevos ejercicios de 1º Microeconomics: Microeconomics (all exercises solved)

Resumen-micro-p.pdf
Resumen-micro-p.pdf
Ejercicios-resueltos-unit-1-2-3.pdf
Ejercicios-resueltos-unit-1-2-3.pdf
Exercises-unit-4-corrected.pdf
Exercises-unit-4-corrected.pdf

He publicado nuevos examenes de 1º Microeconomics: Examen-Microeconomia.-2a-Convocatoria-2024.pdf

1 página

He publicado nuevos examenes de 1º Microeconomics: Examen-Microeconomia-2024.pdf

1 página

He publicado nuevos apuntes de 1º Microeconomics: Microeconomics-Topic-3-Notes.pdf

23 páginas

He publicado nuevos apuntes de 1º Microeconomics: Microeconomics-Topic-4-Notes.pdf

9 páginas

apuntes

-

APUNTES DESARROLLADOS ESPAÑOL CON PROBLEMAS

Incluye apuntes desarrollados de la asignatura en español con sus correspondientes problemas. Sirve tanto para microeconomia en español como en ingles

MICROECONOMIA-PARTE-1.pdf
MICROECONOMIA-PARTE-1.pdf
MICROECONOMIA-PARTE-2.pdf
MICROECONOMIA-PARTE-2.pdf
MICROECONOMIA-PARTE-3.pdf
MICROECONOMIA-PARTE-3.pdf

ejercicios

-

PROBLEM SETS CORREGIDOS

He publicado nuevos ejercicios de 1º Microeconomics: PROBLEM SETS CORREGIDOS

PROBLEM-SET-1.pdf
PROBLEM-SET-1.pdf
PROBLEM-SET-UNIT-2.pdf
PROBLEM-SET-UNIT-2.pdf
PROBLEM-SET-UNIT-3-a.pdf
PROBLEM-SET-UNIT-3-a.pdf

He publicado nuevos apuntes de 1º Microeconomics: RESUMEN-UNIT-1.pdf

2 páginas

He publicado nuevos apuntes de 1º Microeconomics: RESUMEN-UNIT-3.pdf

2 páginas

He publicado nuevos apuntes de 1º Microeconomics: RESUMEN-UNIT-2.pdf

3 páginas

apuntes

-

APUNTES CLASE COMPLETOS 2023

He publicado nuevos apuntes de 1º Microeconomics: APUNTES CLASE COMPLETOS 2023

APUNTES-CLASE-UNIT-1.pdf
APUNTES-CLASE-UNIT-1.pdf
APUNTES-CLASE-UNIT-2.pdf
APUNTES-CLASE-UNIT-2.pdf
APUNTES-CLASE-UNIT-3.pdf
APUNTES-CLASE-UNIT-3.pdf
Anónimo

@Anónimo

apuntes

-

Microeconomics

He publicado nuevos apuntes de 1º Microeconomics: Microeconomics

Unit-1-Consumer.pdf
Unit-1-Consumer.pdf
Unit-2-Producer.pdf
Unit-2-Producer.pdf
Unit-3-E.A.-Perfectly-competitive-markets.pdf
Unit-3-E.A.-Perfectly-competitive-markets.pdf

He publicado nuevos ejercicios de 1º Microeconomics: EXERCICES-UNIT-1.pdf

4 páginas

He publicado nuevos apuntes de 1º Microeconomics: Microeconomics completo.pdf

24 páginas

examenes

-

Problemas de examen resueltos en video

He publicado nuevos examenes de 1º Microeconomics: Problemas de examen resueltos en video

https://youtu.be/4TUqdBP3MGU
https://youtu.be/4TUqdBP3MGU
https://youtu.be/ZzQP9UNVVfM
https://youtu.be/ZzQP9UNVVfM

apuntes

-

TESTS

He publicado nuevos apuntes de 1º Microeconomics: TESTS

TEST-1-micro.docx
TEST-1-micro.docx
TEST3.docx
TEST3.docx
EXAMEN-DE-MICRO-INGLES-TEMA-1.docx
EXAMEN-DE-MICRO-INGLES-TEMA-1.docx

apuntes

-

MICROECONOMICS

He publicado nuevos apuntes de 1º Microeconomics: MICROECONOMICS

Unit-3.pdf
Unit-3.pdf
Unit-4-micro.docx
Unit-4-micro.docx
Unit-3.pdf
Unit-3.pdf

ejercicios

-

EXERCISES

He publicado nuevos ejercicios de 1º Microeconomics: EXERCISES

unit-4.pdf
unit-4.pdf
unit-2.pdf
unit-2.pdf
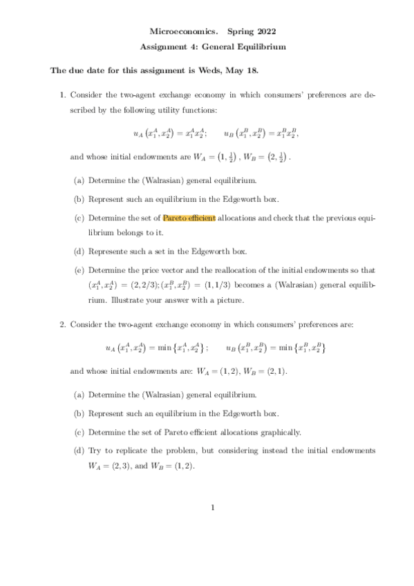
Assignment4.pdf
Assignment4.pdf

ejercicios

-

Problemas corregidos

He publicado nuevos ejercicios de 1º Microeconomics: Problemas corregidos

Unit1-Problemas-corregidos.pdf
Unit1-Problemas-corregidos.pdf
Unit2-Problemas-corregidos.pdf
Unit2-Problemas-corregidos.pdf
Unit3-Problemas-corregidos.pdf
Unit3-Problemas-corregidos.pdf