chevron_left
chevron_right
Todo
Apuntes
Ejercicios
Exámenes
chevron_left
chevron_right

Parcial I Modelización 2026

5 páginas

He publicado nuevos apuntes de 1º Modelización del Azar y Toma de Decisiones: TEMA-1.pdf

2 páginas

He publicado nuevos apuntes de 1º Modelización del Azar y Toma de Decisiones: Tema-1.pdf

9 páginas

He publicado nuevos examenes de 1º Modelización del Azar y Toma de Decisiones: Final-Ejemplo.pdf

7 páginas

He publicado nuevos apuntes de 1º Modelización del Azar y Toma de Decisiones: Geometrica-Binomial-Negativa.pdf

2 páginas

He publicado nuevos examenes de 1º Modelización del Azar y Toma de Decisiones: Examen-Mode.pdf

7 páginas

He publicado nuevos apuntes de 1º Modelización del Azar y Toma de Decisiones: Distribuciones.pdf

2 páginas

He publicado nuevos examenes de 1º Modelización del Azar y Toma de Decisiones: Examen-Ejemplo.pdf

4 páginas

He publicado nuevos apuntes de 1º Modelización del Azar y Toma de Decisiones: Induccion.pdf

12 páginas

He publicado nuevos apuntes de 1º Modelización del Azar y Toma de Decisiones: Hipergeometrica-Ejercicios.pdf

1 página

He publicado nuevos apuntes de 1º Modelización del Azar y Toma de Decisiones: Espacios-Muestrales.pdf

3 páginas

He publicado nuevos apuntes de 1º Modelización del Azar y Toma de Decisiones: Todo.pdf

69 páginas

apuntes

-

MODELIZACIÓN DEL AZAR Y TOMA DE DECISIONES

He publicado nuevos apuntes de 1º Modelización del Azar y Toma de Decisiones: MODELIZACIÓN DEL AZAR Y TOMA DE DECISIONES

TEMA 1: SUCESIONES.pdf
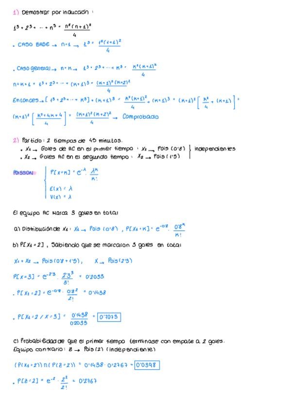
TEMA 2: INDUCCIÓN MATEMÁTICA.pdf
TEMA 3: COMBINATORIA.pdf
TEMA 4: PROBABILIDAD.pdf
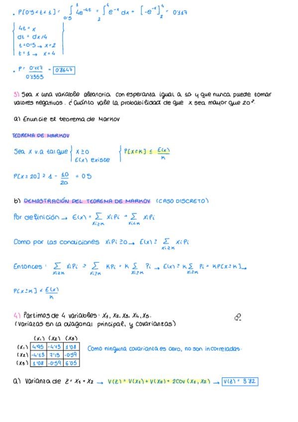
TEMA 5: ESPERANZA Y VARIANZA. COVARIANZA Y CORRELACIÓN.pdf
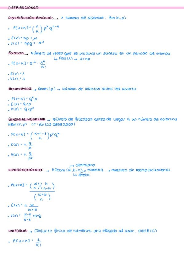
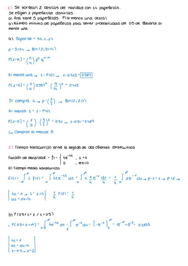
TEMA 6: DISTRIBUCIONES.pdf
Anónimo

@Anónimo

He publicado nuevos examenes de 1º Modelización del Azar y Toma de Decisiones: EXAMEN-PARCIAL-MAYO-2025.pdf

1 página
Anónimo

@Anónimo

He publicado nuevos examenes de 1º Modelización del Azar y Toma de Decisiones: EXAMEN-ENERO-2024.pdf

2 páginas

apuntes

-

temario de la guia docente-modelizacion

He publicado nuevos apuntes de 1º Modelización del Azar y Toma de Decisiones: temario de la guia docente-modelizacion

Modelos-Probabilisticos-V.A.-Continuas.pdf
formulario.pdf
Indice.pdf
Modelos-Probabilisticos-V.A.-Discretas.pdf
Momentos-Esperanza-Varianza-Etc....pdf
Probabilidad-El-concepto-de-Independencia-y-Enumeracion.pdf

He publicado nuevos apuntes de 1º Modelización del Azar y Toma de Decisiones: COMO-SABER-QUE-DISTRIBUCION-USAR.pdf

1 página

He publicado nuevos apuntes de 1º Modelización del Azar y Toma de Decisiones: RESUMEN-DISTRIBUCIONES.pdf

2 páginas

He publicado nuevos apuntes de 1º Modelización del Azar y Toma de Decisiones: Clases hasta variables aleatorias(distribuciones).pdf

19 páginas

He publicado nuevos apuntes de 1º Modelización del Azar y Toma de Decisiones: Tabla resumen distribuciones.pdf

1 página

apuntes

-

VARIABLES ALEATORIAS

Variable aleatoria discreta, continua, multidimensional. Esperanza y distribuciones. Ejercicios resueltos.

ESQUEMA-VARIABLES-ALEATORIAS.pdf
VARIABLE-ALEATORIA-DISCRETA.pdf
VARIABLE-ALEATORIA-CONTINUA.pdf
DISTRIBUCION-NORMAL-Y-EXPONENCIAL.pdf
EJERCICIOS-VARIABLE-ALEATORIA-CONTINUA.pdf
ESPERANZA.pdf

He publicado nuevos ejercicios de 1º Modelización del Azar y Toma de Decisiones: EJERCICIOS-INDUCCION.pdf

5 páginas

He publicado nuevos apuntes de 1º Modelización del Azar y Toma de Decisiones: INDUCCION-MATEMATICA.pdf

4 páginas

He publicado nuevos apuntes de 1º Modelización del Azar y Toma de Decisiones: PROBABILIDAD.pdf

7 páginas

apuntes

-

COMBINATORIA

Apuntes y ejercicios solucionados de combinatoria

COMBINATORIA.pdf
EJERCICIOS-COMBINATORIA.pdf
EJERCICIOS-COMBINATORIA-2.pdf

He publicado nuevos apuntes de 1º Modelización del Azar y Toma de Decisiones: Esquema-variables.pdf

1 página

He publicado nuevos apuntes de 1º Modelización del Azar y Toma de Decisiones: modelizacion-apuntes-completo.pdf

24 páginas
¡Estás al día!

¡Estás al día!

Has visto todos los archivos