chevron_left
chevron_right
Todo
Exámenes
chevron_left
chevron_right

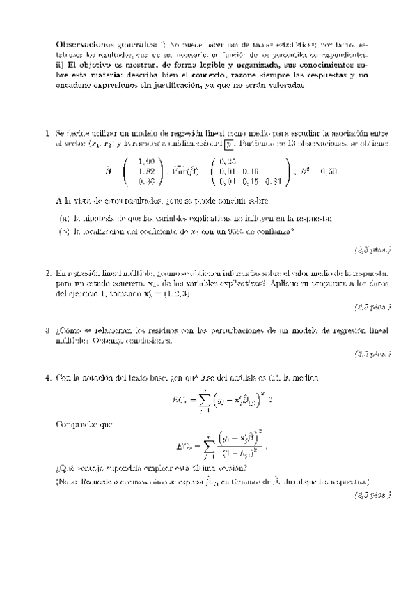
He publicado nuevos examenes de 4º Modelos de Regresión: Modelos-de-Regresion-Segunda-Semana-Curso-18-19.pdf

1 página

He publicado nuevos examenes de 4º Modelos de Regresión: Modelos-de-Regresion-Recuperacion-Curso-18-19.pdf

1 página

He publicado nuevos examenes de 4º Modelos de Regresión: Modelos-de-Regresion-Primera-Semana-Curso-18-19.pdf

1 página

He publicado nuevos examenes de 4º Modelos de Regresión: Modelos-de-Regresion-Primera-Semana-Curso-22-23.pdf

1 página

He publicado nuevos examenes de 4º Modelos de Regresión: Modelos-de-Regresion-Segunda-Semana-Curso-22-23.pdf

1 página
¡Estás al día!

¡Estás al día!

Has visto todos los archivos