Nefrologia y Urología

chevron_left
chevron_right
Todo
Apuntes
Preguntas
Ejercicios
Exámenes
Otros
Prácticas
publication
Test
chevron_left
chevron_right

Infografía completa del carcinoma renal de células claras

1 página

Definición, causas, complicaciones

7 páginas

He publicado nuevos apuntes de 4º Nefrologia y Urología: NEFRO-RESUMEN-T19.pdf

4 páginas

He publicado nuevos apuntes de 5º Nefrologia y Urología: TABLA-GLOMERULOPATIAS.pdf

3 páginas

apuntes

-

Urología 2026

Los apuntes están hechos con las presentaciones de clase a los que añado los comentarios de la profe y algunas explicaciones extra para poder entender mejor algunos procesos.

TEMA-1-Anatomia.pdf
TEMA-2-Semiologia.pdf
TEMA-3-Malformaciones-congenitas-del-aparato-urinario-superior.pdf
TEMA-4-Malformaciones-congenitas-del-aparato-urinario-inferior.pdf
TEMA-5-Traumatismos-genitourinarios-I-rinon-y-ureter.pdf
TEMA-6-Traumatismos-genitourinarios-II-vejiga-uretra-pene-y-escroto.pdf
Anónimo

@Anónimo

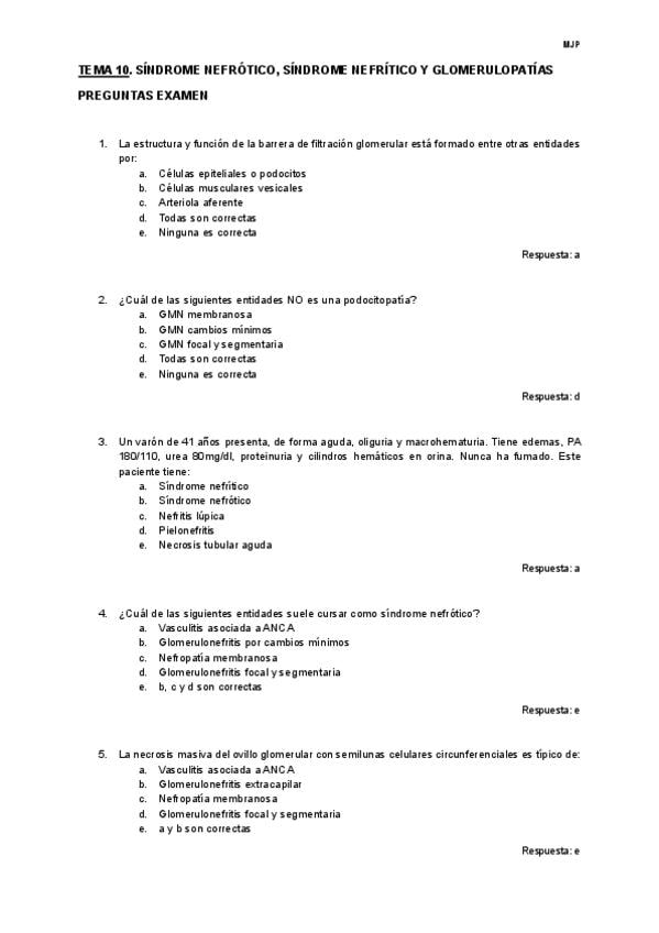
He publicado nuevos apuntes de 4º Nefrologia y Urología: NEFRO-TEMA-10-PREGUNTAS-EXAMEN.pdf

2 páginas

examenes

-

POOL POR TEMAS NEFRO

He publicado nuevos examenes de 4º Nefrologia y Urología: POOL POR TEMAS NEFRO

PREGUNTAS NEFRO TEMA 1-6.pdf.pdf
PREGUNTAS-NEFRO-TEMA-7-12.pdf
PREGUNTAS-NEFRO-POR-TEMAS.pdf
PREGUNTAS-NEFRO-TEMA-7-12-SIN-RESPUESTA.pdf
PREGUNTAS-NEFRO-TEMA-1-6-SIN-RESPUESTA.pdf

