chevron_left
chevron_right
Todo
Apuntes
Exámenes
chevron_left
chevron_right

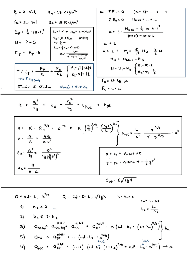
Formulario completo paso a paso para la parte practica del examen de obras hidráulicas.

2 páginas

examenes

-

PA obras hidraulicas

He publicado nuevos examenes de 3º Obras Hidráulicas: PA obras hidraulicas

180419Cuestiones-aliviaderos.pdf
210215PA1OHG2.pdf
220228PA2OHG1.pdf
220228PA2OHG2.pdf
220404PA3OHG1.pdf
220404PA3OHG2.pdf

He publicado nuevos examenes de 3º Obras Hidráulicas: Formulario.pdf

2 páginas
¡Estás al día!

¡Estás al día!

Has visto todos los archivos