Modelado Geométrico

chevron_left
chevron_right
Todo
Apuntes
Ejercicios
Exámenes
Prácticas
Trabajos
chevron_left
chevron_right

ejercicios

-

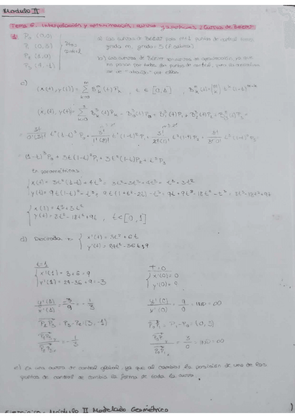
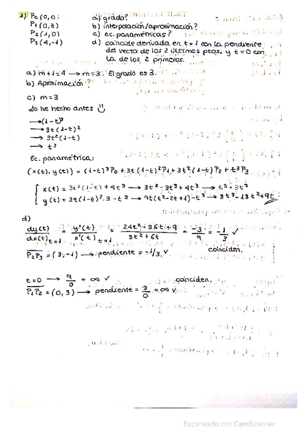
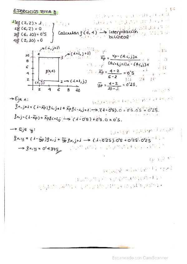
Soluciones Ejercicios Tema 6.

He publicado nuevos ejercicios de 1º Modelado Geométrico: Soluciones Ejercicios Tema 6.

Eje.-MG-Tema-6.1.1.-Bezier.png
Eje.-MG-Tema-6.1.2.-Bezier.png
Eje.-MG-Tema-6.3.2.-Splines.png
Eje.-MG-Tema-6.3.1.-Splines.png
Eje.-MG-Tema-6.4.-Hermite.png

apuntes

-

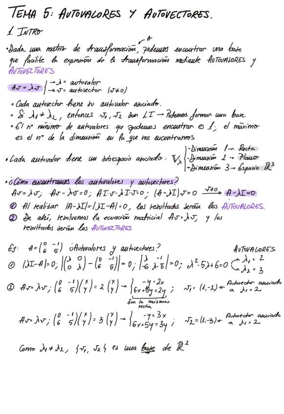
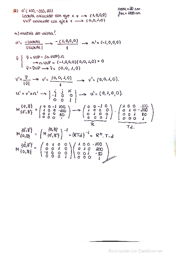
Soluciones ejercicios Tema 5.

He publicado nuevos apuntes de 1º Modelado Geométrico: Soluciones ejercicios Tema 5.

Eje.-MG-Tema-5.2.png
Eje.-MG-Tema-5.1.png

Apuntes que me he hecho para poder hacer el examen de práctica de modelado. las ultimas dos paginas son informacion que he sacado de la pagina web Vaia, que me ha estado haciendo preguntas sobre el temario <3

9 páginas

He publicado nuevos apuntes de 1º Modelado Geométrico: ModeladoGeometrico.-Apuntes-T8.png

Imagen

He publicado nuevos practicas de 1º Modelado Geométrico: ApuntesExamenPractico.pdf

2 páginas

He publicado nuevos apuntes de 1º Modelado Geométrico: Modelado-ApuntesTema8.pdf

2 páginas

He publicado nuevos apuntes de 1º Modelado Geométrico: ModeladoGeometrico.-Apuntes-T7.png

Imagen

Estos son las preguntas del examende ejemplo que ha subido al profesor al aula virtual, pero justificando porqué las otras opciones no son la correcta. Las opciones correctas están en mi otro post jeje

3 páginas

apuntes

-

ModeladoGeometrico. Apuntes T6

He publicado nuevos apuntes de 1º Modelado Geométrico: ModeladoGeometrico. Apuntes T6

ModeladoGeometrico.-Apuntes-T6.png
ModeladoGeometrico.-Apuntes-T6.1.png

apuntes

-

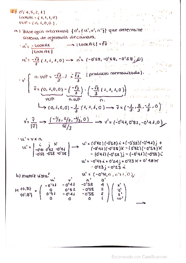
ModeladoGeometrico. Apuntes T4

He publicado nuevos apuntes de 1º Modelado Geométrico: ModeladoGeometrico. Apuntes T4

ModeladoGeometrico.-Apuntes-T4.png
ModeladoGeometrico.-Apuntes-T4.-2.png

He publicado nuevos apuntes de 1º Modelado Geométrico: ModeladoGeometrico.-Apuntes-T5.png

Imagen

He publicado nuevos apuntes de 1º Modelado Geométrico: Modelado-ApuntesTema7.pdf

5 páginas

He publicado nuevos apuntes de 1º Modelado Geométrico: Modelado-ApuntesTema6.pdf

13 páginas

ejercicios

-

Ejercicios + soluciones Tema 4. ModeladoGeometrico.

He publicado nuevos ejercicios de 1º Modelado Geométrico: Ejercicios + soluciones Tema 4. ModeladoGeometrico.

