chevron_left
chevron_right
Todo
Apuntes
Ejercicios
Exámenes
Prácticas
chevron_left
chevron_right

He publicado nuevos examenes de 3º Motores de Aeronaves: problemaexamen.pdf

4 páginas

Ejercicios resueltos y corregidos en clase por profesora

9 páginas

ejercicios

-

Problemas Bloque 1

He publicado nuevos ejercicios de 3º Motores de Aeronaves: Problemas Bloque 1

Pb-Tema-3-Mot.pdf
Pb-Tema-4-Mot.pdf
Pb-Tema-6-Mot.pdf

He publicado nuevos ejercicios de 3º Motores de Aeronaves: Ejercicio-2-CC.pdf

1 página

He publicado nuevos apuntes de 3º Motores de Aeronaves: ResumenTeoriaMCIA.pdf

18 páginas

He publicado nuevos apuntes de 3º Motores de Aeronaves: Resumen-Teoria-Camaras-de-Combustion.pdf

6 páginas

He publicado nuevos apuntes de 3º Motores de Aeronaves: Resumen-Teoria-Turbomaquinas.pdf

14 páginas

Resumen completo de toda la teoría de MCIA en detalle

7 páginas

Esquema/resumen con todos los tipos de turbomáquinas.

1 página

He publicado nuevos examenes de 3º Motores de Aeronaves: Posibles-preguntas-teoria-Examen-Motores-de-Aeronaves.pdf

4 páginas

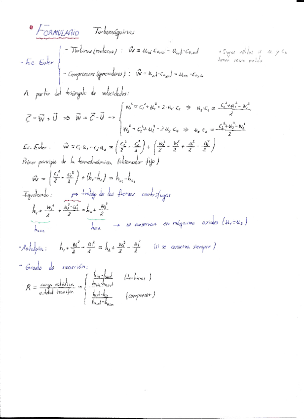
He publicado nuevos apuntes de 3º Motores de Aeronaves: Formulario-MOT.pdf

4 páginas

He publicado nuevos ejercicios de 3º Motores de Aeronaves: Ejercicios-Bloque-1.pdf

11 páginas

He publicado nuevos ejercicios de 3º Motores de Aeronaves: Ejercicios-Bloque-2.pdf

24 páginas

He publicado nuevos ejercicios de 3º Motores de Aeronaves: Muchos-problemas-CB-y-MCIA.pdf

57 páginas

He publicado nuevos apuntes de 3º Motores de Aeronaves: Ejercicios-Compresores-y-Turbinas.pdf

44 páginas

He publicado nuevos ejercicios de 3º Motores de Aeronaves: Ejercicio-2-turbinas-axiales-resuelto-con-aclaraciones.pdf

10 páginas

He publicado nuevos ejercicios de 3º Motores de Aeronaves: Ejercicio-1-turbinas-axiales-resuelto-con-aclaraciones.pdf

12 páginas

Resuelto y mejor explicado que la solución a ordenador del campus

5 páginas

Ejercicio resuelto con comentarios y aclaraciones del profesor para que se entienda cada paso

6 páginas

Está resuelto con los comentarios y aclaraciones del profesor incluidos

9 páginas

He publicado nuevos apuntes de 3º Motores de Aeronaves: ExamenJunio2021Resuelto.pdf

3 páginas

He publicado nuevos examenes de 3º Motores de Aeronaves: ENUNCIADO-EXAMEN-JUNIO-2021.pdf

1 página

He publicado nuevos apuntes de 3º Motores de Aeronaves: Formulario-ParcialII.pdf

3 páginas

He publicado nuevos ejercicios de 3º Motores de Aeronaves: SolucionProblemasCamarasCombustion.pdf

7 páginas

He publicado nuevos ejercicios de 3º Motores de Aeronaves: Bateriadeejerciciosproblemasexamen.pdf

35 páginas

examenes

-

Intento no sacar un 10 ¡¡SALE MAL!!

He publicado nuevos examenes de 3º Motores de Aeronaves: Intento no sacar un 10 ¡¡SALE MAL!!

