chevron_left
chevron_right
Todo
Apuntes
Ejercicios
Exámenes
publication
Test
Trabajos
chevron_left
chevron_right

He publicado nuevos ejercicios de 3º Motores Alternativos Aeronáuticos: Ejercicios-Resueltos-Moodle-PEI-2.pdf

8 páginas

examenes

-

Exámenes Motores Alternativos VA Coordinador Nuevo(Última actualización)

Todas las preguntas incluidas son de exámenes de otros años, así como exámenes del coordinador actual de otras especialidades

Guia-de-uso-Programa-Mac.pdf
Guia-de-uso-Programa-Windows.pdf
Miniatura no disponible
Programa-Mac.zip
Miniatura no disponible
Programa-Windows.zip

examenes

-

TODOS los EXAMENES PARTE 2 con SOLUCION 2014-2022

He publicado nuevos examenes de 3º Motores Alternativos Aeronáuticos: TODOS los EXAMENES PARTE 2 con SOLUCION 2014-2022

PEI-2-2022.pdf
PEI-2-2021.pdf
PEI-2-2017.pdf
PEI-2-2016.pdf
PEI-2-2015.pdf
PEI-2-2014.pdf
Anónimo

@Anónimo

examenes

-

Examenes 2025-26 VA

He publicado nuevos examenes de 3º Motores Alternativos Aeronáuticos: Examenes 2025-26 VA

PEI-1-2025-26.pdf

He publicado nuevos ejercicios de 3º Motores Alternativos Aeronáuticos: Ejercicios-Resueltos-Moodle-PEI-1.pdf

7 páginas

examenes

-

Preguntas Coordinador Nuevo Años Anteriores

Preguntas recopiladas de los exámenes de PA de los últimos años, ya que el nuevo coordinador de VA es el mismo que el de esa especialidad. Se han incluido únicamente las preguntas relacionadas con el temario dado en VA

Preguntas-Nuevo-Coordinador-Examenes-PA.pdf

He publicado nuevos apuntes de 3º Motores Alternativos Aeronáuticos: Esquema-MAA1er-Parcial.pdf

13 páginas

examenes

-

Código Exámenes Motores Alternativos VA

He publicado nuevos examenes de 3º Motores Alternativos Aeronáuticos: Código Exámenes Motores Alternativos VA

Leer-antes.pdf
Ordinario-14-15.pdf
Parcial-19-20.pdf
Parcial-18-19.pdf
Parcial-20-21.pdf
Parcial-21-22.pdf

examenes

-

TODOS los EXAMENES PARTE 1 con SOLUCION 2014-2022

He publicado nuevos examenes de 3º Motores Alternativos Aeronáuticos: TODOS los EXAMENES PARTE 1 con SOLUCION 2014-2022

PEI-1-2014.pdf
PEI-1-2015.pdf
PEI-1-2016.pdf
PEI-1-2017.pdf
PEI-1-2020.pdf
PEI-1-2021.pdf

apuntes

-

Examenes PEI 1 PA

He publicado nuevos apuntes de 3º Motores Alternativos Aeronáuticos: Examenes PEI 1 PA

Teoria-PEI-1-sin-soluciones-para-estudiar.docx
23-24OrdinarioRecuperacionPEI.pdf
23-24PEI.pdf
24-25ExtraodinarioPrimerParcial.pdf
24-25PEI.pdf

He publicado nuevos examenes de 3º Motores Alternativos Aeronáuticos: ORDINARIO-2324-Resuelto.pdf

13 páginas

He publicado nuevos examenes de 3º Motores Alternativos Aeronáuticos: ORDINARIO-2122-Resuelto.pdf

11 páginas

He publicado nuevos examenes de 3º Motores Alternativos Aeronáuticos: EXTRA-2324-Resuelto.pdf

5 páginas

He publicado nuevos examenes de 3º Motores Alternativos Aeronáuticos: Desarrollo-teorico-EXTRA-2324.pdf

1 página

He publicado nuevos examenes de 3º Motores Alternativos Aeronáuticos: PEI-2425-Resuelto.pdf

5 páginas

Incluye el desarrollo teórico

5 páginas

He publicado nuevos examenes de 3º Motores Alternativos Aeronáuticos: Desarrollo-teorico-PEI-2425-y-ORDINARIO-2425.pdf

1 página

apuntes

-

Apuntes COMPLETOS

Resúmenes completos del libro + Apuntes de clase

Tema-1.-Introduccion.pdf
Tema-6.-Transferencia-De-Calor.pdf
Tema-10.-Dinamica-Del-Motor.pdf
Tema-2.-Arquitectura-Del-Motor.pdf
Tema-4.-Ciclos-Reales.pdf
Tema-14.-Motores-Aeronauticos.pdf

examenes

-

PEI 2 2013-2026 Con Solución

He publicado nuevos examenes de 3º Motores Alternativos Aeronáuticos: PEI 2 2013-2026 Con Solución