Eje.-ModeladoGeometrico.-Tema-4.1.png
Eje.-ModeladoGeometrico.-Tema-4.2.png

apuntes

-

Ejercicios + soluciones Tema 2. ModeladoGeometrico.

He publicado nuevos apuntes de 1º Modelado Geométrico: Ejercicios + soluciones Tema 2. ModeladoGeometrico.

Eje.-ModeladoGeometrico.-Tema-2.1.png
Eje.-ModeladoGeometrico.-Tema-2.2.png
Eje.-ModeladoGeometrico.-Tema-2.3.png

ejercicios

-

Ejercicios + soluciones Tema 1. Modelado Geometrico

He publicado nuevos ejercicios de 1º Modelado Geométrico: Ejercicios + soluciones Tema 1. Modelado Geometrico

Eje.-ModeladoGeometrico.-Tema-1.1.png
Eje.-ModeladoGeometrico.-Tema-1.2.png
Eje.-ModeladoGeometrico.-Tema-1.3.png

He publicado nuevos apuntes de 1º Modelado Geométrico: Modelado-ApuntesTema5.pdf

4 páginas

He publicado nuevos apuntes de 1º Modelado Geométrico: Modelado-ApuntesTema4.pdf

4 páginas

He publicado nuevos apuntes de 1º Modelado Geométrico: Modelado-ApuntesTema3.pdf

7 páginas

He publicado nuevos apuntes de 1º Modelado Geométrico: Modelado-ApuntesTema2.pdf

7 páginas

He publicado nuevos apuntes de 1º Modelado Geométrico: Modelado-ApuntesTema1.pdf

1 página

He publicado nuevos apuntes de 1º Modelado Geométrico: Tema-1-Resumen.-ModeladoGeometrico..pdf

1 página

He publicado nuevos apuntes de 1º Modelado Geométrico: Tema-2-Resumen.-ModeladoGeometrico..pdf

3 páginas

He publicado nuevos examenes de 1º Modelado Geométrico: examen-practicas-2025.pdf

10 páginas

Espero que no se entienda muy mal porque los hice para mi, pero yo con esto he aprobado los dos bloques

12 páginas

Algunas fórmulas que no vienen en el formulario

2 páginas

apuntes

-

Apuntes Modelado

He publicado nuevos apuntes de 1º Modelado Geométrico: Apuntes Modelado

tema-2.pdf
tema-3.pdf
apuntes-modelado-T4.pdf
Tema-5.pdf

Exámenes resueltos paso a paso y corregidos

18 páginas

Ejercicios por tema resueltos paso a paso

23 páginas

apuntes

-

Exámenes bloque 2 resueltos en octave

He publicado nuevos apuntes de 1º Modelado Geométrico: Exámenes bloque 2 resueltos en octave

examen-resuelto-modelado-2023.pdf

examenes

-

Exámenes bloque 1 resueltos en octave

He publicado nuevos examenes de 1º Modelado Geométrico: Exámenes bloque 1 resueltos en octave

examen-resuelto-modelado-2023.pdf

He publicado nuevos apuntes de 1º Modelado Geométrico: EjercicioCurva-BloqueIIModeladoGeometricoEjExamen.pdf

2 páginas
Anónimo

@Anónimo

He publicado nuevos trabajos de 1º Modelado Geométrico: Memoria-Practica-1-Modela-Geometrico.pdf

6 páginas

Ejercicios resueltos de los exámenes de la ordinaria y extraordinaria del curso 2022/2023.

6 páginas

Ejercicios resueltos de los exámenes de la ordinaria y extraordinaria del curso 2022/2023.

6 páginas

He publicado nuevos apuntes de 1º Modelado Geométrico: FORMULAS-QUE-FALTAN-EN-EL-FORMULARIO.pdf

2 páginas

La forma definitiva de pasarte modelado geométrico, archivos R con las respuestas de examenes y ejercicios.

Miniatura no disponible
zip

He publicado nuevos ejercicios de 1º Modelado Geométrico: ALGUNOS-EJERCICIOS-DE-EXAMENES-RESUELTOS.pdf

5 páginas

He publicado nuevos ejercicios de 1º Modelado Geométrico: TEMA-3-EJERCICIO-6-RESUELTO-Y-EXPLICADO.pdf

