Todo
Apuntes
Ejercicios
Exámenes
chevron_left
chevron_right

examenes

-

EXÁMENES PARTE 1

He publicado nuevos examenes de 3º Motores Cohete: EXÁMENES PARTE 1

PEI-1-2425.pdf
PEI-1-2324.pdf
ORDI-1-2223.pdf
ORDI-1-2324.pdf
PEI-1-2223.pdf
EXTRA-1-2324.pdf

He publicado nuevos examenes de 3º Motores Cohete: Problema propuesto en clase (Extra 24-25) paso a paso.pdf

2 páginas

examenes

-

EXÁMENES MOTORES COHETE RESUELTOS A MANO

He publicado nuevos examenes de 3º Motores Cohete: EXÁMENES MOTORES COHETE RESUELTOS A MANO

PEI-1-2024-2025.pdf
EO-2022-2023.pdf
EE-2024-2025.pdf

apuntes

-

APUNTES Y EJERCICIOS MOTORES COHETE

He publicado nuevos apuntes de 3º Motores Cohete: APUNTES Y EJERCICIOS MOTORES COHETE

EJERCICIOS-MOODLE-P1.pdf
TEMA-1.-PROPULSION-MEDIANTE-MOTORES-COHETE.pdf
TEMA-2.-EMPUJE-Y-ESTUDIO-PROPULSIVO.pdf
TEMA-3.-MISIONES.pdf
TEMA-4.-MODELO-IDEAL-DE-MOTOR-COHETE.pdf
TEMA-5.-ACTUACIONES-Y-OPTIMIZACION-DE-TOBERAS.pdf

Examen extraordinario 2025 resuelto a mano

Miniatura no disponible
5 páginas

apuntes

-

Resúmenes y Ejercicios por temas (PA y CTA)

He publicado nuevos apuntes de 3º Motores Cohete: Resúmenes y Ejercicios por temas (PA y CTA)

Resumen-Tema-1.pdf
Resumen-Tema-2.pdf
Ejemplos-y-problemas-Tema-2.pdf

apuntes

-

Problemas clase resueltos PASO A PASO

He publicado nuevos apuntes de 3º Motores Cohete: Problemas clase resueltos PASO A PASO

T02 Empuje y estudio propulsivo.pdf
T03 Misiones.pdf

apuntes

-

Teoría del Libro de Motores Cohete

He publicado nuevos apuntes de 3º Motores Cohete: Teoría del Libro de Motores Cohete

Capitulo-1Propulsion-mediante-motores-cohete.pdf
Capitulo-2Empuje-y-Estudio-Propulsivo.pdf
Capitulo-3Misiones-y-Analisis-de-utilizacion.pdf
Capitulo-4Modelo-Ideal-de-Motor-Cohete.pdf

apuntes

-

TODO lo necesario para ARRASAR™ en MOTORES COHETE

He publicado nuevos apuntes de 3º Motores Cohete: TODO lo necesario para ARRASAR™ en MOTORES COHETE

1.-Teoria-de-Principios-Basicos.pdf
2.1.-Teoria-de-Empuje-y-Propulsion.pdf
2.2.-Problemas-de-Empuje-y-Propulsion.pdf
3.1.-Teoria-de-Misiones-y-Utilizacion.pdf
3.2.-Problemas-de-Misiones-y-Utilizacion.pdf
4.1.-Teoria-de-Modelo-Ideal.pdf

apuntes

-

TEORÍA PARTE 2

He publicado nuevos apuntes de 3º Motores Cohete: TEORÍA PARTE 2

teoriaP2.pdf

apuntes

-

EXÁMENES CON SOLUCIONES

He publicado nuevos apuntes de 3º Motores Cohete: EXÁMENES CON SOLUCIONES

2025-01-10-CTAPA-P2-teoria-enunciados-soluciones.pdf
2025-01-10-CTA-PA-P1-teoria-soluciones.pdf
Enunciados2024-11-04MChPACTAP1.pdf
Parcial-1-problemas-Enunciados-Soluciones-2025-01-10.pdf
Soluciones-enunciados-MChCTAPA2025-07-03P1.pdf
Soluciones-enunciados-MChCTAPA2025-07-03P2.pdf

apuntes

-

RESÚMENES por temas

He publicado nuevos apuntes de 3º Motores Cohete: RESÚMENES por temas

ResumenesMChPEI1GIA.pdf
ResumenesMChPEI2GIA.pdf

examenes

-

EXAMENES CON SOLUCIÓN COHETE VA 2025

He publicado nuevos examenes de 3º Motores Cohete: EXAMENES CON SOLUCIÓN COHETE VA 2025

