Todo
Apuntes
Ejercicios
Exámenes
publication
Trabajos
chevron_left
chevron_right

examenes

-

EXAMENES 2024-2025 Con Solución

He publicado nuevos examenes de 4º Misiles: EXAMENES 2024-2025 Con Solución

Ordinario-2024-2025.pdf
PEI-13-11-2024.pdf
Aerogo.pdf

examenes

-

EXAMENES 2023-2024 Con Solución

He publicado nuevos examenes de 4º Misiles: EXAMENES 2023-2024 Con Solución

Ordinario.pdf
Extraordinario.pdf
PEI-1.pdf
Aerogo.pdf

examenes

-

EXAMENES 2022-2023 Con Solución

He publicado nuevos examenes de 4º Misiles: EXAMENES 2022-2023 Con Solución

Extraordinario.pdf
Ordinario.pdf
Aerogo.pdf

examenes

-

EXAMENES 2021-2022 Con Solución

He publicado nuevos examenes de 4º Misiles: EXAMENES 2021-2022 Con Solución

Junio-2022.pdf
Pei-1-Problema.pdf
Enero-2022.pdf
Pei-1-TEORIA.pdf
Aerogo.pdf

examenes

-

EXAMENES 2020-2021 Con Solución

He publicado nuevos examenes de 4º Misiles: EXAMENES 2020-2021 Con Solución

Ordinario.pdf
Extraordinario-Parte-1.pdf
Extraordinario-Parte-2.pdf
Aerogo.pdf

examenes

-

TODOS los EXAMENES con SOLUCION 2018-2026

He publicado nuevos examenes de 4º Misiles: TODOS los EXAMENES con SOLUCION 2018-2026

PEI-2024-25.pdf
PEI-2023-24.pdf
PEI-2021-22.pdf
PEI-2019-20.pdf
PEI-2018-19.pdf
Ordinario-2024-25.pdf

He publicado nuevos apuntes de 4º Misiles: preguntas-teoria-misiles.pdf

14 páginas

apuntes

-

PREGUNTAS WOOCLAP CON SOLUCIÓN

En la Sesion 2, las soluciones de las preguntas 3 y 4 estan intercambiadas. Sería: 1) b 2) b 3) c 4) b

Sesion-1.pdf
Sesion-2.pdf

apuntes

-

Apuntes y Problemas a mano de Misiles

Apuntes para comprender de la manera mas precisa y eficiente todo el temario de misiles (te va a molar). Lo acompaño con documento de problemas de examen de los últimos años con explicaciones y desarrollos matemáticos.

