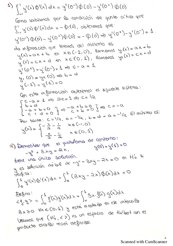
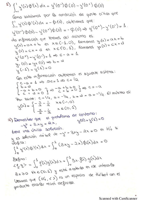
Modelos Matemáticos II

chevron_left
chevron_right
Todo
Apuntes
Ejercicios
Exámenes
chevron_left
chevron_right

He publicado nuevos examenes de 4º Modelos Matemáticos II: Parcial-2324-Modelos-Matematicos-II.pdf

2 páginas

He publicado nuevos examenes de 4º Modelos Matemáticos II: Ordinario-2324-Modelos-Matematicos-II.pdf

2 páginas

He publicado nuevos examenes de 4º Modelos Matemáticos II: ModII-Final2021.pdf

1 página

He publicado nuevos examenes de 4º Modelos Matemáticos II: MMII-Parcial12021.pdf

2 páginas

ejercicios

-

Ejercicios Resueltos

He publicado nuevos ejercicios de 4º Modelos Matemáticos II: Ejercicios Resueltos

Relacion-1-resuelta19-20.pdf
Relacion-2-resuelta19-20.pdf

He publicado nuevos ejercicios de 4º Modelos Matemáticos II: MM2ejerciciosresueltos.pdf

25 páginas

He publicado nuevos apuntes de 4º Modelos Matemáticos II: MMII.pdf

70 páginas
¡Estás al día!

¡Estás al día!

Has visto todos los archivos