ExamenResueltoSept2020.pdf
ExamenResueltoJun2020.pdf

He publicado nuevos apuntes de 3º Motores de Aeronaves: Problemas-MOT-A.pdf

45 páginas

He publicado nuevos ejercicios de 3º Motores de Aeronaves: Problemas-1-parcial-SPA.pdf

13 páginas

He publicado nuevos ejercicios de 3º Motores de Aeronaves: PROBLEMAS-MCIA.pdf

4 páginas

He publicado nuevos ejercicios de 3º Motores de Aeronaves: PROBLEMAS-CAMARA-COMBUSTION.pdf

13 páginas

He publicado nuevos apuntes de 3º Motores de Aeronaves: FormularioTurbomaquinas.pdf

6 páginas

He publicado nuevos apuntes de 3º Motores de Aeronaves: Resumen-temas-1-4.pdf

8 páginas

apuntes

-

Teoría COMPLETA

He publicado nuevos apuntes de 3º Motores de Aeronaves: Teoría COMPLETA

SPAT1-Analisis-del-ciclo-de-turbinas-de-gas.pdf
SPAT2-Caracteristicas-compresores-y-turbinas.pdf
RESUMEN-Temario-Completo.pdf
SPAT3-Camaras-de-combustion.pdf

ejercicios

-

Problemas Bloque 1 y 2 y TEST

He publicado nuevos ejercicios de 3º Motores de Aeronaves: Problemas Bloque 1 y 2 y TEST

EJERCICIOS-Bloque-2.pdf
EJERCICIOS-Bloque-1.pdf
FORMULARIO-B1-y-B2.pdf
Examen-TEST.pdf

He publicado nuevos apuntes de 3º Motores de Aeronaves: Preguntas-motores-.pdf

8 páginas

He publicado nuevos apuntes de 3º Motores de Aeronaves: Apuntes-Motores.pdf

56 páginas

He publicado nuevos apuntes de 3º Motores de Aeronaves: TEST-RECOPILADOS-TEORIA-1-Y-FINAL.pdf

18 páginas

He publicado nuevos apuntes de 3º Motores de Aeronaves: B1T2.pdf

10 páginas

He publicado nuevos apuntes de 3º Motores de Aeronaves: B1T1.pdf

6 páginas

He publicado nuevos apuntes de 3º Motores de Aeronaves: Prácticas de Sistemas de Propulsión Aeroespacial.pdf

7 páginas

He publicado nuevos ejercicios de 3º Motores de Aeronaves: Test motores-SPA resueltos.pdf

12 páginas

He publicado nuevos practicas de 3º Motores de Aeronaves: Practica motores ees.rar

Miniatura no disponible
rar

He publicado nuevos practicas de 3º Motores de Aeronaves: Practica motores ees.pdf

26 páginas

examenes

-

EXAMENES RESUELTOS Y RESUMEN

He publicado nuevos examenes de 3º Motores de Aeronaves: EXAMENES RESUELTOS Y RESUMEN

Problemas_abril(2)(solución).pdf
Teoria_junio(solución).pdf
MOTORES_20190410093430.pdf
Teoria_abril(2)_solución.pdf
Problemas-Resueltos-de-Motores-Termicos-y-Turbomaquinas-Termicas.pdf
Teoria_abril(1)_solución.pdf

apuntes

-

LIBROS

He publicado nuevos apuntes de 3º Motores de Aeronaves: LIBROS

Problemas-Resueltos-de-Motores-Termicos-y-Turbomaquinas-Termicas.pdf
339666461-Maquinas-termicas-Marta-Munoz-Dominguez-pdf (2).pdf

He publicado nuevos ejercicios de 3º Motores de Aeronaves: alterno.pdf

13 páginas

He publicado nuevos ejercicios de 3º Motores de Aeronaves: combustión .pdf

19 páginas

He publicado nuevos ejercicios de 3º Motores de Aeronaves: compresores.pdf

7 páginas

He publicado nuevos ejercicios de 3º Motores de Aeronaves: spa.pdf

26 páginas

He publicado nuevos apuntes de 3º Motores de Aeronaves: Apuntes Motores de Aeronaves.pdf

71 páginas
Anónimo

@Anónimo

He publicado nuevos apuntes de 3º Motores de Aeronaves: Turbomáquinas Térmicas (MOTORES)_ Jose Luis Gutierrez de Rozas Salteráin.pdf

231 páginas
¡Estás al día!

¡Estás al día!

Has visto todos los archivos