SEGUNDO-PARCIAL-VA-2025.pdf
PRIMER-PARCIAL-VA-2025.pdf
Ordinario-2025-Parcial-1-VA.pdf
Ordinario-2025-Parcial-2-VA.pdf
EXTRAORDINARIO-2025-PARTE-1.pdf
EXTRAORDINARIO-2025-PARTE-2.pdf

He publicado nuevos apuntes de 3º Motores Cohete: FormularioPEI1MChPAGIA.pdf

4 páginas

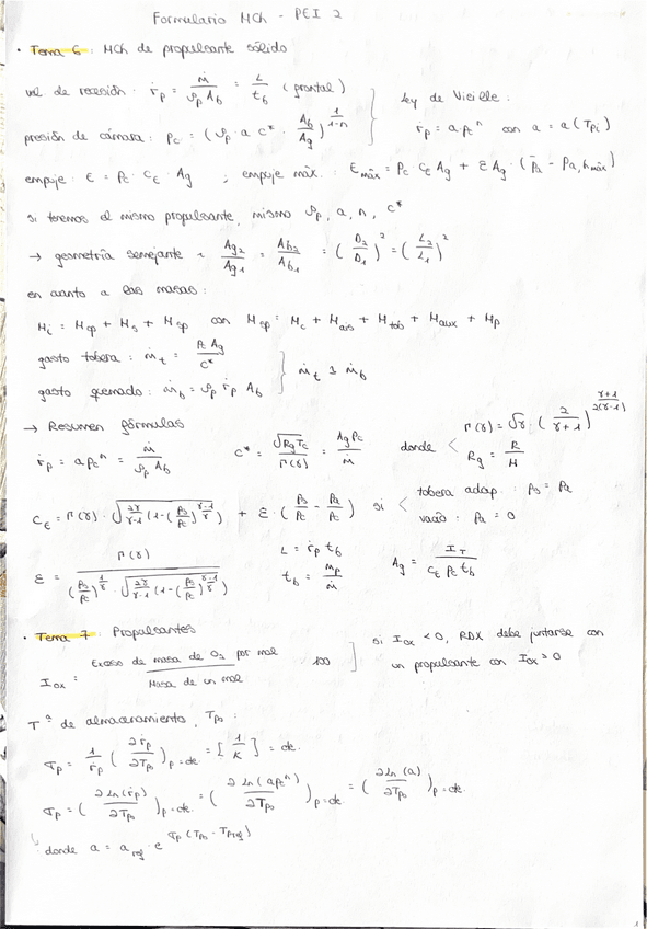
He publicado nuevos apuntes de 3º Motores Cohete: FormularioPEI2MChPAGIA.pdf

4 páginas

He publicado nuevos apuntes de 3º Motores Cohete: Resumen-PEI-2.pdf

7 páginas

He publicado nuevos apuntes de 3º Motores Cohete: Resumen-PEI-1.pdf

5 páginas

examenes

-

VA Exámenes 2022-2023 Con Solución

He publicado nuevos examenes de 3º Motores Cohete: VA Exámenes 2022-2023 Con Solución

PEI-2-23.pdf
PEI-1-23.pdf
Ordinario-PEI-1-2023-VA.pdf
Ordinario-Parte-2-2023-VA.pdf
Extraordinario-PEI1-VA-2023.pdf
Extraordinario-PEI-2-VA-2023.pdf

examenes

-

VA Exámenes 2023-2024 Con Solución

He publicado nuevos examenes de 3º Motores Cohete: VA Exámenes 2023-2024 Con Solución