He publicado nuevos apuntes de 4º Nefrologia y Urología: ERC-Y-FARMACOS.pdf

1 página

Urología

He publicado nuevos apuntes de 4º Nefrologia y Urología: UROLOGIA-ULTIMO-REPASO-ANTES-DE-EXAMEN.pdf

14 páginas

He publicado nuevos apuntes de 4º Nefrologia y Urología: apuntes-nefro-25-26.pdf

59 páginas
Anónimo

@Anónimo

test

-

Preguntas clase por temas (sin respuesta)

He publicado nuevos test de 4º Nefrologia y Urología: Preguntas clase por temas (sin respuesta)

Preguntas-tema-1.pdf
Preguntas-tema-2.pdf
Preguntas-tema-3.pdf
Preguntas-tema-4.pdf
Preguntas-tema-5.pdf
Preguntas-tema-7.pdf

2º parcial, info de comifu+powers

17 páginas

Temas 1-6, info de powers+comifu

18 páginas

He publicado nuevos apuntes de 4º Nefrologia y Urología: SEMINARIO-9.-Hematuria-y-tumor-vesical.pdf

6 páginas

apuntes

-

Resumen/ cosas importantes algunos temas

He publicado nuevos apuntes de 4º Nefrologia y Urología: Resumen/ cosas importantes algunos temas

Resumen-GN-tema-4.-Sdrome-nefritico.pdf
Resumen-GN-tema-5.-Sdr-nefrotico.pdf
Tema-8.-Resumen-NTI-aguda-y-cronica.pdf
Tema-12.-Tubulopatias-resumen.pdf

apuntes

-

Nefro APA 2024-2025

He publicado nuevos apuntes de 3º Nefrologia y Urología: Nefro APA 2024-2025

NEFROLOGIA-APA-PETIT.pdf

apuntes

-

URINARIO

He publicado nuevos apuntes de 3º Nefrologia y Urología: URINARIO

CANCER-DE-PROSTATA.pdf
CARCINOMA-UROTELIAL.pdf
PATOLOGIA-INFECCIOSA-E-INFLAMATORIA.pdf
PATOLOGIA-UROLOGICA-CONGENITA.pdf
TABLA-PATOLOGIA-INFECCIOSA-E-INFLAMATORIA.pdf

examenes

-

Preguntas clase

He publicado nuevos examenes de 4º Nefrologia y Urología: Preguntas clase

Tema-1.-ZPreguntas-clase-nefrologia.pdf
Tema-2.-Zpreguntas-clase.pdf
Tema-4.-Zpreguntas-clase.pdf
Tema-3.-Zpreguntas-clase.pdf
Tema-5.-Zpreguntas-clase.pdf
Tema-6.-Zpreguntas-clase.pdf

Patología peneana y escrotal benigna

10 páginas

He publicado nuevos apuntes de 4º Nefrologia y Urología: Explicacion-video-tema-6.pdf

2 páginas

apuntes

-

APUNTES URO

He publicado nuevos apuntes de 4º Nefrologia y Urología: APUNTES URO

TEMA-13.pdf
TEMA-14.pdf
TEMA-15.pdf
TEMA-16.pdf
TEMA-17.pdf
TEMA-18.pdf

He publicado nuevos apuntes de 3º Nefrologia y Urología: Nefrologia.pdf

124 páginas

apuntes

-

Apuntes NEFRO y URO 2024/2025

He publicado nuevos apuntes de 4º Nefrologia y Urología: Apuntes NEFRO y URO 2024/2025

TEMA-1.1-URO.pdf
Tema-1.2-UROLOGIA.pdf
Tema-2-UROLOGIA.pdf
Tema-3-UROLOGIA.pdf
Tema-4.1-UROLOGIA.pdf
Tema-4.2-UROLOGIA-.docx.pdf

He publicado nuevos apuntes de 3º Nefrologia y Urología: 2.-Insuficiencia-renal-aguda.pdf

