Motores
Todo
Apuntes
chevron_left
chevron_right
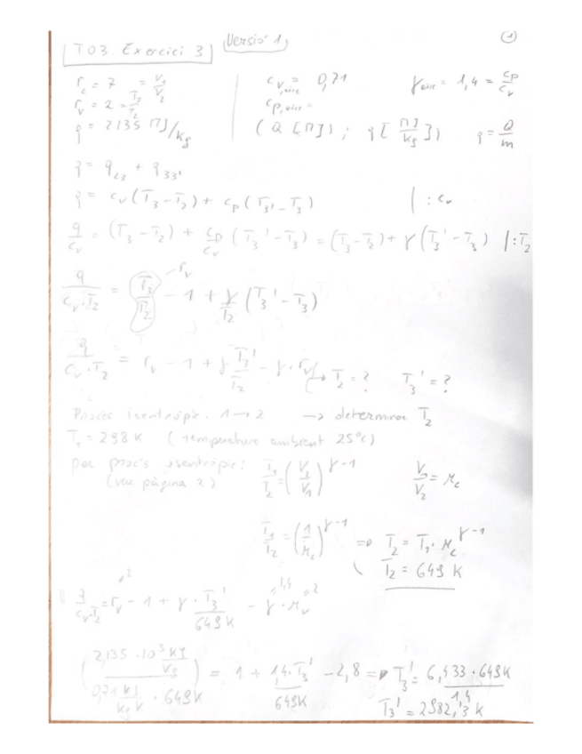
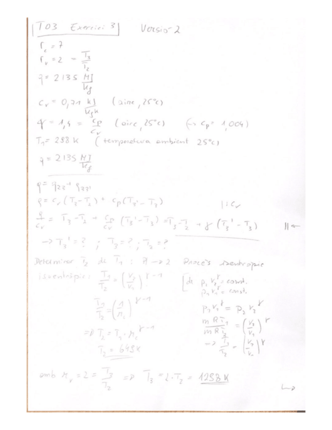
He publicado nuevos apuntes de 2º Motores: Tema-3-Exercisi-3-Solucionari.pdf
¡Estás al día!
Has visto todos los archivos
He publicado nuevos apuntes de 2º Motores: Tema-3-Exercisi-3-Solucionari.pdf
He publicado nuevos apuntes de 2º Motores: Tema-2-Exercisi-1.pdf
¡Estás al día!
Has visto todos los archivos