Todo
Apuntes
Ejercicios
Exámenes
Prácticas
publication
chevron_left
chevron_right

ejercicios

word

apuntes

-

apuntes temas

He publicado nuevos apuntes de 1º Modelos Matemáticos para ADE II: apuntes temas

T1-Modelos-dinamicos-discretos-de-primer-orden..docx
T2-MARKOV.docx
T3-i-4-MODELOS-EDO.pdf
Anónimo

@Anónimo

He publicado nuevos apuntes de 1º Modelos Matemáticos para ADE II: MADE-II-T3-ApuntesEjercicios-PARTE-1.pdf

13 páginas
Anónimo

@Anónimo

Mucha suerte

4 páginas
Anónimo

@Anónimo

He publicado nuevos apuntes de 1º Modelos Matemáticos para ADE II: MADE-II-T4-ApuntesEjercicios.pdf

4 páginas

Apuntes del primer parcial hechos en ipad

26 páginas

Es la estructura que siguen todas las actividades del tema 1 y 2 de made II, con su explicación y pasos.

2 páginas

Básicamente es la estructura que siguen todos los ejercicios del tema 3 y 4 de made, con su explicación (importante sabérselo para que no te quiten puntos).

1 página

Tema 2 - Sistemas dinámicos de primer orden completo y con ejemplos paso a paso hechos por profesor. Parcial 1.

26 páginas

Tema 1 - Modelos dinámicos discretos de primer orden completo y con ejemplos paso a paso hechos por profesor. Parcial 1.

28 páginas

Tema 3 completo con ejercicios paso a paso

39 páginas

Tema 4 completo con ejercicios completos paso a paso

17 páginas

Examen recuperación 2024, hecho por profesor.

5 páginas

He publicado nuevos apuntes de 1º Modelos Matemáticos para ADE II: TEMA4MADEII.pdf

5 páginas

He publicado nuevos apuntes de 1º Modelos Matemáticos para ADE II: Apuntes-MADE-II-Tema-3-y-4.pdf

24 páginas

He publicado nuevos apuntes de 1º Modelos Matemáticos para ADE II: TEMA3MADEII.pdf

28 páginas

He publicado nuevos apuntes de 1º Modelos Matemáticos para ADE II: Todos-los-modelos-explicados-paso-a-paso.pdf

28 páginas

He publicado nuevos apuntes de 1º Modelos Matemáticos para ADE II: Modelos-explicados-paso-a-paso-1o-PARCIAL.pdf

5 páginas

He publicado nuevos apuntes de 1º Modelos Matemáticos para ADE II: Modelo-de-Competencia-explicado-paso-a-paso.pdf

4 páginas

He publicado nuevos apuntes de 1º Modelos Matemáticos para ADE II: Todos-los-modelos-explicados-2o-Parcial.pdf

19 páginas

apuntes

-

Tema 2 MADE II

He publicado nuevos apuntes de 1º Modelos Matemáticos para ADE II: Tema 2 MADE II

Tema-2-MADE-II.pdf
Tema-1-MADE-II.pdf

Cada modelo está explicado paso a paso con un ejemplo T3-4 Parcial 2

8 páginas

He publicado nuevos apuntes de 1º Modelos Matemáticos para ADE II: Malthus-model.pdf

5 páginas

He publicado nuevos ejercicios de 1º Modelos Matemáticos para ADE II: Exercises-Made.pdf

21 páginas

He publicado nuevos examenes de 1º Modelos Matemáticos para ADE II: Exams-Made.pdf

6 páginas

He publicado nuevos practicas de 1º Modelos Matemáticos para ADE II: Practice-and-seminars-Made.pdf

7 páginas

He publicado nuevos apuntes de 1º Modelos Matemáticos para ADE II: Predator-models.pdf

5 páginas

He publicado nuevos apuntes de 1º Modelos Matemáticos para ADE II: Walras-Model.pdf

1 página

He publicado nuevos ejercicios de 1º Modelos Matemáticos para ADE II: Exercises-Made-2.pdf

20 páginas

He publicado nuevos apuntes de 1º Modelos Matemáticos para ADE II: Logistic-model.pdf

6 páginas

He publicado nuevos apuntes de 1º Modelos Matemáticos para ADE II: Integral-de-Rieman.pdf

4 páginas

He publicado nuevos apuntes de 1º Modelos Matemáticos para ADE II: Recalls.pdf

3 páginas

He publicado nuevos apuntes de 1º Modelos Matemáticos para ADE II: Examen-made2.jpeg

Imagen

Apuntes clases

11 páginas

Apuntes clases

17 páginas
Anónimo

@Anónimo

apuntes

-

Apuntes de Clase (EDO, Ecuación Logística, Sistemas)

Con la “teoria”

T.3-Apuntes-d-clase-Modelos-dinamicos-1r-orden.pdf
T4-Apuntes-Clase.-SEDO.pdf
T3-Ecuacion-Logistica-Apuntes-ClaseModelos-Dinamicos.pdf