3 páginas

apuntes

-

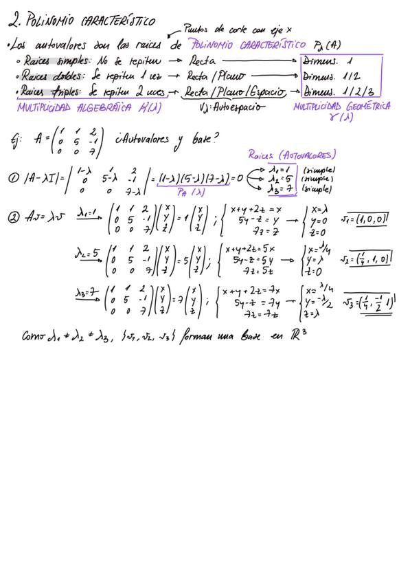
MG resúmenes y fórmulas

He publicado nuevos apuntes de 1º Modelado Geométrico: MG resúmenes y fórmulas

Tema7-Resumen.pdf
Tema8-Resumen.pdf
formulas.pdf
Tema2-Resumen.pdf
Tema3-Resumen.pdf
Tema4-Resumen.pdf

apuntes

-

Apuntes para examen

He publicado nuevos apuntes de 1º Modelado Geométrico: Apuntes para examen

Apuntes-de-EJERCICIOS-de-EXAMEN-Bloque-1.pdf
Apuntes-de-EJERCICIOS-de-EXAMEN-Bloque-2-Pt2.pdf
Apuntes-de-EJERCICIOS-de-EXAMEN-Bloque-2-Pt1.pdf

apuntes

-

Temas resumidos

He publicado nuevos apuntes de 1º Modelado Geométrico: Temas resumidos

T2Espacios-vectoriales.pdf
TEMA-3.pdf
T4Geometria-proyectiva-y-camaras.pdf
T5autovaloresYautovectores.pdf

ejercicios

-

Ejercicios Resueltos

He publicado nuevos ejercicios de 1º Modelado Geométrico: Ejercicios Resueltos

Ejs_T1_Resueltos.pdf
Ejs-T2-Resueltos.pdf
Ejs-T3-Resueltos.pdf
Ejs_T4_Resueltos.pdf

ejercicios

-

EJERCICIOS EN OCTAVE EXPLICADOS

He publicado nuevos ejercicios de 1º Modelado Geométrico: EJERCICIOS EN OCTAVE EXPLICADOS

Ejerciciostema1.m
Ejerciciostema2.m

ejercicios

-

Ejercicios resueltos

He publicado nuevos ejercicios de 1º Modelado Geométrico: Ejercicios resueltos

Ejercicios-T1.pdf

He publicado nuevos apuntes de 1º Modelado Geométrico: FORMULAS-Modelado-Geometrico.pdf

2 páginas

He publicado nuevos apuntes de 1º Modelado Geométrico: RESUMEN-COMPLETO-Modelado-Geometrico.pdf

6 páginas

apuntes

-

MODELADO GEOMÉTRICO (22_23)

He publicado nuevos apuntes de 1º Modelado Geométrico: MODELADO GEOMÉTRICO (22_23)

APUNTES-EXAMEN-PRACTICO-MODELADO.pdf

He publicado nuevos apuntes de 1º Modelado Geométrico: EXAMEN-PRACTICA.pdf

2 páginas

He publicado nuevos apuntes de 1º Modelado Geométrico: Apuntes-modelado.pdf

136 páginas

He publicado nuevos practicas de 1º Modelado Geométrico: Práctica 2: Implementación en CPU.pdf

3 páginas

He publicado nuevos practicas de 1º Modelado Geométrico: Práctica 1: Skinning.pdf

12 páginas

ejercicios

-

Ejercicios modelado geométrico

He publicado nuevos ejercicios de 1º Modelado Geométrico: Ejercicios modelado geométrico

Ejercicios tema 1.pdf
Ejercicios tema 2.pdf
Ejercicios tema 4.pdf
Ejercicios tema 3.pdf
Ejercicios tema 6.pdf

apuntes

-

Apuntes modelado geométrico

He publicado nuevos apuntes de 1º Modelado Geométrico: Apuntes modelado geométrico

Apuntes tema 1: Introducción y repaso a la trigonometría.pdf
Apuntes tema 2: Espacios vectoriales.pdf
Apuntes tema 3: Transformaciones afines.pdf
Apuntes tema 4: Geometría proyectiva y cámaras.pdf
Apuntes tema 5: Autovalores y autovectores.pdf
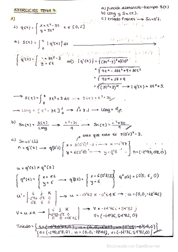
Apuntes tema 6: Interpolación y aproximación. Curvas y superficies.pdf

He publicado nuevos apuntes de 1º Modelado Geométrico: Ejercicios tipo Bloque 2.pdf

6 páginas

He publicado nuevos apuntes de 1º Modelado Geométrico: Ejercicios tipo Bloque 1.pdf

5 páginas

He publicado nuevos apuntes de 1º Modelado Geométrico: Conceptos fundamentales de cada tema.pdf

4 páginas

He publicado nuevos apuntes de 1º Modelado Geométrico: Tema-5.pdf

14 páginas

He publicado nuevos apuntes de 1º Modelado Geométrico: Tema-6.pdf

33 páginas

apuntes

-

Bloque 1

He publicado nuevos apuntes de 1º Modelado Geométrico: Bloque 1

Tema-3.pdf
Tema-4.pdf
Tema-1.pdf
Tema-2.pdf