Números y conjuntos

chevron_left
chevron_right
Todo
Apuntes
Ejercicios
Exámenes
chevron_left
chevron_right

He publicado nuevos examenes de 1º Números y conjuntos: examenes-numeros-y-conjuntos.pdf

9 páginas

He publicado nuevos ejercicios de 1º Números y conjuntos: ejs-hoja-3-numeros-y-conjuntos.pdf

13 páginas

He publicado nuevos ejercicios de 1º Números y conjuntos: ejs-hoja-1-numeros-y-conjuntos.pdf

7 páginas

apuntes

-

Apuntes Números y Conjuntos

He publicado nuevos apuntes de 1º Números y conjuntos: Apuntes Números y Conjuntos

Tema-2-Numeros-complejos.pdf
Tema-1-Induccion-y-numeros-reales.pdf
Tema-3-Conjuntos-y-aplicaciones.pdf
Tema-4-Numeros-naturales-y-enteros.pdf

examenes

-

Exámenes Números y conjuntos

He publicado nuevos examenes de 1º Números y conjuntos: Exámenes Números y conjuntos

Examen-Numeros-y-Conjuntos-Evaluacion-Ordinaria.pdf
Examen-Parcial-I-Numeros-y-conjuntos.pdf
Examen-Parcial-II-Numeros-y-conjuntos.pdf

He publicado nuevos apuntes de 1º Números y conjuntos: Numeros-Y-Conjuntos.pdf

30 páginas

examenes

-

CONV EXTRAORDINARIA NUMEROS Y CONJUNTOS 24-25 RESUELTO Y SIN RESOLVER

He publicado nuevos examenes de 1º Números y conjuntos: CONV EXTRAORDINARIA NUMEROS Y CONJUNTOS 24-25 RESUELTO Y SIN RESOLVER

Examen-2025-06-20.pdf
Examen-2025-06-20-soluciones.pdf

He publicado nuevos examenes de 1º Números y conjuntos: Examen-Final-Conjuntos-2024.pdf

4 páginas

He publicado nuevos examenes de 1º Números y conjuntos: Parcial-2-N-y-Conjuntos-2024.pdf

1 página

He publicado nuevos examenes de 1º Números y conjuntos: Parcial-1-N-y-Conjuntos-2024.pdf

1 página

He publicado nuevos apuntes de 1º Números y conjuntos: biologia1.jpg

Imagen

He publicado nuevos apuntes de 1º Números y conjuntos: biologia.jpg

Imagen

He publicado nuevos ejercicios de 1º Números y conjuntos: Ejercicios-resueltos-de-numeros-complejos.pdf

2 páginas

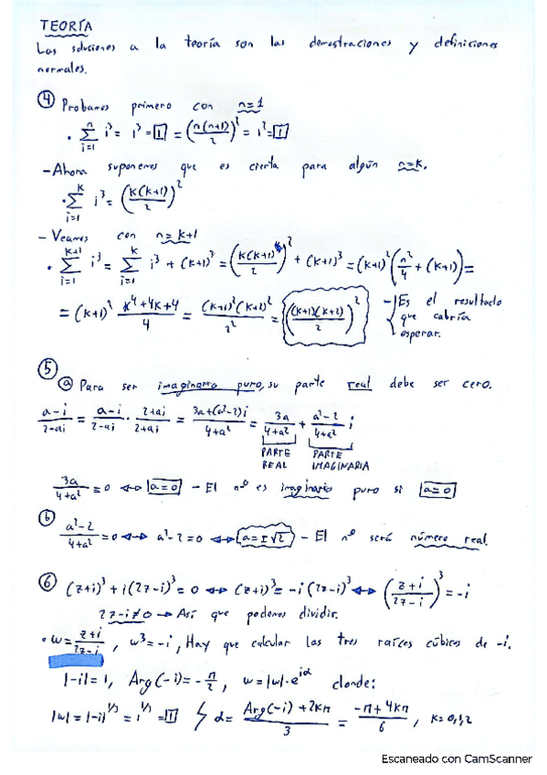
He publicado nuevos apuntes de 1º Números y conjuntos: numeros-y-conjuntos-teoria.pdf

8 páginas
Anónimo

@Anónimo

Números complejos y Polinomios

1 página
Anónimo

@Anónimo

Números naturales y enteros

1 página
Anónimo

@Anónimo

Números naturales y enteros

1 página

He publicado nuevos apuntes de 1º Números y conjuntos: conjuntos-aplicaciones-y-numeros-reales.pdf

4 páginas

He publicado nuevos apuntes de 1º Números y conjuntos: Teoria-tema-3.pdf

5 páginas

He publicado nuevos apuntes de 1º Números y conjuntos: Numeros-enteros-y-congruencias.pdf

3 páginas

He publicado nuevos apuntes de 1º Números y conjuntos: numeros-complejos.pdf

2 páginas

He publicado nuevos apuntes de 1º Números y conjuntos: Polinomios.pdf

1 página

He publicado nuevos apuntes de 1º Números y conjuntos: Tema-1-y-2.pdf

2 páginas

He publicado nuevos apuntes de 1º Números y conjuntos: origenteorianumeros-apuntes-clase-ejercicios.pdf

31 páginas

He publicado nuevos apuntes de 1º Números y conjuntos: numeros-y-conjuntos-clase.pdf

13 páginas

He publicado nuevos apuntes de 1º Números y conjuntos: AritmeticaEuclides-ejersapuntesteoria.pdf

19 páginas

He publicado nuevos ejercicios de 1º Números y conjuntos: Fibonaccibinet-resumenejercicios-y-demostraciones.pdf

16 páginas

He publicado nuevos apuntes de 1º Números y conjuntos: NUMEROSPELL.pdf

7 páginas

He publicado nuevos ejercicios de 1º Números y conjuntos: ternaspitagoricasec.pdf

15 páginas

He publicado nuevos apuntes de 1º Números y conjuntos: Aplicaciones.pdf

9 páginas

He publicado nuevos ejercicios de 1º Números y conjuntos: NUMEROSPOLIGONALES.pdf

6 páginas

He publicado nuevos apuntes de 1º Números y conjuntos: ResumenCONJUNTOS.pdf

4 páginas
Anónimo

@Anónimo

He publicado nuevos apuntes de 1º Números y conjuntos: Numeros-y-Conjuntos.pdf

101 páginas

apuntes

-

Ejercicios para exponer

He publicado nuevos apuntes de 1º Números y conjuntos: Ejercicios para exponer

Ejercicios-2-Para-Exponer.pdf
Ejercicios-3-para-exponer.pdf
Ejercicios-1-para-exponer.pdf

apuntes

-

Ejercicios clasificados por secciones

He publicado nuevos apuntes de 1º Números y conjuntos: Ejercicios clasificados por secciones

Ejercicios-seccion-6.pdf
Ejercicios-seccion-7.pdf
Ejercicios-seccion-4.pdf
Ejercicios-seccion-3.pdf
Ejercicios-seccion-1.pdf
Ejercicios-seccion-2.pdf
¡Estás al día!

¡Estás al día!

Has visto todos los archivos