chevron_left
chevron_right
Todo
Apuntes
Ejercicios
Exámenes
Prácticas
publication
Test
Trabajos
chevron_left
chevron_right

apuntes

-

Prácticas informática

He publicado nuevos apuntes de 2º Oceanografía Física: Prácticas informática

PRACTICA-1.pdf
PRACTICA-3.pdf
PRACTICA-4.pdf

test

-

Cuestionarios Evaluables soluciones

He publicado nuevos test de 2º Oceanografía Física: Cuestionarios Evaluables soluciones

Cuestionario-2.pdf
Cuestionario-3.pdf
Cuestionario-1.pdf
Cuestionario-4.pdf

He publicado nuevos practicas de 2º Oceanografía Física: P.3-mareografo-de-santander-2.pdf

4 páginas

apuntes

-

Ejercicios OF

He publicado nuevos apuntes de 2º Oceanografía Física: Ejercicios OF

Bloque P1: Balance geostrófico I.pdf.pdf
Bloque P2: Balance geostrófico II.pdf.pdf
Boque-P3-Modelos-de-Ekman.pdf

ejercicios

-

ejercicios OF tema 3

He publicado nuevos ejercicios de 2º Oceanografía Física: ejercicios OF tema 3

Miniatura no disponible
bloque-P5.pdf
Miniatura no disponible
bloque-P6.pdf

ejercicios

-

ejercicios OF tema 2

He publicado nuevos ejercicios de 2º Oceanografía Física: ejercicios OF tema 2

Miniatura no disponible
bloque-P3.pdf
Miniatura no disponible
bloque-P4.pdf

ejercicios

-

ejercicios OF tema 1

He publicado nuevos ejercicios de 2º Oceanografía Física: ejercicios OF tema 1

Miniatura no disponible
bloque-P1-of.pdf
bloque-P2.pdf

practicas

-

Prácticas OF

He publicado nuevos practicas de 2º Oceanografía Física: Prácticas OF

Practica-1-Balance-geostrofico.xlsx
Practica-3-Introduccion-al-aanlisis-armonico-de-marea.xlsx
Practica-4-Prediccion-de-marea.xlsx

He publicado nuevos examenes de 2º Oceanografía Física: Soluciones-cuestionarios-OF.pdf

6 páginas

test

-

Tema 5 Tipo test

He publicado nuevos test de 2º Oceanografía Física: Tema 5 Tipo test

Tema 5 Ultraresumido.pdf
Test tema 5.pdf

He publicado nuevos apuntes de 2º Oceanografía Física: Esquema para Examen.pdf

8 páginas

ejercicios

-

Ejercicios tema 4 resueltos

He publicado nuevos ejercicios de 2º Oceanografía Física: Ejercicios tema 4 resueltos

Bloque 7 Ondas en el Oceano.pdf

ejercicios

-

Ejercicios tema 3 resueltos

He publicado nuevos ejercicios de 2º Oceanografía Física: Ejercicios tema 3 resueltos

Bloque 5 Vorticidad.pdf
Bloque 6 Circulacion debida al viento .pdf

ejercicios

-

EJERCICIOS RESUELTOS 2023/2024

He publicado nuevos ejercicios de 2º Oceanografía Física: EJERCICIOS RESUELTOS 2023/2024

bloque-1-OF.pdf
bloque-2-OF.pdf
bloque-7-OF.pdf
bloque-8-of.pdf
bloque-4-OF.pdf
Bloque-5-6-OF.pdf

ejercicios

-

Ejercicios tema 2 resueltos

He publicado nuevos ejercicios de 2º Oceanografía Física: Ejercicios tema 2 resueltos

Bloque-3.pdf
Bloque-4.pdf

ejercicios

-

Ejercicios tema 1 resueltos

He publicado nuevos ejercicios de 2º Oceanografía Física: Ejercicios tema 1 resueltos

Bloque-1.pdf
Bloque-2.pdf

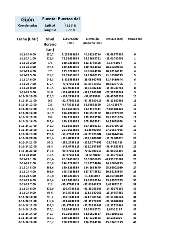
Gijón 2 los primeros 15 días de noviembre, utiliza el mismo para corregir ;)

24 páginas
Anónimo

@Anónimo

He publicado nuevos examenes de 2º Oceanografía Física: Examen-practica-4-RESUELTO.pdf

2 páginas

apuntes

-

OF

He publicado nuevos apuntes de 2º Oceanografía Física: OF

0.OceanografiaFisica.pdf
1.OceanografiaFisica.pdf
2.OceanografiaFisica.pdf
3.OceanografiaFisica.pdf

ejercicios

-

Ejercicios OF

Ejercicios OF

BLOQUE-2.pdf
BLOQUE-3.pdf
BLOQUE-4.pdf
BLOQUE-6.pdf

CLASES PARTICULARES OF

Alguna persona que imparta o que conozca a alguien que imparta clases de OF?

