Obtención de Materiales

chevron_left
chevron_right
Todo
Apuntes
Ejercicios
Exámenes
Prácticas
chevron_left
chevron_right

ejercicios

-

Seminarios

He publicado nuevos ejercicios de 3º Obtención de Materiales: Seminarios

Seminario-4251218141958.pdf
SEMINARIO-2SEPARACION-SS.pdf
Seminario-1-OBMAT.pdf

cianuración del Au

5 páginas

apuntes

-

primer parcial. Apuntes temas mineralogía y lixiviación

Apuntes de los temas 1, 2, 3.1, 3.2, 3.3 para el examen primer parcial

Apuntes-tema-1.-Mineralurgia.Reduccion-de-tamanos.pdf
Apuntes-tema-2.-Mineralurgia.Separacion.pdf
Apuntes-tema-3.1-Lixiviacion.Fundamentos-de-lixiviacion.pdf
Apuntes-tema-3.2-Lixiviacion.Tecnologias-de-lixiviacion.pdf
Apuntes-tema-3.3-Lixiviacion.-Aplicaciones-cianuracion-del-Au-y-lixiviacion-de-sulfuros.pdf

Preguntas cortas del examen de segunda convocatoria (1 punto cada una)

1 página

He publicado nuevos examenes de 3º Obtención de Materiales: primer-parcial-Preguntas-cortas.pdf

1 página

He publicado nuevos apuntes de 3º Obtención de Materiales: PAUTAS-RESOLUCION-EJERCICIO-DISENO-REACTOR.pdf

2 páginas

He publicado nuevos apuntes de 3º Obtención de Materiales: OBMAT-Apuntes-primer-parcial.pdf

20 páginas

He publicado nuevos apuntes de 3º Obtención de Materiales: PRACTICAS-OBTENCION-DE-MATERIALES.pdf

15 páginas

practicas

-

PRACTICAS

He publicado nuevos practicas de 3º Obtención de Materiales: PRACTICAS

CEMENTACION.pdf
ELECTRODEPOSICION-DE-ZINC-EN-MEDIO-ALCALINO.pdf
PRECIPITACION-SELECTIVA.pdf

apuntes

-

examenes

He publicado nuevos apuntes de 3º Obtención de Materiales: examenes

TEMA-2.pdf
TEMA-3.pdf
TEMA-4.pdf
TEMA-5.pdf
TEMA-6Y7.pdf
TEMA-8-Y9.pdf

He publicado nuevos apuntes de 3º Obtención de Materiales: primerparcial202223.pdf

4 páginas

He publicado nuevos practicas de 3º Obtención de Materiales: Precipitacion-Selectiva.docx.pdf

6 páginas

He publicado nuevos practicas de 3º Obtención de Materiales: Practica-lixiviacion-obmat.docx.pdf

12 páginas

He publicado nuevos practicas de 3º Obtención de Materiales: Practica-electrolisis-obmat.docx.pdf

9 páginas
Anónimo

@Anónimo

He publicado nuevos examenes de 3º Obtención de Materiales: CONVOCATORIA-DICIEMBRE-2022.pdf

3 páginas
Anónimo

@Anónimo

He publicado nuevos examenes de 3º Obtención de Materiales: 1ER-PARCIAL-OBTENCION-22.pdf

2 páginas

practicas

-

Prácticas precipitación y cementación

He publicado nuevos practicas de 3º Obtención de Materiales: Prácticas precipitación y cementación

memoria-practica-precipitacion-selectiva-de-hierro-y-zinc.pdf
MEMORIA-PRACTICA-CEMENTACION.pdf

He publicado nuevos apuntes de 3º Obtención de Materiales: Preguntas-resueltas-Obmat.pdf

6 páginas

He publicado nuevos apuntes de 3º Obtención de Materiales: Resumenes-de-todo-obmat.pdf

50 páginas
Anónimo

@Anónimo

apuntes

-

Apuntes por temas COMPLETOS

He publicado nuevos apuntes de 3º Obtención de Materiales: Apuntes por temas COMPLETOS

Tema-5.pdf
Tema-3.pdf
Tema-3.pdf
Tema-1.pdf
Tema-6.pdf
Tema-3.pdf

examenes

-

recopilacion de examenes por temas

He publicado nuevos examenes de 3º Obtención de Materiales: recopilacion de examenes por temas

tema-11.pdf
tema-8-y-9.pdf
tema3.pdf
tema-10.pdf
tema-2.pdf
tema-4.pdf

He publicado nuevos ejercicios de 3º Obtención de Materiales: Seminario-de-diseno-de-un-reactorCarlos-Rodriguez-Garcia.xlsx

excel

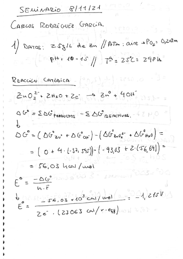
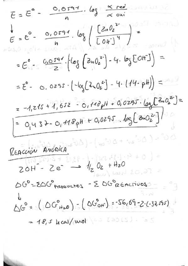
He publicado nuevos ejercicios de 3º Obtención de Materiales: SeminarioCarlos-Rodriguez-Garcia08-11-21.pdf