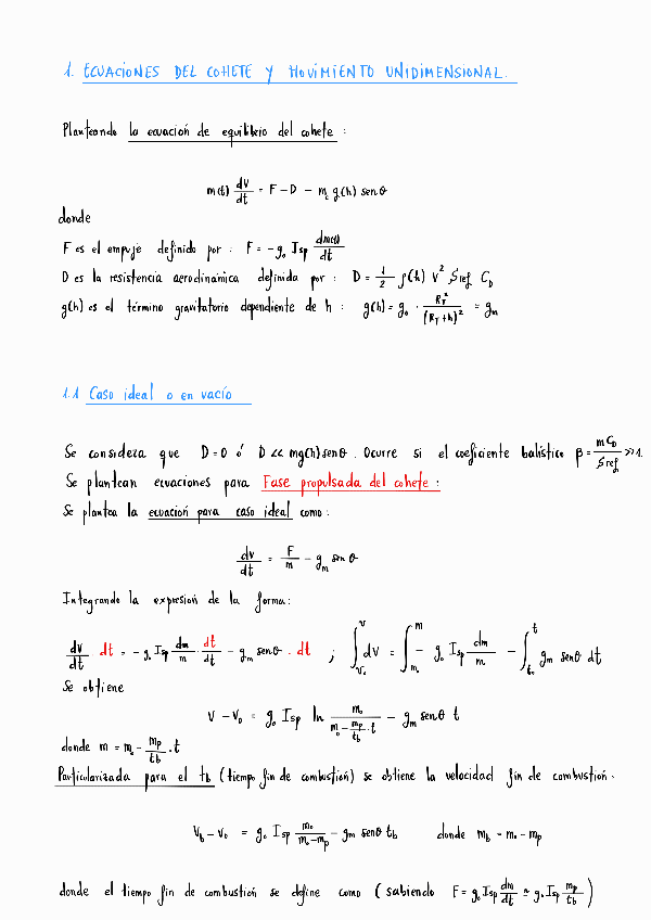
1.-Ecuaciones-del-cohete-y-movimiento-unidireccional.pdf
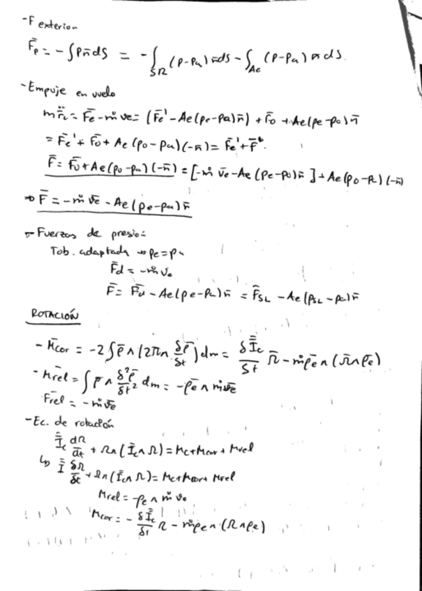
2.-Estabilidadmaniobrabilidad-y-fuerza-de-sustentacion-en-cohetes.pdf
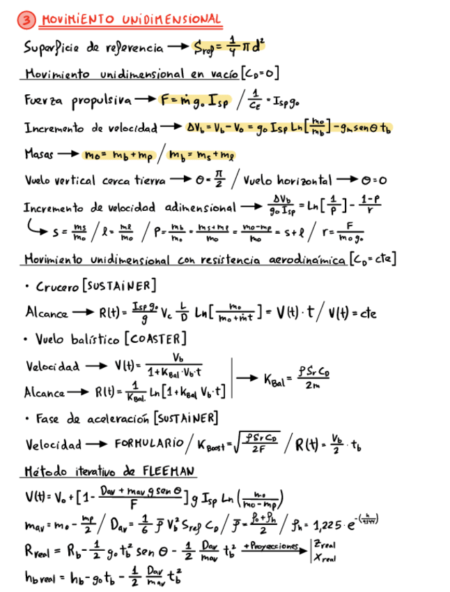
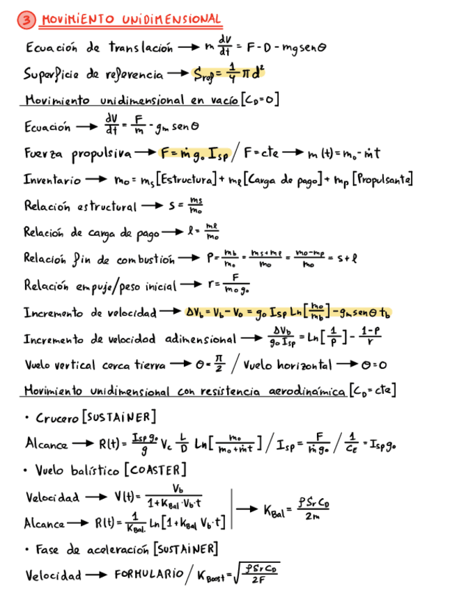
3.-Resistencia-aerodinamica-en-misiles.pdf
4.-Misiles-Balisticos.pdf
5.-Vehiculos-Lanzadores.pdf
6.-Sistemas-de-guiado-y-leyes-de-guiado.pdf