PEI-2-24.pdf
PEI-1-24.pdf
Ordinario-PEI-2.pdf
Ordinario-PEI-1.pdf
Extraordinario-Parte-2-24.pdf
Extraordinario-PEI1-VA-2024-.pdf

examenes

-

VA Exámenes 2024-2025 Con Solución

He publicado nuevos examenes de 3º Motores Cohete: VA Exámenes 2024-2025 Con Solución

PEI-1-VA-25.pdf
PEI-2-VA-2025.pdf

ejercicios

-

Problemas de moodle

He publicado nuevos ejercicios de 3º Motores Cohete: Problemas de moodle

Tema-2.pdf
Tema-3.pdf
Tema-4.pdf
Tema-5.pdf
TEMA-6.pdf
TEMA-8.pdf

apuntes

-

preguntas test examen

He publicado nuevos apuntes de 3º Motores Cohete: preguntas test examen

parcial-1-2022-2023.pdf
ordinario-parte-1-2022-2023.pdf
todos-los-examenes-23-24.pdf
todos-los-examenes-22-23.pdf
pei-2-2021-2022.pdf

He publicado nuevos examenes de 3º Motores Cohete: examenes-PEI-2-2024.pdf

6 páginas

apuntes

-

Apuntes de clase

He publicado nuevos apuntes de 3º Motores Cohete: Apuntes de clase

PEI-1.pdf
PEI-2.pdf

He publicado nuevos ejercicios de 3º Motores Cohete: ejercicios-TEMA-12.pdf

1 página

He publicado nuevos ejercicios de 3º Motores Cohete: ejercicios-TEMA-11.pdf

2 páginas

He publicado nuevos ejercicios de 3º Motores Cohete: ejercicios-TEMA-10.pdf

1 página

ejercicios

-

Ejercicios P2 Moodle

VA

Tema-6-Ejercicios.pdf
Tema-8-y-10-Ejercicios.pdf
Tema-11-Ejercicios.pdf

He publicado nuevos ejercicios de 3º Motores Cohete: ejercicios-TEMA-8.pdf

1 página

He publicado nuevos apuntes de 3º Motores Cohete: Formulario-Completo-Cohete.pdf

6 páginas

VA

1 página

apuntes

-

Ejercicios moodle - PEI 2

He publicado nuevos apuntes de 3º Motores Cohete: Ejercicios moodle - PEI 2

Tema-6.pdf
Tema-8.pdf
Tema-10.pdf
Tema-11.pdf
Tema-12.pdf

He publicado nuevos apuntes de 3º Motores Cohete: Formulario-PEI-2.pdf

5 páginas

ejercicios

-

problemas de clase para practicar

He publicado nuevos ejercicios de 3º Motores Cohete: problemas de clase para practicar

Problemas-de-camaras-enunciados-y-soluciones.pdf
Problemas-Cap11.pdf
Problemas-Cap5.pdf
Problemas-Cap6.pdf
Problemas-Cap4.pdf
Problemas-Cap3.pdf

He publicado nuevos ejercicios de 3º Motores Cohete: Problemas-Parte-1-Moodle.pdf

14 páginas

ejercicios

-

Ejercicios P1 Moodle

He publicado nuevos ejercicios de 3º Motores Cohete: Ejercicios P1 Moodle

Tema-2-Ejercicios.pdf
Tema-3-Ejercicios.pdf
Tema-4-Ejercicios.pdf
Tema-5-Ejercicios.pdf

He publicado nuevos ejercicios de 3º Motores Cohete: ejercicios-moodle-resueltos.pdf

6 páginas

He publicado nuevos examenes de 3º Motores Cohete: Ordinario-2018-Teoria-Resuelto.pdf