10 páginas

He publicado nuevos examenes de 3º Obtención de Materiales: RESUMEN-PRIMER-PARCIAL.pdf

12 páginas

He publicado nuevos apuntes de 3º Obtención de Materiales: TIPO-TEST-CORROSION-Documentos-de-Google.pdf

5 páginas

He publicado nuevos apuntes de 3º Obtención de Materiales: RESUMENES-DE-TODO.pdf

13 páginas

He publicado nuevos apuntes de 3º Obtención de Materiales: Temas-8-y-10-Fusion-a-mata-y-conversion.pdf

4 páginas

apuntes

-

Apuntes resumidos

He publicado nuevos apuntes de 3º Obtención de Materiales: Apuntes resumidos

Tema-3.pdf
Tema-1.pdf
Tema-4.pdf
Tema-7.pdf
Tema-8.pdf
Tema-3.pdf

He publicado nuevos examenes de 3º Obtención de Materiales: examen-final-2015-obmat.pdf

3 páginas

He publicado nuevos examenes de 3º Obtención de Materiales: segundo-parcial-OBMAT2.pdf

3 páginas

He publicado nuevos examenes de 3º Obtención de Materiales: segundo-parcial-obmat.pdf

4 páginas

He publicado nuevos examenes de 3º Obtención de Materiales: primer-parcial-obmat.pdf

4 páginas

apuntes

-

Informes Prácticas OBMAT

He publicado nuevos apuntes de 3º Obtención de Materiales: Informes Prácticas OBMAT

Precipitacion-selectiva-de-Fe-y-Zn.pdf
Informe-LIXIVIACION.pdf
Electrolisis-de-Zn-en-medio-alcalino.pdf

apuntes

-

Esquemas Obmat

He publicado nuevos apuntes de 3º Obtención de Materiales: Esquemas Obmat

Diseno-de-Reactor.pdf
Extraccion-con-disolvente.pdf
Lixiviacion.pdf
Tostacion.pdf
Fusion-a-mata.pdf
Precipitacion.pdf

He publicado nuevos practicas de 3º Obtención de Materiales: Informe-de-la-Practica-de-Cementacion.pdf

9 páginas

He publicado nuevos apuntes de 3º Obtención de Materiales: Tutoria-OBMAT-20190203.pdf

1 página

He publicado nuevos apuntes de 3º Obtención de Materiales: Resumen-Obtencion-de-Materiales.pdf

43 páginas

apuntes

-

resumenes temas 4-10

He publicado nuevos apuntes de 3º Obtención de Materiales: resumenes temas 4-10

5.pdf
4.pdf
6.pdf
8.pdf
10.pdf
9.pdf

apuntes

-

tema 1-2 resumen

He publicado nuevos apuntes de 3º Obtención de Materiales: tema 1-2 resumen

tema-1.pdf
2-MINERALURGIA.pdf

He publicado nuevos examenes de 3º Obtención de Materiales: Preguntas-Examen.pdf

14 páginas

apuntes

-

Conceeptos de preguntas de examen

He publicado nuevos apuntes de 3º Obtención de Materiales: Conceeptos de preguntas de examen

Def-1.jpg
Def-3.jpg
Def-2.jpg

He publicado nuevos practicas de 3º Obtención de Materiales: Precipitacion-selectiva-de-hidroxido-de-hierro-y-zinc.pdf

7 páginas

apuntes

-

Temas 1-2

He publicado nuevos apuntes de 3º Obtención de Materiales: Temas 1-2

TEMA 1. INTRODUCCIÓN.pdf
TEMA 2. MINERALURGIA.pdf

He publicado nuevos apuntes de 3º Obtención de Materiales: TEMA 3 LIXIVIACION.pdf

7 páginas

He publicado nuevos apuntes de 3º Obtención de Materiales: TEMA 2 obmat.pdf

9 páginas

apuntes

-

Apuntes

He publicado nuevos apuntes de 3º Obtención de Materiales: Apuntes

3.2. Lixiviación de sulfuros.pdf
Tema5.- Precipitación.pdf
Tema 6. Tostación.pdf
T12_PolvosCerámicos.pdf
T7_OxidaciónSulfuro.pdf
T11_ReducciónDeÓxidos.pdf

He publicado nuevos apuntes de 3º Obtención de Materiales: RESUMEN.pdf

30 páginas

He publicado nuevos examenes de 3º Obtención de Materiales: 2º Parcial OBMAT 2018.pdf

1 página

He publicado nuevos examenes de 3º Obtención de Materiales: SEGUNDO PARCIAL OBMAT.docx

word

He publicado nuevos examenes de 3º Obtención de Materiales: OBMAT - Examen Diciembre - 2014-15.pdf

3 páginas

He publicado nuevos examenes de 3º Obtención de Materiales: ObtMat 1ºP 17-18.pdf

2 páginas
Anónimo

@Anónimo

He publicado nuevos examenes de 3º Obtención de Materiales: Preguntas.docx

word
¡Estás al día!

¡Estás al día!

Has visto todos los archivos