Examen extraordinario 2025

12 páginas

Teoría Misiles

34 páginas

Problemas de Clase de Misiles Resueltos

17 páginas

Examen Ordinario 2025

16 páginas

examenes

-

PEI 24-25

VA

PEI20241113solucion.pdf

Exámenes Resueltos

Os acabo de subir exámenes resueltos con enunciados para que bordéis el examen de misiles. Suerte y animo :)

examenes

-

Exámenes resueltos con Enunciados

He publicado nuevos examenes de 4º Misiles: Exámenes resueltos con Enunciados

Extra-2021-P2.pdf
Extra-2021.pdf
Extra-2022.pdf
Extra-2023.pdf
Ord-2020.pdf
Ord-2021.pdf

apuntes

-

Ms TEORIA

He publicado nuevos apuntes de 4º Misiles: Ms TEORIA

TEORIA-3.1.pdf
Teoria-3.2.pdf
Teoria-4.pdf
Teoria-6.pdf
Teoria-7.pdf
Teoria-9.pdf

apuntes

-

Ms PROBLEMAS

He publicado nuevos apuntes de 4º Misiles: Ms PROBLEMAS

Problemas-3.pdf
Problemas-4.pdf
Problemas-6.pdf
Problemas-7.pdf
Problemas-9.pdf
tests.pdf
Anónimo

@Anónimo

examenes

-

Exámenes 23-24

He publicado nuevos examenes de 4º Misiles: Exámenes 23-24

PEI20231108enunciadosolucion.pdf
EO2024.pdf
EE20240628.pdf

He publicado nuevos examenes de 4º Misiles: Coleccion-Problemas-Examen.pdf

40 páginas

apuntes

-

Con esto saqué un 10 en Misiles

He publicado nuevos apuntes de 4º Misiles: Con esto saqué un 10 en Misiles

EXAMEN-16012020.pdf
EXAMEN-17012019.pdf
EXAMEN-18012022.pdf
EXAMEN-20062019.pdf
EXAMEN-26062020.pdf
EXAMEN-27-JUNIO-2023.pdf

He publicado nuevos examenes de 4º Misiles: Examenes-resueltos-a-mano-2019-2022.pdf

22 páginas

He publicado nuevos ejercicios de 4º Misiles: Ejercicios-resueltos-a-mano-MOODLE.pdf

15 páginas

He publicado nuevos apuntes de 4º Misiles: Resumen-completo-misiles.pdf

28 páginas

He publicado nuevos apuntes de 4º Misiles: Problemas-Misiles-moodleexamenes.pdf

20 páginas

He publicado nuevos apuntes de 4º Misiles: Formulario-Completo-Misiles.pdf

6 páginas

He publicado nuevos apuntes de 4º Misiles: Resumen-Misiles.pdf

23 páginas

He publicado nuevos ejercicios de 4º Misiles: Problema-3-Moodle-Misil-Balistico.pdf

3 páginas

He publicado nuevos ejercicios de 4º Misiles: Problema-2-Moodle-Aerodinamica.pdf

5 páginas

He publicado nuevos ejercicios de 4º Misiles: Problema-1-Moodle-Movimiento-1D.pdf

5 páginas

He publicado nuevos apuntes de 4º Misiles: RESUMEN-MISILES.pdf

13 páginas

He publicado nuevos ejercicios de 4º Misiles: PROBLEMAS-MOODLE-MISILES.pdf

13 páginas

He publicado nuevos examenes de 4º Misiles: EXAMENES-MISILES.pdf

19 páginas

He publicado nuevos apuntes de 4º Misiles: Ejercicio-Lanzadorsolucion-problema-15.pdf

4 páginas

He publicado nuevos examenes de 4º Misiles: Problema-46-Enero-2021.pdf

6 páginas

He publicado nuevos apuntes de 4º Misiles: Ejercicio-guiadosol.pdf

3 páginas

examenes

-

Exámenes PROBLEMAS explicados

He publicado nuevos examenes de 4º Misiles: Exámenes PROBLEMAS explicados

EE-2019-Problemas.pdf
EE-2021-Problemas.pdf
EE-2022-Problemas.pdf
EO-2019-Problemas.pdf
EO-2020-Problemas.pdf
EO-2022-Problemas.pdf

examenes

-

Exámenes TEORÍA explicados

He publicado nuevos examenes de 4º Misiles: Exámenes TEORÍA explicados

EE-2019-Teoria.pdf
EE-2020-Teoria.pdf
EE-2021-Teoria.pdf
EE-2022-Teoria.pdf
EO-2019-Teoria.pdf
EO-2020-Teoria.pdf