2 páginas

He publicado nuevos examenes de 3º Motores Cohete: Examenes-22-23.pdf

135 páginas

apuntes

-

Exámenes resueltos

He publicado nuevos apuntes de 3º Motores Cohete: Exámenes resueltos

Parcial-1-2023-2024.pdf
Enunciado-parcial-1-2023-2024.pdf
Ordinario-parte-1-2022-2023.pdf
Parcial-1-2022-2023.pdf
Extra-parte-1-2022-2023.pdf
enunciado-parcial-1-2022-2023.pdf

apuntes

-

Problemas moodle

He publicado nuevos apuntes de 3º Motores Cohete: Problemas moodle

Tema-2.pdf
Tema-3.pdf
Tema-4.pdf
Problemas-de-camaras.pdf
Tema-5.pdf

He publicado nuevos apuntes de 3º Motores Cohete: FORMULARIO-Motores-Cohete-PEI.pdf

3 páginas

He publicado nuevos apuntes de 3º Motores Cohete: Teoria-P1.pdf

8 páginas

He publicado nuevos apuntes de 3º Motores Cohete: Teoria-P2.pdf

10 páginas

He publicado nuevos apuntes de 3º Motores Cohete: Formulario-P1.pdf

4 páginas

apuntes

-

Motores Cohete

He publicado nuevos apuntes de 3º Motores Cohete: Motores Cohete

Formulario Parcial 2 Motores Cohete.pdf
Formulario Parcial 1 Motores Cohete.pdf
Miniatura no disponible
Apuntes Parcial 1 Motores Cohete.pdf
Miniatura no disponible
Apuntes Parcial 2 Motores Cohete.pdf

Para los 2 parciales

4 páginas

examenes

-

Parcial 2 2024

He publicado nuevos examenes de 3º Motores Cohete: Parcial 2 2024

Enunciados-problemasMChPACTA2024-12-16P2.pdf
Soluciones-problemasMChPACTA2024-12-16P2.pdf
2024-12-16-CTAPA-P1-teoria-enunciados-soluciones.pdf
Resolución detallada paso a paso.pdf

examenes

-

Exámenes 24-25 CTA-PA

He publicado nuevos examenes de 3º Motores Cohete: Exámenes 24-25 CTA-PA

pei-1-teoría-y-probelmas-con-soluciones.pdf
pei-2-teoría-y-problemas-con-soluciones.pdf

examenes

-

RECOPILACIÓN EXÁMENES PARTE2 RESUELTOS (a iPad)

He publicado nuevos examenes de 3º Motores Cohete: RECOPILACIÓN EXÁMENES PARTE2 RESUELTOS (a iPad)

EO-Parte-2-2023-VA.pdf
PEI2-2023-VA.pdf
EE-Parte-2-2023.pdf
Parcial-2-2018.pdf
Parcial-2-2022.pdf

He publicado nuevos apuntes de 3º Motores Cohete: FormularioPEI1MChGIAETSIAE.pdf

4 páginas

apuntes

-

Apuntes curso completo (iPad)

He publicado nuevos apuntes de 3º Motores Cohete: Apuntes curso completo (iPad)

2.-Empuje.pdf
3.-Misiones.pdf
4.-MIC.pdf
5.-Actuaciones-y-trazado-de-toberas.pdf

Motores Cohete - Propulsión Aeroespacial PA

14 páginas

examenes

-

RECOPILACIÓN EXÁMENES PARTE 1 RESUELTOS (a iPad)

He publicado nuevos examenes de 3º Motores Cohete: RECOPILACIÓN EXÁMENES PARTE 1 RESUELTOS (a iPad)

2023-Extra-1.pdf
2022-Parcial-1.pdf
2021-Parcial-1.pdf
2023-Ordinario-1.pdf
2023-Parcial-1.pdf

examenes

-

TODOS EXÁMENES RESUELTOS 2024 (VA)

He publicado nuevos examenes de 3º Motores Cohete: TODOS EXÁMENES RESUELTOS 2024 (VA)

Parcial-2-2024.pdf
Ordinario-2024-Parcial-1.pdf
Extraordinario-2024-Parcial-1.pdf
Extraordinario-2024-Parcial-2.pdf
Parcial-1-2024.pdf
Ordinario-2024-Parcial-2.pdf