PEI-2-2021-22.pdf
PEI-2-2020-21.pdf
PEI-2-2016-17.pdf
PEI-2-2015-16.pdf
PEI-2-2014-15.pdf
ORD-PEI-2-2014-15.pdf

apuntes

-

libro garceta

He publicado nuevos apuntes de 3º Motores Alternativos Aeronáuticos: libro garceta

Libro-Alternativos.pdf

apuntes

-

Todos los exámenes CTA

He publicado nuevos apuntes de 3º Motores Alternativos Aeronáuticos: Todos los exámenes CTA

ORDI-2024.pdf
ORDI-2023.pdf
ORDI-2022.pdf
ORDI-2021.pdf
EXTRA-2021.pdf
ORDI-2019.pdf

apuntes

-

EXAMEN ORDINARIO 2025 CTA

He publicado nuevos apuntes de 3º Motores Alternativos Aeronáuticos: EXAMEN ORDINARIO 2025 CTA

examen20250127res.pdf

Ejercicios propuestos para subir a Moodle para subir la nota. Añado un ejercicio de un examen de hace unos años.

8 páginas

examenes

-

Exámenes MAA con soluciones (iPad)

He publicado nuevos examenes de 3º Motores Alternativos Aeronáuticos: Exámenes MAA con soluciones (iPad)

PEI 1 2019.pdf
PEI 1 2022.pdf
PEI 1 2024.pdf
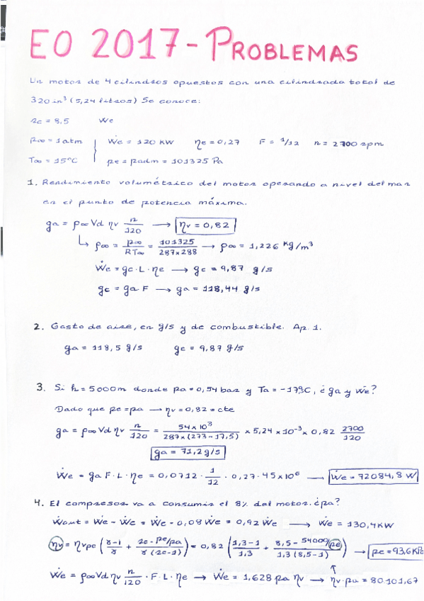
EO 2015 (Problema actuaciones).pdf

He publicado nuevos examenes de 3º Motores Alternativos Aeronáuticos: Recopilatorio de preguntas test por temas.pdf

12 páginas

He publicado nuevos examenes de 3º Motores Alternativos Aeronáuticos: PEI 25 resolución.pdf

4 páginas

He publicado nuevos examenes de 3º Motores Alternativos Aeronáuticos: Desarrollo de Damkholer PASO A PASO PEI 25.pdf

4 páginas

problemas resueltos primer parcial 2025 (PA)

1 página

ejercicios

-

Problemas curso 24/25

He publicado nuevos ejercicios de 3º Motores Alternativos Aeronáuticos: Problemas curso 24/25

Problema-3.pdf
Problema-Actuaciones.pdf

He publicado nuevos apuntes de 3º Motores Alternativos Aeronáuticos: Problema-Actuaciones.pdf

1 página

apuntes

-

recopilación exámenes PEI 2

He publicado nuevos apuntes de 3º Motores Alternativos Aeronáuticos: recopilación exámenes PEI 2

PEI-2-2022.pdf
PEI-2-2021.pdf

apuntes

-

Test PEI 2 por temas

He publicado nuevos apuntes de 3º Motores Alternativos Aeronáuticos: Test PEI 2 por temas

TEMA-5.pdf
Tema-6-Detonacion.pdf
Tema-7.pdf
Tema-8.pdf
Tema-9.pdf
Tema-10.pdf

apuntes

-

APUNTES MAA

Resumen de todo el libro de Motores Alternativos. Estupendo para saber por donde te da el aire.

ApuntesMAAP1.pdf
ApuntesMAAP2.pdf

He publicado nuevos apuntes de 3º Motores Alternativos Aeronáuticos: Resultados-numericos-problema-de-actuaciones-MAA-VA.pdf

1 página

He publicado nuevos apuntes de 3º Motores Alternativos Aeronáuticos: Resumen-PEI-1.pdf

7 páginas

examenes

-

Exámenes resueltos

He publicado nuevos examenes de 3º Motores Alternativos Aeronáuticos: Exámenes resueltos

23-24 PEI.pdf

examenes

-

EXÁMENES PA

He publicado nuevos examenes de 3º Motores Alternativos Aeronáuticos: EXÁMENES PA

PEI-1-2019-enunciado.pdf
PEI-1-2019-resuelto.pdf
PEI-2024.pdf
PEI-2019.pdf
PEI-2022.pdf
PEI-2022-Solucion.pdf

PA

7 páginas

PA

5 páginas

apuntes

-

Apuntes de clase (VA)