He publicado nuevos apuntes de 2º Oceanografía Física: cuestionario-4-of.pdf

4 páginas

He publicado nuevos apuntes de 2º Oceanografía Física: cuestionario-2-of.pdf

2 páginas

He publicado nuevos apuntes de 2º Oceanografía Física: cuestionario-1-of.pdf

2 páginas

He publicado nuevos apuntes de 2º Oceanografía Física: cuestionario-3.pdf

9 páginas

He publicado nuevos ejercicios de 2º Oceanografía Física: GEOGRAFIA-DE-LOS-MARES-Y-OCEANOS-EUROPEOS-1.docx.pdf

4 páginas
Anónimo

@Anónimo

ejercicios

-

CUESTIONARIOS

He publicado nuevos ejercicios de 2º Oceanografía Física: CUESTIONARIOS

1o-CUESTIONARIO.pdf
2o-CUESTIONARIO.pdf
3o-CUESTIONARIO.pdf
4o-CUESTIONARIO.pdf

Necesito clases particulares de Oceanografía Física

.

Anónimo

@Anónimo

ejercicios

-

Problemas de cada tema

He publicado nuevos ejercicios de 2º Oceanografía Física: Problemas de cada tema

6oHoja-de-problemas-Sverdrup.pdf
4oHoja-de-problemas-Vorticidad.pdf
3oHoja-de-problemas-Capa-de-Ekman.pdf
2oHoja-de-problemas-Balance-Geostrofico.pdf
1oHoja-de-problemas-Tema-1.pdf

apuntes

-

resúmenes teoría

Resúmenes de la teoría con las fórmulas explicadas. Teoría básica para el examen

tema-4.pdf
tema-5.pdf
tema-1.pdf
tema-2.pdf
tema-3.pdf

apuntes

-

soluciones problemas temas

Bloques de cada tema con los ejercicios resueltos paso a paso

tema-1-problemas-bloque-1-y-2.pdf
tema-3-problemas-bloque-5-y-6.pdf
tema-2-problemas-bloque-3-y-4.pdf

He publicado nuevos ejercicios de 2º Oceanografía Física: Bloque-7-Resuelto.pdf

4 páginas

He publicado nuevos ejercicios de 2º Oceanografía Física: Bloque-6-Resuelto.pdf

7 páginas

He publicado nuevos ejercicios de 2º Oceanografía Física: Bloque-5-Resuelto.pdf

4 páginas

He publicado nuevos ejercicios de 2º Oceanografía Física: Bloque-4-Resuelto.pdf

8 páginas

He publicado nuevos ejercicios de 2º Oceanografía Física: Bloque-3-Resuelto.pdf

6 páginas

He publicado nuevos ejercicios de 2º Oceanografía Física: Bloque 2 Resuelto.pdf

7 páginas

He publicado nuevos ejercicios de 2º Oceanografía Física: Bloque-1-Resuelto.pdf

4 páginas

He publicado nuevos apuntes de 2º Oceanografía Física: Ejercicios-resueltos-tema-4.pdf

12 páginas

He publicado nuevos apuntes de 2º Oceanografía Física: Cuestionario-resuelto-T4.pdf

4 páginas

He publicado nuevos apuntes de 2º Oceanografía Física: Ejercicios-resueltos-Tema-3.pdf

16 páginas

He publicado nuevos test de 2º Oceanografía Física: Cuestionario-resuelto-T2.pdf

3 páginas

He publicado nuevos apuntes de 2º Oceanografía Física: ejercicios-resueltos-tema-2.pdf

pdf

He publicado nuevos apuntes de 2º Oceanografía Física: Ejercicios-resueltos-Tema-1.pdf

24 páginas

He publicado nuevos test de 2º Oceanografía Física: Cuestionario-resuelto-T0-y-T1.pdf

4 páginas
Anónimo

@Anónimo

He publicado nuevos apuntes de 2º Oceanografía Física: Apuntes-OF.pdf

286 páginas

He publicado nuevos apuntes de 2º Oceanografía Física: Hoja-de-ejercicios-P8.pdf

6 páginas

He publicado nuevos apuntes de 2º Oceanografía Física: P5Tema-2EkmanBOMBEO.pdf

12 páginas

He publicado nuevos apuntes de 2º Oceanografía Física: Hoja-de-ejercicios-P7.pdf

15 páginas

He publicado nuevos apuntes de 2º Oceanografía Física: Hoja-de-problemas-P6.pdf

14 páginas

He publicado nuevos apuntes de 2º Oceanografía Física: P4Tema-2Ekmancurso202122.pdf

15 páginas

ejercicios

-

Tema 1 resueltos

He publicado nuevos ejercicios de 2º Oceanografía Física: Tema 1 resueltos

Hoja-de-problemasP1Balance-geostrofico.pdf
Hoja-de-problemasP3curso202122.pdf
Ejercicio-3-Hoja-problemas-3-mRb.pdf

Fórmulas, obtención de estas y teoría

4 páginas

He publicado nuevos apuntes de 2º Oceanografía Física: Prueba2Bisresuelta.pdf

5 páginas

He publicado nuevos apuntes de 2º Oceanografía Física: Prueba2resuelta.pdf

6 páginas

He publicado nuevos apuntes de 2º Oceanografía Física: Prueba3resuelta.pdf

5 páginas

He publicado nuevos apuntes de 2º Oceanografía Física: Prueba1resuelta.pdf

4 páginas

He publicado nuevos apuntes de 2º Oceanografía Física: Hojadeproblemasno4P4201112.pdf

2 páginas

He publicado nuevos apuntes de 2º Oceanografía Física: Hojadeproblemasno3curso201112.pdf

3 páginas

He publicado nuevos apuntes de 2º Oceanografía Física: Hojadeproblemasno2.pdf

5 páginas