Exámen MADE y Estadística

Graduada en Matemáticas ofrece clases particulares para preparar examen de MADE y Estadística

He publicado nuevos ejercicios de 1º Modelos Matemáticos para ADE II: Modelos-continuos-de-presa-depredador..pdf

6 páginas

He publicado nuevos apuntes de 1º Modelos Matemáticos para ADE II: Modelo-Walras.-Con-Los-Ejemplos.pdf

9 páginas

apuntes

-

Apuntes y Ejercicios 2ºParcial

He publicado nuevos apuntes de 1º Modelos Matemáticos para ADE II: Apuntes y Ejercicios 2ºParcial

ApuntesyEjerciciosMade-Continuacion.pdf
ApuntesyEjerciciosMade.pdf

ejercicios

-

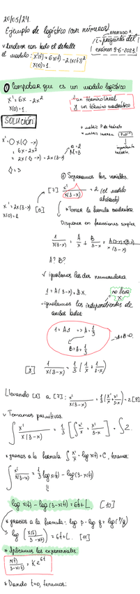
MODELO LOGÍSTICO

He publicado nuevos ejercicios de 1º Modelos Matemáticos para ADE II: MODELO LOGÍSTICO

IMG2622.png
IMG2623.jpeg

Apuntes de clase explicados paso a paso

10 páginas

He publicado nuevos apuntes de 1º Modelos Matemáticos para ADE II: TEMA-1-MADEII.pdf

20 páginas

apuntes

-

MODELOS MADE 2

He publicado nuevos apuntes de 1º Modelos Matemáticos para ADE II: MODELOS MADE 2

modelo-con-especulacion-a-la-media-ejem.pdf
modelo-walras-ejemplo-3.pdf
modelo-regresion-a-la-media-ejemplo-1.pdf
modelo-walras-ejemplo-1.pdf

He publicado nuevos examenes de 1º Modelos Matemáticos para ADE II: examen-made-2.pdf

1 página

He publicado nuevos apuntes de 1º Modelos Matemáticos para ADE II: MATEMATICAS-II-EXPLICACION-MODELOS-Y-SISTEMAS.pdf

5 páginas

examenes

-

EXAMEN MATEMÁTICAS II 2022/23

He publicado nuevos examenes de 1º Modelos Matemáticos para ADE II: EXAMEN MATEMÁTICAS II 2022/23

EXAMEN-MATEMATICAS-II-JUNIO-2023.pdf
EXAMEN-MATEMATICAS-II-MARZO-2023.pdf

He publicado nuevos apuntes de 1º Modelos Matemáticos para ADE II: MADE-II.pdf

33 páginas

He publicado nuevos examenes de 1º Modelos Matemáticos para ADE II: EXAMEN-PRACTICO.docx.pdf

1 página

apuntes

-

RESUMENES TEMAS

He publicado nuevos apuntes de 1º Modelos Matemáticos para ADE II: RESUMENES TEMAS

TEMA-4-1.pdf
TEMA-1-1.pdf
TEMA-2.pdf
TEMA-3.pdf
TEMA-2-SUB.pdf

He publicado nuevos apuntes de 1º Modelos Matemáticos para ADE II: resumen-examen-de-practicas.pdf

2 páginas

He publicado nuevos ejercicios de 1º Modelos Matemáticos para ADE II: Ejercicios-T1-resueltos.pdf

7 páginas

He publicado nuevos apuntes de 1º Modelos Matemáticos para ADE II: Teoria-T1--comportamientos-a-LP.pdf

8 páginas

apuntes

-

TODOS LOS MODELOS RESUELTOS

He publicado nuevos apuntes de 1º Modelos Matemáticos para ADE II: TODOS LOS MODELOS RESUELTOS

parcial-1-todos-los-modelos-resueltos.pdf
parcial-2-todos-los-modelos-resueltos.pdf

He publicado nuevos apuntes de 1º Modelos Matemáticos para ADE II: Teoria-Ec.-Logistica--comportamiento-LP.pdf

3 páginas

He publicado nuevos apuntes de 1º Modelos Matemáticos para ADE II: Resolucion-SEDOs-completos.pdf

2 páginas

He publicado nuevos apuntes de 1º Modelos Matemáticos para ADE II: Resolucion-SEDOs-Homogeneos.pdf

2 páginas

He publicado nuevos apuntes de 1º Modelos Matemáticos para ADE II: Teoria-Especulacion--comportamiento-LP.pdf

2 páginas

He publicado nuevos apuntes de 1º Modelos Matemáticos para ADE II: Teoria-T3-y-T4MADE-II.pdf

11 páginas

He publicado nuevos apuntes de 1º Modelos Matemáticos para ADE II: Teoria-EDOs--comportamiento-a-LP.pdf

3 páginas