He publicado nuevos apuntes de 3º Motores Alternativos Aeronáuticos: Apuntes de clase (VA)

PEI-1.pdf

apuntes

-

Preguntas test examen

He publicado nuevos apuntes de 3º Motores Alternativos Aeronáuticos: Preguntas test examen

parcial-2022-2021.pdf
parcial-2020-2021.pdf
parcial-2019-2020.pdf
parcial-2018-2019.pdf
parcial-2016-2017.pdf
ordinario-1a-parte-2014-2015.pdf

apuntes

-

Motores Alternativos

He publicado nuevos apuntes de 3º Motores Alternativos Aeronáuticos: Motores Alternativos

Apuntes Motores Alternativos.pdf

He publicado nuevos apuntes de 3º Motores Alternativos Aeronáuticos: Examenes-Test-2o-Parcial-por-Temas.pdf

13 páginas

apuntes

-

Resumen por temas Parcial2 (VA)

He publicado nuevos apuntes de 3º Motores Alternativos Aeronáuticos: Resumen por temas Parcial2 (VA)

Resumen-Tema-5.pdf
Resumen-Tema-4.pdf
Resumen-Tema-7.pdf
Resumen-Tema-6.pdf

apuntes

-

Resumen por temas Parcial 1(VA)

He publicado nuevos apuntes de 3º Motores Alternativos Aeronáuticos: Resumen por temas Parcial 1(VA)

Resumen-Tema-3.pdf
Resumen-Tema-2.pdf
Resumen-Tema-1.pdf

He publicado nuevos apuntes de 3º Motores Alternativos Aeronáuticos: Motores-Alternativos.pdf

140 páginas

He publicado nuevos trabajos de 3º Motores Alternativos Aeronáuticos: Diseno-de-un-motor-de-ciclo-otto-Trabajo-Asignatura.pdf

32 páginas

trabajos

-

Trabajos Motores Alternativos

He publicado nuevos trabajos de 3º Motores Alternativos Aeronáuticos: Trabajos Motores Alternativos

Trabajo-Cinematica-y-Dinamica.pdf
Trabajo-ciclo.pdf

examenes

-

Exámenes otros años

He publicado nuevos examenes de 3º Motores Alternativos Aeronáuticos: Exámenes otros años

1o-parcial-2019.pdf
1o-parcial-2021.pdf
2015-Problema.pdf
2017-Problema.pdf
2018-Problema.pdf
2018-Teoria.pdf

examenes

-

Exámenes 2022

He publicado nuevos examenes de 3º Motores Alternativos Aeronáuticos: Exámenes 2022

1o-parcial-corregido.pdf
1o-parcial.pdf

He publicado nuevos apuntes de 3º Motores Alternativos Aeronáuticos: Modelo-de-combustion.pdf

2 páginas

He publicado nuevos apuntes de 3º Motores Alternativos Aeronáuticos: Modelo-0-dimensional-con-cinetica-quimica.pdf

1 página

apuntes

-

Apuntes curso completo

He publicado nuevos apuntes de 3º Motores Alternativos Aeronáuticos: Apuntes curso completo

1-y-2-Introduccion-y-arquitectura-del-motor.pdf
3-Termodinamica-ciclos-ideales.pdf
4-Termodinamica-ciclos-reales.pdf
5-Combustion.pdf
6-Transferencia-de-calor.pdf
7-Fluidodinamica.pdf

He publicado nuevos apuntes de 3º Motores Alternativos Aeronáuticos: Resolucion-problema-3.pdf

2 páginas

Apuntes sacados del libro oficial de la asignatura, el cual recomiendo 100% si te molan lo más mínimo los motores y por tanto la asignatura. Luego con unos tests para afianzar vas que chutas para quitarte esta chorrada de asignatura ;)

13 páginas

apuntes

-

TODO lo necesario para ARRASAR™ en MOTORES ALTERNATIVOS

Apuntes de clase + diapositivas obtenidas junto a problemas de exámenes RESUELTOS A MANO y explicados paso a paso.

1.-Introduccion-al-Motor.pdf
2.-Arquitectura-del-Motor.pdf
3.-Ciclos-Ideales.pdf
4.-Ciclos-Reales.pdf
5.-Combustion.pdf
6.-Fluidodinamica.pdf

He publicado nuevos apuntes de 3º Motores Alternativos Aeronáuticos: RESUMEN-PEI1.pdf

8 páginas

He publicado nuevos apuntes de 3º Motores Alternativos Aeronáuticos: RESUMEN-PEI2.pdf

4 páginas

test

-

PROBLEMAS Y TEST 2º PARCIAL DE LOCOSS

He publicado nuevos test de 3º Motores Alternativos Aeronáuticos: PROBLEMAS Y TEST 2º PARCIAL DE LOCOSS

TEST-2.pdf

He publicado nuevos apuntes de 3º Motores Alternativos Aeronáuticos: Teoria-curso-completo-y-preguntas-de-examen.pdf

120 páginas