9 páginas

He publicado nuevos apuntes de 3º Nefrologia y Urología: 1.-Introduccion.pdf

4 páginas

Apuntes doctora Muñoz carcinoma urotelial, actualizados 2025

word

apuntes

-

Nefrología 24/25

He publicado nuevos apuntes de 5º Nefrologia y Urología: Nefrología 24/25

1.-Hipohiperpotasemia.pdf
2.-Hipohipernatremia.pdf
3.-Equilibrio-acidobase.pdf
4.-Nefropatias.pdf
5.-Insuficiencia-renal-aguda-I.pdf
6.-IRA-II.pdf

He publicado nuevos apuntes de 5º Nefrologia y Urología: TABLAS-NEFROLOGIA.pdf

32 páginas

He publicado nuevos apuntes de 5º Nefrologia y Urología: TABLAS-UROLOGIA.pdf

28 páginas

He publicado nuevos apuntes de 4º Nefrologia y Urología: TODO-URO-EN-50-pags.pdf

49 páginas

apuntes

-

NUEVO 2025

He publicado nuevos apuntes de 3º Nefrologia y Urología: NUEVO 2025

Cancer-de-prostata.pdf
Tumores-renales.pdf
Gammapatia-Monoclonal-final-del-tema.pdf
Nefropatia-diabetica-TRATAMIENTO.pdf
Carcinoma-urotelial.pdf
TUBULOPATIAS.pdf

apuntes

-

Resúmenes URO por temas

He publicado nuevos apuntes de 3º Nefrologia y Urología: Resúmenes URO por temas

Tema-2-LITIASIS.pdf
tema-3-CONGENITA.pdf
tema-4-HBP.pdf
tema-5-INFECCIOSA.pdf
tema-6-INFERTILIDAD.pdf
tema-7.-ERECCION.pdf

apuntes

-

NUEVOS APUNTES NEFRO 24-25

IRA, Lupus, Vasculitis, Tubulopatías y APA

APA-2-AFECTACIO-RENAL-I-PATOLOGIA.pdf
GMN-Rapidamente-Progresivas-2.pdf
IRA-I-II.pdf
NEFROPATIA-LUPICA.pdf
NFU-APA-PATOLOGIA-GLOMERULAR.pdf
TUBULOPATIAS.pdf

apuntes

-

TABLAS RESUMÉNES NEFROLOGÍA 2024-2025

He publicado nuevos apuntes de 5º Nefrologia y Urología: TABLAS RESUMÉNES NEFROLOGÍA 2024-2025

TABLA-VASCULITIS-PEQUENO-VASO.pdf
TABLA-NEFROPATIAS-INTERSTICIALES.pdf
TABLA-NEFROPATIA-TOX-TUBULARES.pdf
TABLA-HIPOHIPER-K-NA.pdf

He publicado nuevos apuntes de 5º Nefrologia y Urología: Resumen-GMN.pdf

5 páginas

apuntes

-

Resúmenes nefrologia

He publicado nuevos apuntes de 5º Nefrologia y Urología: Resúmenes nefrologia

Bloque-1.-K-Na-Acido-base.pdf
Bloque-4.-Hereditaria-MAT-HTA-Y-DM.pdf
Bloque-2.-IRA-ERC.pdf
Bloque-5.-Tubulopatias-Intersticial-Cardio-Hepato-Y-Litiasis.pdf
Bloque-3.-GN-1-y-2.pdf

apuntes

-

Urología 2024-25

He publicado nuevos apuntes de 5º Nefrologia y Urología: Urología 2024-25

2-Semiologia-general.pdf
5.-1-Paciente-politraumatizado.pdf
5.-2-Traumatismos-renales.pdf
5.-3-Traumatismos-ureterales.pdf
6.-2-Lesiones-uretrales.pdf
6.-3-Traumatismos-del-pene.pdf
Anónimo

@Anónimo

examenes

-

Urología

Máxima rentabilidad

TEMA-2.pdf
TEMA-16.pdf
TEMA-12.pdf
TEMA-13.pdf
TEMA-14.pdf
TEMA-15.pdf