Neurología clínica

chevron_left
chevron_right
Todo
Apuntes
Exámenes
publication
Trabajos
chevron_left
chevron_right

apuntes

-

Apuntes Completos 25-26

He publicado nuevos apuntes de 3º Neurología clínica: Apuntes Completos 25-26

Tema-1-ecolalias.pdf
Tema-2.pdf
Tema-3-ecolalia-ambiental.pdf
Tema-3.pdf
Tema-4-CRV.pdf
Tema-4.pdf

apuntes

-

Apuntes completos de neurología

He publicado nuevos apuntes de 3º Neurología clínica: Apuntes completos de neurología

tema-1.-practico.-neurologia.pdf
tema-2.-Neurologia-Clinica.pdf
Tema-3.-neurologia.pdf
Tema-4.-neurologia.pdf
tema-5.-neurologia-clinica.pdf
tema-6.-neurologia.pdf
Anónimo

@Anónimo

apuntes

-

Apuntes Neurología

He publicado nuevos apuntes de 3º Neurología clínica: Apuntes Neurología

Neurologia-clinica.-Tema-1-2-y-3.pdf

Informe sobre Hipertensión arterial secundaria a hipertensión endocraneal en casos de edema cerebral u otros, complementado con apuntes hechos en clase

2 páginas

He publicado nuevos examenes de 3º Neurología clínica: KAHOOT-tipos-de-ecolalias.pdf

4 páginas

He publicado nuevos examenes de 3º Neurología clínica: KAHOOT-CONDUCTAS-REITERATIVAS-VERBALES.pdf

5 páginas

apuntes

-

Apuntes

He publicado nuevos apuntes de 3º Neurología clínica: Apuntes

Tema-1-introduccion.pdf
Tema-2-neuroanatomia-y-dominancia.pdf
Tema-3-evaluacion-del-lenguaje.pdf
Tema-4-y-5-afasias.pdf
Tema-6-exploracion-neurologica.pdf
Tema-7-trast-movimiento.pdf

He publicado nuevos apuntes de 3º Neurología clínica: Esquema-resumen-Neurologia.pdf

32 páginas

apuntes

-

TEMAS

He publicado nuevos apuntes de 3º Neurología clínica: TEMAS

TEMA-1.pdf
ECOLALIAS.pdf
TEMA-6.pdf
TEMA-7.pdf
TEMA-8..pdf
TEMA-9.pdf

apuntes

-

APUNTES

He publicado nuevos apuntes de 3º Neurología clínica: APUNTES

EXPLORACION-NEUROLOGICA.pdf
TRASTORNOS-MOTORES.pdf
Anónimo

@Anónimo

apuntes

-

Apuntes Todo neuro

He publicado nuevos apuntes de 3º Neurología clínica: Apuntes Todo neuro

Tema-1.pdf
Tema-2.pdf
Tema-3.pdf

He publicado nuevos apuntes de 3º Neurología clínica: Neurologia-Clinica.pdf

50 páginas
Anónimo

@Anónimo

apuntes

-

APUNTES TEMARIO

He publicado nuevos apuntes de 3º Neurología clínica: APUNTES TEMARIO

Tema-2.pdf
Tema-1.pdf
Tema-5.pdf
Tema-10.pdf
Tema-3-y-4.pdf

examenes

-

Exámenes neurología clínica

He publicado nuevos examenes de 3º Neurología clínica: Exámenes neurología clínica

Examen-neuro-12-11-20.pdf
EXAMEN-2005-NEUROPSICOLOGIA.pdf
Examen-Mix.pdf
Banco-de-preguntas-ordenado.pdf
2017-neuro-CON-RESPUESTAS.pdf
EXAMEN-NEUROLOGIA-1.pdf
Anónimo

@Anónimo

apuntes

-

Temario NEUROLOGIA CLINICA

He publicado nuevos apuntes de 3º Neurología clínica: Temario NEUROLOGIA CLINICA

Tema-10.pdf
Tema-3-y-4.pdf
Tema-2.pdf
Tema-5.pdf
Tema-1.pdf
Anónimo

@Anónimo

apuntes

-

Neurología Clínica

He publicado nuevos apuntes de 3º Neurología clínica: Neurología Clínica

Tema-2.pdf
Tema-1.pdf

Apuntes Neurología Clínica

¿Alguien tiene apuntes de Neurología Clínica?

He publicado nuevos examenes de 3º Neurología clínica: Banco-de-preguntas-NEUROLOGIA-CLINICA.pdf

12 páginas
Anónimo

@Anónimo

examenes

-

EXÁMENES

He publicado nuevos examenes de 3º Neurología clínica: EXÁMENES

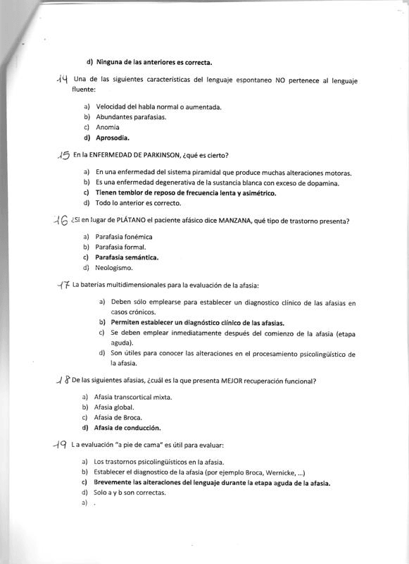
escanear0009.jpg
escanear0007.jpg
escanear0002.jpg
escanear0001.jpg
escanear0003.jpg
escanear0005.jpg
Anónimo

@Anónimo

apuntes

-

TEMARIO

He publicado nuevos apuntes de 3º Neurología clínica: TEMARIO

Miniatura no disponible
MetodosparaelDiagnosticodelaDominanciaCerebral.ppt
Miniatura no disponible
evaluacionlenguaje11.ppt
Miniatura no disponible
asimetriasylateralidad2.ppt
Miniatura no disponible
Logopedia.ppt
Apraxias-y-agnosias-.pdf
Miniatura no disponible
AfasiaconRepeticionAnormal.ppt
¡Estás al día!

¡Estás al día!

Has visto todos los archivos