He publicado nuevos apuntes de 4º Misiles: Formulario-Misiles-Actualizado.pdf

16 páginas

examenes

-

EE2023

He publicado nuevos examenes de 4º Misiles: EE2023

EE20230627enunciadosolfinal.pdf

He publicado nuevos apuntes de 4º Misiles: RECOPILACION-TEORIA-con-soluciones-al-final.pdf

16 páginas

He publicado nuevos apuntes de 4º Misiles: Formulario-COMPLETO.pdf

17 páginas

He publicado nuevos apuntes de 4º Misiles: Diapositivas-para-preguntas-de-examen.pdf

95 páginas

apuntes

-

Diapositivas clase

He publicado nuevos apuntes de 4º Misiles: Diapositivas clase

1.-Introduccion.pdf
2.-Movimiento-general-de-un-vehiculo-cohete.pdf
3.-Analisis-simplificado-de-la-trayectoria-de-un-vehiculo-cohete.pdf
4.-Fuerza-y-momentos-aerodinamicos.pdf
5.-Estabilidad-y-maniobrabilidad-aerodinamica.pdf
6.-Misiles-balisticos.pdf

He publicado nuevos examenes de 4º Misiles: EO20230117solucionesV3.pdf

21 páginas

He publicado nuevos examenes de 4º Misiles: EO20230117soluciones.pdf

12 páginas

He publicado nuevos apuntes de 4º Misiles: Teoria-para-10-Ms.pdf

33 páginas

He publicado nuevos apuntes de 4º Misiles: ApuntesFormulario-Misiles-Temas-1-12.pdf

45 páginas

He publicado nuevos trabajos de 4º Misiles: MsINFORME10de10ejercicio2MATLAB.pdf

6 páginas

He publicado nuevos trabajos de 4º Misiles: MsINFORME10de10ejercicio1MATLAB.pdf

5 páginas

Resumenes clave para el examen de Misiles

15 páginas

apuntes

-

TODO MISILES (Apuntes y Ejercicios)

He publicado nuevos apuntes de 4º Misiles: TODO MISILES (Apuntes y Ejercicios)

Ejercicios-Clase-y-Examen.pdf

He publicado nuevos apuntes de 4º Misiles: EJERCICIOS-DE-EXAMEN-RESUELTOS.pdf

32 páginas

He publicado nuevos apuntes de 4º Misiles: Giro-por-Gravedad.pdf

1 página

examenes

-

Extraordinario 2022

He publicado nuevos examenes de 4º Misiles: Extraordinario 2022

EEO20220628teoriafinalv1sol.pdf
EEO20220628teoriafinalv3sol.pdf
EEO20220628teoriafinalv4sol.pdf
EEO20220628teoriafinalv2sol.pdf
Anónimo

@Anónimo

apuntes

-

Ordinario 2022 resolución

He publicado nuevos apuntes de 4º Misiles: Ordinario 2022 resolución

EO20220118teoriafinalv1sol.pdf
EO20220118problema-parte2sol.pdf
EO20220118problema-parte1sol.pdf

He publicado nuevos apuntes de 4º Misiles: Extraordinario-2019-20-Resuelto.pdf

pdf
Anónimo

@Anónimo

examenes

-

Parcial 2021-2022

He publicado nuevos examenes de 4º Misiles: Parcial 2021-2022

PEI20211110probfinalsolv1.pdf
PEI20211110teoriafinalsolv1.pdf

He publicado nuevos apuntes de 4º Misiles: EO20210120solV2-misiles.pdf

12 páginas

apuntes

-

Parcial 2020-21 con sol- misiles

He publicado nuevos apuntes de 4º Misiles: Parcial 2020-21 con sol- misiles

P3Movimiento-unidimensionalv2.pdf
P2gupoA-LanzadoresV3.pdf
P2gupoB-Lanzadores.pdf
P1GrupoAMisil-balisticoV2.pdf
P1GrupoBMisil-balistico.pdf